Abstract
OBJECTIVES:
The International Study of Childhood Obesity, Lifestyle and the Environment (ISCOLE) provides robust, multi-national information on physical activity, diet and weight status in 9–11-year-old children around the world. The purpose of this analysis was to examine the similarities and differences between participant characteristics from ISCOLE sites and data from nationally representative surveys from ISCOLE countries (Australia, Brazil, Canada, China, Colombia, Finland, Kenya, India, Portugal, South Africa, the United Kingdom and the United States).
METHODS:
Distributions of characteristics were assessed within each ISCOLE country-level database, and compared with published data from national or regional surveys, where available. Variables of comparison were identified a priori and included body mass index (BMI), physical activity (accelerometer-determined steps per day) and screen time (child-report).
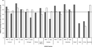
RESULTS:
Of 12 countries, data on weight status (BMI) were available in 8 countries, data on measured physical activity (steps per day) were available in 5 countries and data on self-reported screen time were available in 9 countries. The five ISCOLE countries that were part of the Health Behaviour in School-aged Children Survey (that is, Canada, Finland, Portugal, the United Kingdom (England) and the United States) also provided comparable data on self-reported physical activity. Available country-specific data often used different measurement tools or cut-points, making direct comparisons difficult. Where possible, ISCOLE data were re-analyzed to match country-level data, but this step limited between-country comparisons.
CONCLUSIONS:
From the analyses performed, the ISCOLE data do not seem to be systematically biased; however, owing to limitations in data availability, data from ISCOLE should be used with appropriate caution when planning country-level population health interventions. This work highlights the need for harmonized measurement tools around the world while accounting for culturally specific characteristics, and the need for collaboration across study centers and research groups.
This is a preview of subscription content, access via your institution
Access options




Similar content being viewed by others
References
Katzmarzyk PT, Barreira TV, Broyles ST, Champagne CM, Chaput J-P, Fogelholm M et al. The International Study of Childhood Obesity, Lifestyle and the Environment (ISCOLE): design and methods. BMC Public Health 2013; 13: 900.
Healthy Lifestyle in Europe by Nutrition in Adolescence. Available at http://www.helenastudy.com/ (accessed on 11 February 2015).
Currie C, Gabhainn SN, Godeau E, Roberts RS, Currie O, Picket W et al. Inequalities in Young People’s Health: Health Behaviour in School-aged Children. International Report from the 2005–2006 Survey, Health Policy for Children and Adolescents, HBSC International Report 2008.
Currie C, Zanottie C, Morgan A, Currie D, de Looze M, Roberts C et al. Social determinants of health and well-being among young people. WHO Regional Office for Europe. World Health Organization: Copenhagen, 2012.
Barreira TV, Schuna JM, Mire EF, Katzmarzyk PT, Chaput J-P, Leduc G et al. Identifying children’s nocturnal sleep using 24-h waist accelerometry. Med Sci Sports Exerc 2015; 47: 937–943.
Trost SG, Loprinzi PD, Moore R, Pfeiffer KA . Comparison of Accelerometer cut points for predicting activity intensity in youth. Med Sci Sports Exerc 2011; 43: 1360–1368.
Colley RC, Connor Gorber S, Tremblay MS . Quality control and data reduction procedures for accelerometry-derived measures of physical activity. Health Rep 2010; 21: 63–69.
Okely AD, Salmon J, Trost SG, Hinkley T . Discussion Paper for the Development of Physical Activity Recommendations for Children Under 5 Years. Department of Health and Ageing, Australian Government: Australia, 2008.
Tremblay MS, Warburton DER, Janssen I, Paterson DH, Latimer AE, Rhodes RE et al. New Canadian Physical Activity Guidelines. Appl Physiol Nutr Metab 2011; 36: 36–46.
Tremblay MS, LeBlanc AG, Janssen I, Kho ME, Hicks A, Murumets K et al. Canadian Sedentary Behaviour Guidelines for Children and Youth. Appl Physiol Nutr Metab 2011; 36: 59–64.
Bull FC . Expert Working Group. Physical activity guidelines in the UK: review and recommendations. School of Sport, Exercise, and Health Sciences, Loughborough University: Leichestershire, UK, 2010.
Pate R, Pratt M . Physical activity and public health: A recommendation from the Centers for Disease Control and Prevention and the American College of Sports Medicine. JAMA 1995; 273: 402–407.
World Health Organization. Global recommendations on physical activity for health 2010. Available at http://www.who.int/dietphysicalactivity/publications/9789241599979/en/index.html (accessed on 28 February 2013).
Tammelin T, Laine K, Turpeinen S . Oppilaiden fyysinen aktiivisuus. (Physical Activity of School-aged children). Liikunnan ja kansanterveyden edistämissäätiö LIKES (Sport and Health LIKES): Jyväskylä, 2013.
