Abstract
Objective:
The association of obesity susceptibility variants with change in body mass index (BMI) across the life course is not well understood.
Subjects:
In ancestry-stratified models of 5962 European American (EA), 2080 African American (AA) and 1582 Hispanic American (HA) individuals from the National Longitudinal Study of Adolescent to Adult Health (Add Health), we examined associations between 34 obesity single-nucleotide polymorphisms (SNPs) with per year change in BMI, measured by the slope from a growth-curve analysis of two or more BMI measurements between adolescence and young adulthood. For SNPs nominally associated with BMI change (P<0.05), we interrogated age differences within data collection Wave and time differences between age categories that overlapped between Waves.
Results:
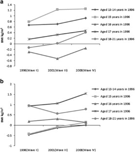
We found SNPs in/near FTO, MC4R, MTCH2, TFAP2B, SEC16B and TMEM18 were significantly associated (P<0.0015ā0.05/34) with BMI change in EA and the ancestry-combined meta-analysis. rs9939609 in FTO met genome-wide significance at P<5eā08 in the EA and ancestry-combined analysis, respectively [Beta(se)=0.025(0.004);Beta(se)=0.021(0.003)]. No SNPs were significant after Bonferroni correction in AA or HA, although five SNPs in AA and four SNPs in HA were nominally significant (P<0.05). In EA and the ancestry-combined meta-analysis, rs3817334 near MTCH2 showed larger effects in younger respondents, whereas rs987237 near TFAP2B, showed larger effects in older respondents across all Waves. Differences in effect estimates across time for MTCH2 and TFAP2B are suggestive of either era or cohort effects.
Conclusion:
The observed association between variants in/near FTO, MC4R, MTCH2, TFAP2B, SEC16B and TMEM18 with change in BMI from adolescence to young adulthood suggest that the genetic effect of BMI loci varies over time in a complex manner, highlighting the importance of investigating loci influencing obesity risk across the life course.
This is a preview of subscription content, access via your institution
Access options
Subscribe to this journal
Receive 12 print issues and online access
$259.00 per year
only $21.58 per issue
Buy this article
- Purchase on SpringerLink
- Instant access to the full article PDF.
USD 39.95
Prices may be subject to local taxes which are calculated during checkout


Similar content being viewed by others
References
Dietz W . Critical periods in childhood for the development of obesity. Am J Clin Nutr 1994; 59: 955ā959.
Gordon-Larsen P, Adair LS, Nelson MC, BM P . Five-year obesity incidence in the transition period between adolescence and adulthood: the National Longitudinal Study of Adolescent Health. Am J Clin Nutr 2004; 80: 569ā575.
The NS, Suchindran C, North KE, Popkin BM, Gordon-Larsen P . Association of adolescent obesity with risk of severe obesity in adulthood. JAMA 2010; 304: 2042ā2047.
Speliotes EK, Willer CJ, Berndt SI, Monda KL, Thorleifsson G, Jackson AU et al. Association analyses of 249,796 individuals reveal 18 new loci associated with body mass index. Nat Genet 2010; 42: 937ā948.
Locke AE, Kahali B, Berndt SI, Justice AE, Pers TH, Day FR et al. Genetic studies of body mass index yield new insights for obesity biology. Nature 2015; 518: 197ā206.
Hallman DM, Friedel VC, Eissa MA, Boerwinkle E, Huber JC Jr, Harrist RB et al. The association of variants in the FTO gene with longitudinal body mass index profiles in non-Hispanic white children and adolescents. Int J Obes (Lond) 2012; 36: 61ā68.
Hardy R, Wills AK, Wong A, Elks CE, Wareham NJ, Loos RJ et al. Life course variations in the associations between FTO and MC4R gene variants and body size. Hum Mol Genet 2010; 19: 545ā552.
Liu G, Zhu H, Dong Y, Podolsky RH, Treiber FA, Snieder H . Influence of common variants in FTO and near INSIG2 and MC4R on growth curves for adiposity in African- and European-American youth. Eur J Epidemiol 2011; 26: 463ā473.
