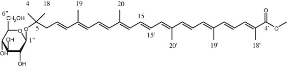
Figure 2 | The Journal of Antibiotics