Plataforma Contra a Obesidade. Available at http://www.plataformacontraaobesidade.dgs.pt/PresentationLayer/homepage_institucional.aspx?menuid=113 (accessed on 19 February 2015).
Griffiths LJ, Cortina-Borja M, Sera F, Pouliou T, Geraci M, Rich C et al. How active are our children? Findings from the Millennium Cohort Study. BMJ Open 2013; 3: e002893.
Lifestyle Statistics Team National Child Measurement Programme: England, 2012/2013 school year. Health and Social Care Information Centre, Public Health England, 2013.
Wachira LJM, Muthuri SK, Tremblay MS, Onywera VO . Results from Kenya’s 2014 report card on the physical activity and body weight of children and youth. J Phys Act Health 2014; 11: S69–S73.
Draper C, Basset S, de Villiers A, Lambert EV . Writing Group HAKSA. Results from South Africa’s 2014 report card on physical activity for children and youth. J Phys Act Health 2014; 11: S98–S104.
Muthuri SK, Wachira L-JM, Leblanc AG, Francis CE, Sampson M, Onywera VO et al. Temporal trends and correlates of physical activity, sedentary behaviour, and physical fitness among school-aged children in Sub-Saharan Africa: a systematic review. Int J Environ Res Public Health 2014; 11: 3327–3359.
Muthuri SK, Francis CE, Wachira L-JM, LeBlanc AG, Sampson M, Onywera VO et al. Evidence of an overweight/obesity transition among school-aged children and youth in Sub-Saharan Africa: a systematic review. PLoS One 2014; 9: e92846.
Onywera VO, Adamo KB, Sheel AW, Waudo JN, Boit MK, Tremblay M . Emerging evidence of the physical activity transition in Kenya. J Phys Act Health 2012; 9: 554–562.
Statistics South Africa A Time of Use. Statistics South Africa: Pretoria, South Africa, 2013.
Giroux S . Canadian Health Measures Survey: sampling strategy overview. Health Rep 2006; 18: 31–36.
Brazilian Institute of Geography and Statistics (Instituto Brasileiro de Geografia e Estatística). Available at http://www.ibge.gov.br/english/ (accessed on 18 February 2015).
Healthy Active Living and Obesity Research Group, Gray CE, Barnes JD, Cowie Bonne J, Cameron C, Chaput JP et al. Results from Canada’s 2014 report card on physical activity for children and youth. J Phys Act Health 2014; 11: S26–S32.
Active Healthy Kids Canada. Are we driving our kids to unhealthy habits? The 2013 Active Healthy Kids Canada Report Card on Physical Activity for children and youth 2013.
Colley RC, Garriguet D, Janssen I, Craig CL, Clarke J, Tremblay MS . Physical activity of Canadian children and youth: accelerometer results from the 2007 to 2009 Canadian Health Measures Survey. Health Rep 2011; 22: 15–23.
Instituto Colombiano de Bienestar Familiar ICBF Encusesta Nacional de la Situacion Nutricional en Colombia ENSIN. Insituto Colombiano de Bienestar Familiar, Ed: Bogota, 2005.
Gomez LF, Parra DC, Lobelo F, Samper B, Moreno J, Jacoby E et al. Television viewing and its association with overweight in Colombian children: results from the 2005 National Nutrition Survey: A cross sectional study. Int J Behav Nutr Phys Act 2007; 4: 41.
Troiano RP, Berrigan D, Dodd KW, Mâsse LC, Tilert T, McDowell M . Physical activity in the United States measured by accelerometer. Med Sci Sports Exerc 2008; 40: 181–188.
Dentro KN, Beals K, Crouter SE, Eisenmann JC, McKenzie TL, Pate RR et al. Results from the United States’ 2014 report card on physical activity for children and youth. J Phys Act Health 2014; 11: S105–S112.
Barreira TV, Schuna JM, Mire EF, Broyles ST, Katzmarzyk PT, Johnson WD et al. Normative steps/day and peak cadence values for United States children and adolescents: National Health and Nutrition Examination Survey 2005–2006. J Pediatr 2015; 166: 139–143 e3.
Expert panel on integrated guidelines for cardiovascular health and risk reduction in children and adolescents. Expert panel on integrated guidelines for cardiovascular health and risk reduction in children and adolescents: summary report. Pediatrics 2011; 128: S213–S256.
Department of Health and Ageing Australian National Children’s Nutrition and Physical Activity Survey (ANCNPAS): main findings. Commonwealth Scientific and Industrial Research Organisation (CSIRO) and the University of South Australia: Canberra, Australia, 2008.
Australian Bureau of Statistics. Australian Health Survey: Physical Activity, 2011–12. 2013. Available at http://www.abs.gov.au/ausstats/abs@.nsf/Lookup/4364.0.55.001main+features12011-12 (accessed on 10 October 2014).