Loos RJ, Lindgren CM, Li S, Wheeler E, Zhao JH, Prokopenko I et al. Common variants near MC4R are associated with fat mass, weight and risk of obesity. Nat Genet 2008; 40: 768ā775.
Bradfield JP, Taal HR, Timpson NJ, Scherag A, Lecoeur C, Warrington NM et al. A genome-wide association meta-analysis identifies new childhood obesity loci. Nat Genet 2012; 44: 526ā531.
Wing MR, Ziegler J, Langefeld CD, Ng MC, Haffner SM, Norris JM et al. Analysis of FTO gene variants with measures of obesity and glucose homeostasis in the IRAS Family Study. Hum Genet 2009; 125: 615ā626.
Mei H, Chen W, Jiang F, He J, Srinivasan S, Smith EN et al. Longitudinal replication studies of GWAS risk SNPs influencing body mass index over the course of childhood and adulthood. PLoS One 2012; 7: e31470.
Warrington NM, Howe LD, Wu YY, Timpson NJ, Tilling K, Pennell CE et al. Association of a body mass index genetic risk score with growth throughout childhood and adolescence. PLoS One 2013; 8: e79547.
Croteau-Chonka DC, Marvelle AF, Lange EM, Lee NR, Adair LS, Lange LA et al. Genome-wide association study of anthropometric traits and evidence of interactions with age and study year in Filipino women. Obesity (Silver Spring) 2011; 19: 1019ā1027.
Kaakinen M, Laara E, Pouta A, Hartikainen AL, Laitinen J, Tammelin TH et al. Life-course analysis of a fat mass and obesity-associated (FTO) gene variant and body mass index in the Northern Finland Birth Cohort 1966 using structural equation modeling. Am J Epidemiol 2010; 172: 653ā665.
Harris KM, Halpern CT, Smolen A, Haberstick BC . The National Longitudinal Study of Adolescent Health (Add Health) twin data. Twin Res Hum Genet 2006; 9: 988ā997.
Harris KM . An integrative approach to health. Demography 2010; 47: 1ā22.
Miller WC, Ford CA, Morris M, Handcock MS, Schmitz JL, Hobbs MM et al. Prevalence of chlamydial and gonococcal infections among young adults in the United States. JAMA 2004; 291: 2229ā2236.
Resnick MD, Bearman PS, Blum RW, Bauman KE, Harris KM, Jones J et al. Protecting adolescents from harm. Findings from the National Longitudinal Study on Adolescent Health. JAMA 1997; 278: 823ā832.
Thorleifsson G, Walters G, Gudbjartsson D, Steinthorsdottir V, Sulem P, Helgadottir A et al. Genome-wide association yields new sequence variants at seven loci that associate with measures of obesity. Nat Genet 2009; 41: 18ā24.
Willer CJ, Speliotes EK, Loos RJ, Li S, Lindgren CM, Heid IM et al. Six new loci associated with body mass index highlight a neuronal influence on body weight regulation. Nat Genet 2009; 41: 25ā34.
Lindgren CM, Heid IM, Randall JC, Lamina C, Steinthorsdottir V, Qi L et al. Genome-wide association scan meta-analysis identifies three Loci influencing adiposity and fat distribution. PLoS Genet 2009; 5: e1000508.
Heard-Costa NL, Zillikens MC, Monda KL, Johansson A, Harris TB, Fu M et al. NRXN3 is a novel locus for waist circumference: a genome-wide association study from the CHARGE Consortium. PLoS Genet 2009; 5: e1000539.
Heid IM, Jackson AU, Randall JC, Winkler TW, Qi L, Steinthorsdottir V et al. Meta-analysis identifies 13 new loci associated with waist-hip ratio and reveals sexual dimorphism in the genetic basis of fat distribution. Nat Genet 2010; 42: 949ā960.
The Add Health Biomarker Team Manhart LE (ed). Biomarkers in Wave III of the Add Health Study. Carolina Population Center: Chapel Hill, NC, USA, 1999, p57. Available athttp://www.cpc.unc.edu/projects/addhealth/documentation/guides/biomark.pdf.
