Abstract
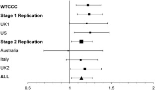
Several single-nucleotide polymorphism (SNP) genome-wide association studies (GWASs) have been completed in multiple sclerosis (MS). Follow-up studies of the variants with the most promising rankings, especially when supplemented by informed candidate gene selection, have proven to be extremely successful. In this study we report the results of a multi-stage replication analysis of the putatively associated SNPs identified in the Wellcome Trust Case Control Consortium non-synonymous SNP (nsSNP) screen. In total, the replication sample consisted of 3444 patients and 2595 controls. A combined analysis of the nsSNP screen and replication data provides evidence implicating a novel additional locus, rs3748816 in membrane metalloendopeptidase-like 1 (MMEL1; odds ratio=1.16, P=3.54 × 10−6) in MS susceptibility.
This is a preview of subscription content, access via your institution
Access options
Subscribe to this journal
Receive 6 digital issues and online access to articles
$119.00 per year
only $19.83 per issue
Buy this article
- Purchase on SpringerLink
- Instant access to the full article PDF.
USD 39.95
Prices may be subject to local taxes which are calculated during checkout

Similar content being viewed by others
References
Compston A, Coles A . Multiple sclerosis. Lancet 2008; 372: 1502–1517.
Hogancamp WE, Rodriguez M, Weinshenker BG . The epidemiology of multiple sclerosis. Mayo Clin Proc 1997; 72: 871–878.
Hauser SL, Oksenberg JR . The neurobiology of multiple sclerosis: genes, inflammation, and neurodegeneration. Neuron 2006; 52: 61–76.
International Multiple Sclerosis Genetics Consortium (IMSGC). Risk alleles for multiple sclerosis identified by a genomewide study. N Engl J Med 2007; 357: 851–862.
Baranzini SE, Wang J, Gibson RA, Galwey N, Naegelin Y, Barkhof F et al. Genome-wide association analysis of susceptibility and clinical phenotype in multiple sclerosis. Hum Mol Genet 2009; 18: 767–778.
ANZgene. Genome-wide association study identifies new multiple sclerosis susceptibility loci on chromosomes 12 and 20. Nat Genet 2009; 41: 824–828.
Aulchenko YS, Hoppenbrouwers IA, Ramagopalan SV, Broer L, Jafari N, Hillert J et al. Genetic variation in the KIF1B locus influences susceptibility to multiple sclerosis. Nat Genet 2008; 40: 1402–1403.
The Wellcome Trust Case Control Consortium. Genome-wide association study of 14 000 cases of seven common diseases and 3000 shared controls. Nature 2007; 447: 661–678.
Ban M, Goris A, Lorentzen AR, Baker A, Mihalova T, Ingram G et al. Replication analysis identifies TYK2 as a multiple sclerosis susceptibility factor. Eur J Hum Genet 2009; 17: 1309–1313.
Hunt KA, Zhernakova A, Turner G, Heap GA, Franke L, Bruinenberg M et al. Newly identified genetic risk variants for celiac disease related to the immune response. Nat Genet 2008; 40: 395–402.
Todd JA, Walker NM, Cooper JD, Smyth DJ, Downes K, Plagnol V et al. Robust associations of four new chromosome regions from genome-wide analyses of type 1 diabetes. Nat Genet 2007; 39: 857–864.
Raychaudhuri S, Remmers EF, Lee AT, Hackett R, Guiducci C, Burtt NP et al. Common variants at CD40 and other loci confer risk of rheumatoid arthritis. Nat Genet 2008; 40: 1216–1223.
Ouimet T, Facchinetti P, Rose C, Bonhomme MC, Gros C, Schwartz JC . Neprilysin II: A putative novel metalloprotease and its isoforms in CNS and testis. Biochem Biophys Res Commun 2000; 271: 565–570.
Huang JY, Bruno AM, Patel CA, Huynh AM, Philibert KD, Glucksman MJ et al. Human membrane metallo-endopeptidase-like protein degrades both beta-amyloid 42 and beta-amyloid 40. Neuroscience 2008; 155: 258–262.
Barton A, Thomson W, Ke X, Eyre S, Hinks A, Bowes J et al. Rheumatoid arthritis susceptibility loci at chromosomes 10p15, 12q13 and 22q13. Nat Genet 2008; 40: 1156–1159.
International Multiple Sclerosis Genetics Consortium (IMSGC). The expanding genetic overlap between multiple sclerosis and type I diabetes. Genes Immun 2009; 10: 11–14.
Fung EY, Smyth DJ, Howson JM, Cooper JD, Walker NM, Stevens H et al. Analysis of 17 autoimmune disease-associated variants in type 1 diabetes identifies 6q23/TNFAIP3 as a susceptibility locus. Genes Immun 2009; 10: 188–191.