University of South Australia, Schranz N, Olds T, Cliff D, Davern M, Engelen L et al. Results from Australia’s 2014 report card on physical activity for children and youth. J Phys Act Health 2014; 11: S21–S25.
Zhang J, Seo D-C, Kolbe L, Middlestadt S, Zhao W . Associated trends in sedentary behavior and BMI among chinese school children and adolescents in seven diverse Chinese provinces. Int J Behav Med 2011; 19: 342–350.
Yao N . Weight status in Chinese children: maternal perceptions and child self-assessments. World J Pediatr 2012; 8: 129–135.
Shields M, Tremblay MS . Canadian childhood obesity estimates based on WHO, IOTF and CDC cut-points. Int J Pediatr Obes 2010; 5: 265–273.
Joens-Matre RR, Welk GJ, Calabro MA, Russell DW, Nicklay E, Hensley LD . Rural-urban differences in physical activity, physical fitness, and overweight prevalence of children. J Rural Health 2008; 24: 49–54.
Plotnikoff RC, Mayhew A, Birkett N, Loucaides CA, G Fodor . Age, gender, and urban–rural differences in the correlates of physical activity. Prev Med 2004; 39: 1115–1125.
Onywera VO Adiposity and physical activity among children in countries at different stages of the physical activity transition: Canada, Mexico and Kenya 2013. Available at http://reference.sabinet.co.za/sa_epublication_article/ajpherd_v19_n1_a12 (accessed on 25 April 2015).
He W, Li Q, Yang M, Jiao J, Ma X, Zhou Y et al. Lower BMI cutoffs to define overweight and obesity in China. Obesity 2015; 23: 684–691.
Sardinha LB, Santos R, Vale S, Silva AM, Ferreira JP, Raimundo AM et al. Prevalence of overweight and obesity among Portuguese youth: a study in a representative sample of 10-18-year-old children and adolescents. Int J Pediatr Obes 2011; 6: e124–e128.
Tremblay M, Shields M, Laviolette M, Craig C, Janssen I, Connor Gorber S . Fitness of Canadian children and youth: results from the 2007-2009 Canadian Health Measures Survey. Health Rep 2010; 21: 7–20.
Colley RC, Janssen I, Tremblay MS . Daily step target to measure adherence to physical activity guidelines in children. Med Sci Sports Exerc 44: 977–982.
Tudor-Locke C, Johnson WD, Katzmarzyk PT . Accelerometer-determined steps per day in US children and youth. Med Sci Sports Exerc 2010; 42: 2244–2250.
Cao H, Qian Q, Weng T, Yuan C, Sun Y, Wang H et al. Screen time, physical activity and mental health among urban adolescents in China. Prev Med 2011; 53: 316–320.
Acknowledgements
We thank the ISCOLE External Advisory Board and the ISCOLE participants and their families who made this study possible. A membership list of the ISCOLE Research Group and External Advisory Board is included in Katzmarzyk et al. (this issue). ISCOLE was funded by The Coca-Cola Company. MF has received a research grant from Fazer Finland. RK has received a research grant from Abbott Nutrition Research and Development.
Author information
Authors and Affiliations
Consortia
Corresponding author
Ethics declarations
Competing interests
MF has received an honorarium for speaking for Merck. AK has been a member of the Advisory Boards of Dupont and McCain Foods. VM is a member of the Scientific Advisory Board of Actigraph and has received an honorarium for speaking for The Coca-Cola Company. TO has received an honorarium for speaking for The Coca-Cola Company. The remaining authors declare no conflict of interest.
Additional information
Supplementary Information accompanies this paper on International Journal of Obesity Supplements website
Rights and permissions
About this article
Cite this article
LeBlanc, A., Katzmarzyk, P., Barreira, T. et al. Are participant characteristics from ISCOLE study sites comparable to the rest of their country?. Int J Obes Supp 5 (Suppl 2), S9–S16 (2015). https://doi.org/10.1038/ijosup.2015.13
Published:
Issue date:
DOI: https://doi.org/10.1038/ijosup.2015.13
This article is cited by
-
Joint associations between weekday and weekend physical activity or sedentary time and childhood obesity
International Journal of Obesity (2019)
-
Adiposity and the isotemporal substitution of physical activity, sedentary time and sleep among school-aged children: a compositional data analysis approach
BMC Public Health (2018)
-
Human development index, children’s health-related quality of life and movement behaviors: a compositional data analysis
Quality of Life Research (2018)
-
Correlates of compliance with recommended levels of physical activity in children
Scientific Reports (2017)
-
Associations between breakfast frequency and adiposity indicators in children from 12 countries
International Journal of Obesity Supplements (2015)