Graff M, North KE, Mohlke KL, Lange LA, Luo J, Harris KM et al. Estimation of genetic effects on BMI during adolescence in an ethnically diverse cohort: the National Longitudinal Study of Adolescent Health. Nutr Diabetes 2012; 2: e47.
Bates LM, Acevedo-Garcia D, Alegria M, Krieger N . Immigration and generational trends in body mass index and obesity in the United States: results of the National Latino and Asian American Survey, 2002-2003. Am J Public Health 2008; 98: 70ā77.
Harris KM, Perreira KM, Lee D . Obesity in the transition to adulthood: predictions across race/ethnicity, immigrant generation, and sex. Arch Pediatr Adolesc Med 2009; 163: 1022ā1028.
Monda KL, Chen GK, Taylor KC, Palmer C, Edwards TL, Lange LA et al. A meta-analysis identifies new loci associated with body mass index in individuals of African ancestry. Nat Genet 2013; 45: 690ā696.
Kang SJ, Chiang CW, Palmer CD . Genome-wide association of anthropometric traits in African- and African-derived populations. Hum Mol Genet 2010; 19: 2725ā2738.
Carlson CS, Matise TC, North KE, Haiman CA, Fesinmeyer MD, Buyske S et al. Generalization and dilution of association results from European GWAS in populations of non-European ancestry: the PAGE study. PLoS Biol 2013; 11: e1001661.
Goodman E, Hinden BR, Khandelwal S . Accuracy of teen and parental reports of obesity and body mass index. Pediatrics 2000; 106 (1 Pt 1): 52ā58.
Heo M, Faith MS, Mott JW, Gorman BS, Redden DT, Allison DB . Hierarchical linear models for the development of growth curves: an example with body mass index in overweight/obese adults. Stat Med 2003; 22: 1911ā1942.
Kakinami L, Henderson M, Chiolero A, Cole TJ, Paradis G . Identifying the best body mass index metric to assess adiposity change in children. Arch Dis Child 2014; 99: 1020ā1024.
Sovio U, Mook-Kanamori DO, Warrington NM, Lawrence R, Briollais L, Palmer CN et al. Association between common variation at the FTO locus and changes in body mass index from infancy to late childhood: the complex nature of genetic association through growth and development. PLoS Genet 2011; 7: e1001307.
Willer CJ, Li Y, Abecasis GR . METAL: fast and efficient meta-analysis of genomewide association scans. Bioinformatics 2010; 26: 2190ā2191.
Higgins JP, Thompson SG . Quantifying heterogeneity in a meta-analysis. Stat Med 2002; 21: 1539ā1558.
Huedo-Medina TB, Sanchez-Meca J, Marin-Martinez F, Botella J . Assessing heterogeneity in meta-analysis: Q statistic or I2 index? Psychol Methods 2006; 11: 193ā206.
Frayling TM, Timpson NJ, Weedon MN, Zeggini E, Freathy RM, Lindgren CM et al. A common variant in the FTO gene is associated with body mass index and predisposes to childhood and adult obesity. Science 2007; 316: 889ā894.
Vasan SK, Fall T, Neville MJ, Antonisamy B, Fall CH, Geethanjali FS et al. Associations of variants in FTO and near MC4R with obes ity traits in South Asian Indians. Obesity (Silver Spring) 2012; 20: 2268ā2277.
Wen W, Cho YS, Zheng W, Dorajoo R, Kato N, Qi L et al. Meta-analysis identifies common variants associated with body mass index in east Asians. Nat Genet 2012; 44: 307ā311.
Wang J, Mei H, Chen W, Jiang Y, Sun W, Li F et al. Study of eight GWAS-identified common variants for association with obesity-related indices in Chinese children at puberty. Int J Obes (Lond) 2012; 36: 542ā547.
Zhao J, Bradfield JP, Zhang H, Sleiman PM, Kim CE, Glessner JT et al. Role of BMI-associated loci identified in GWAS meta-analyses in the context of common childhood obesity in European Americans. Obesity (Silver Spring) 2011; 19: 2436ā2439.
