Correction to: The Journal of Antibiotics (2008) 61, 729–735; doi:10.1038/ja.2008.86
The authors of the above Article noted an error in publication of this paper in Figures 2 and 3, and Table 2. The corrected figures and table are shown below. Reflecting this correction, title of the article has been changed. Authors would like to apologize for the inconvenience caused.
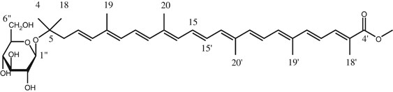
The structure of methyl 5-glucosyl-5,6-dihydro-apo-4,4′-lycopenoate (1).
Key 1H–13C long-range couplings, J values, and δC values observed in the NMR analysis of 2 peracetate.
Additional information
The online version of the original article can be found at 10.1038/ja.2008.86
Rights and permissions
About this article
Cite this article
Shindo, K., Endo, M., Miyake, Y. et al. Erratum: Methyl 5-glucosyl-5,6-dihydro-apo-4,4′-lycopenoate, a novel antioxidative glyco-C30-carotenoic acid produced by a marine bacterium Planococcus maritimus. J Antibiot 67, 731–732 (2014). https://doi.org/10.1038/ja.2014.52
Published:
Issue date:
DOI: https://doi.org/10.1038/ja.2014.52
This article is cited by
-
Heterologous production of novel and rare C30-carotenoids using Planococcus carotenoid biosynthesis genes
Microbial Cell Factories (2021)
-
Genome mining of secondary metabolites from a marine-derived Aspergillus terreus B12
Archives of Microbiology (2021)
-
Analysis of Novel Antioxidant Sesquarterpenes (C35 Terpenes) Produced in Recombinant Corynebacterium glutamicum
Applied Biochemistry and Biotechnology (2018)