Bifulco M, Laezza C, Stingo S, Wolff J . 2′,3′-Cyclic nucleotide 3′-phosphodiesterase: a membrane-bound, microtubule-associated protein and membrane anchor for tubulin. Proc Natl Acad Sci USA 2002; 99: 1807–1812.
Lappe-Siefke C, Goebbels S, Gravel M, Nicksch E, Lee J, Braun PE et al. Disruption of Cnp1 uncouples oligodendroglial functions in axonal support and myelination. Nat Genet 2003; 33: 366–374.
Scarisbrick IA, Blaber SI, Lucchinetti CF, Genain CP, Blaber M, Rodriguez M . Activity of a newly identified serine protease in CNS demyelination. Brain 2002; 125 (Part 6): 1283–1296.
Scarisbrick IA, Linbo R, Vandell AG, Keegan M, Blaber SI, Blaber M et al. Kallikreins are associated with secondary progressive multiple sclerosis and promote neurodegeneration. Biol Chem 2008; 389: 739–745.
Liu K, Li QZ, Delgado-Vega AM, Abelson AK, Sanchez E, Kelly JA et al. Kallikrein genes are associated with lupus and glomerular basement membrane-specific antibody-induced nephritis in mice and humans. J Clin Invest 2009; 119: 911–923.
Evans PD, Gilbert SL, Mekel-Bobrov N, Vallender EJ, Anderson JR, Vaez-Azizi LM et al. Microcephalin, a gene regulating brain size, continues to evolve adaptively in humans. Science 2005; 309: 1717–1720.
Purcell S, Cherny SS, Sham PC . Genetic power calculator: design of linkage and association genetic mapping studies of complex traits. Bioinformatics 2003; 19: 149–150.
McDonald WI, Compston A, Edan G, Goodkin D, Hartung HP, Lublin FD et al. Recommended diagnostic criteria for multiple sclerosis: guidelines from the International Panel on the diagnosis of multiple sclerosis. Ann Neurol 2001; 50: 121–127.
Poser CM, Paty DW, Scheinberg L, McDonald WI, Davis FA, Ebers GC et al. New diagnostic criteria for multiple sclerosis: guidelines for research protocols. Ann Neurol 1983; 13: 227–231.
Steemers FJ, Chang W, Lee G, Barker DL, Shen R, Gunderson KL . Whole-genome genotyping with the single-base extension assay. Nat Methods 2006; 3: 31–33.
Purcell S, Neale B, Todd-Brown K, Thomas L, Ferreira MAR, Bender D et al. PLINK: a toolset for whole-genome association and population-based linkage analysis. Am J Hum Genet 2007; 81: 559–575.
Acknowledgements
We thank the many multiple sclerosis patients and healthy individuals who participated in this study and the International Multiple Sclerosis Genetics Consortium (IMSGC, https://www.imsgc.org/) for providing the network through which we were able to collaborate. This work was supported by the Medical Research Council (G0700061) and MRC programme grant (U.1052.00.012.00001.01), the National Institute of Health (R01 NS049477 and NS032830) and the Cambridge NIHR Biomedical Research Centre. This study makes use of data generated by the Wellcome Trust Case Control Consortium. A full list of the investigators who contributed to the generation of the data is available from www.wtccc.org.uk. Funding for the project was provided by the Wellcome Trust under award 076113. We acknowledge the use of DNA from the British 1958 Birth Cohort collection, funded by the Medical Research Council Grant G0000934 and the Wellcome Trust Grant 068545/Z/02. JLM was supported by a grant from the National Multiple Sclerosis Society (RG4201-A-1). PLD is a Harry Weaver Neuroscience Scholar of the National MS Society. LB is supported by a PhD Lagrange Fellowship. SD is supported by the FISM grant (2008/R/11).
Author information
Authors and Affiliations
Corresponding author
Ethics declarations
Competing interests
The authors declare no conflict of interest.
Additional information
Supplementary Information accompanies the paper on Genes and Immunity website
Supplementary information
Rights and permissions
About this article
Cite this article
Ban, M., McCauley, J., Zuvich, R. et al. A non-synonymous SNP within membrane metalloendopeptidase-like 1 (MMEL1) is associated with multiple sclerosis. Genes Immun 11, 660–664 (2010). https://doi.org/10.1038/gene.2010.36
Received:
Revised:
Accepted:
Published:
Issue date:
DOI: https://doi.org/10.1038/gene.2010.36
Keywords
This article is cited by
-
Identification of genetic variants for blood insulin level in sex-stratified Korean population and evaluation of the causal relationship between blood insulin level and polycystic ovary syndrome
Genes & Genomics (2021)
-
Enhanced efferocytosis by dendritic cells underlies memory T-cell expansion and susceptibility to autoimmune disease in CD300f-deficient mice
Cell Death & Differentiation (2016)