Zhao J, Grant SF . Genetics of childhood obesity. J Obes 2011; 2011: 845148.
den Hoed M, Ekelund U, Brage S, Grontved A, Zhao JH, Sharp SJ et al. Genetic susceptibility to obesity and related traits in childhood and adolescence: influence of loci identified by genome-wide association studies. Diabetes 2010; 59: 2980ā2988.
Hertel JK, Johansson S, Sonestedt E, Jonsson A, Lie RT, Platou CG et al. FTO, type 2 diabetes, and weight gain throughout adult life: a meta-analysis of 41,504 subjects from the Scandinavian HUNT, MDC, and MPP studies. Diabetes 2011; 60: 1637ā1644.
Ravussin E, Bouchard C . Human genomics and obesity: finding appropriate drug targets. Eur J Pharmacol 2000; 410: 131ā145.
Ugi S, Nishio Y, Yamamoto H, Ikeda K, Kobayashi M, Tsukada S et al. Relation of the expression of transcriptional factor TFAP2B to that of adipokines in subcutaneous and omental adipose tissues. Obesity (Silver Spring) 2010; 18: 1277ā1282.
Lilic D, Cant AJ, Abinun M, Calvert JE, Spickett GP . Cytokine production differs in children and adults. Pediatr Res 1997; 42: 237ā240.
Acknowledgements
This study was funded by National Institutes of Health Grant from the Eunice Kennedy Shriver National Institute of Child Health and Human Development R01HD057194. The Carolina Population Center (R24 HD050924) provided general support. This research uses data from Add Health, a program project directed by Kathleen Mullan Harris and designed by J Richard Udry, Peter S Bearman and Kathleen Mullan Harris at the University of North Carolina at Chapel Hill and funded by Grant P01-HD31921 from the Eunice Kennedy Shriver National Institute of Child Health and Human Development, with cooperative funding from 23 other federal agencies and foundations. Special acknowledgment is given to Ronald R Rindfuss and Barbara Entwisle, of the University of North Carolina at Chapel Hill, for assistance in the original design. Information about how to obtain the Add Health data files is available at http://www.cpc.unc.edu/addhealth. No direct support was received from Grant P01-HD31921 for this analysis.
Author contributions
MG, KEN, EML and PG-L designed the study. MG, ASR and KLY contributed to data analysis. PG-L and KEN are responsible for data acquisition. MG, EML, KEN and PG-L drafted the manuscript. All the authors contributed to data interpretation and writing of the manuscript. MIG, KEN and PG-L had full access to the data in the study and take responsibility for the integrity of the data and the accuracy of the data analysis. All the authors have approved the final version of the manuscript.
Author information
Authors and Affiliations
Corresponding author
Ethics declarations
Competing interests
The authors declare no conflict of interest.
Additional information
Supplementary Information accompanies this paper on International Journal of Obesity website
Rights and permissions
About this article
Cite this article
Graff, M., North, K., Richardson, A. et al. BMI loci and longitudinal BMI from adolescence to young adulthood in an ethnically diverse cohort. Int J Obes 41, 759ā768 (2017). https://doi.org/10.1038/ijo.2016.233
Received:
Revised:
Accepted:
Published:
Issue date:
DOI: https://doi.org/10.1038/ijo.2016.233
This article is cited by
-
Association between genetic risk score and tri-ponderal mass index growth trajectories among different dietary consumption adolescents in a prospective Taiwanese cohort
Nutrition & Metabolism (2022)
-
The association between polymorphisms near TMEM18 and the risk of obesity: a meta-analysis
BMC Medical Genomics (2021)
-
Longitudinal association of a body mass index (BMI) genetic risk score with growth and BMI changes across the life course: The Cardiovascular Risk in Young Finns Study
International Journal of Obesity (2020)
-
Common genetic variation in obesity, lipid transfer genes and risk of Metabolic Syndrome: Results from IDEFICS/I.Family study and meta-analysis
Scientific Reports (2020)
-
Association between Transcription Factor AP-2B genotype, obesity, insulin resistance and dietary intake in a longitudinal birth cohort study
International Journal of Obesity (2019)


