Abstract
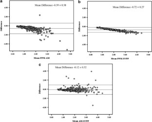
There are several methods of assessing total arterial compliance (TAC) based on the two element Windkessel model, which is a ratio of pressure and volume, but the optimal technique is unclear. In this study, three methods of estimating TAC were compared to determine which was the most robust in a large group of patients with and without cardiovascular risk. In all, 320 patients (170 men; age 55±10) were studied; TAC was determined by the pulse-pressure method (PPM), the area method (AM) and the stroke volume/pulse-pressure method (SVPP). We obtained arterial waveforms using radial applanation tonometry, dimensions using two-dimensional echocardiography and flow data by Doppler. Clinical data, risk factors, echo parameters and TAC by all three methods were then compared. TAC (ml mm Hg–1) by the PPM was 1.24±0.51, by the AM 1.84±0.90 and by the SVPP 1.96±0.76 (P<0.0001 between groups). Correlation was good between all methods: PPM/AM r=0.83, PPM/SVPP r=0.94 and AM/SVPP r=0.80 (all P<0.0001). Subgroup analysis showed significant differences between patients with and those without cardiovascular risk for all three methods; TAC–AM and TAC–SVPP values were similar and significantly higher than TAC–PPM. The only significant relationships observed with TAC and echo parameters were in left ventricular (LV) septal thickness (R2=0.07; P<0.0001) and LV mass (R2=0.04; P=0.004). Normal and abnormal values of TAC vary according to method, which should be expressed. Each of the techniques shows good correlation with each other, however, values for TAC–PPM are significantly lower. TAC–PPM and TAC–SVPP are comparable in determining differences between groups with and without cardiovascular risk.
This is a preview of subscription content, access via your institution
Access options
Subscribe to this journal
Receive 12 digital issues and online access to articles
$119.00 per year
only $9.92 per issue
Buy this article
- Purchase on SpringerLink
- Instant access to the full article PDF.
USD 39.95
Prices may be subject to local taxes which are calculated during checkout




Similar content being viewed by others
References
Van Bortel LM, Balkestein EJ, van der Heijden-Spek JJ, Vanmolkot FH, Staessen JA, Kragten JA et al. Non-invasive assessment of local arterial pulse pressure: comparison of applanation tonometry and echo-tracking. J Hypertens 2001; 19 (6): 1037–1044.
Cameron JD, Jennings GL, Dart AM . Systemic arterial compliance is decreased in newly-diagnosed patients with coronary heart disease: implications for prediction of risk. J Cardiovasc Risk 1996; 3 (6): 495–500.
Kingwell BA . Large artery stiffness: implications for exercise capacity and cardiovascular risk. Clin Exp Pharmacol Physiol 2002; 29 (3): 214–217.
Haluska BA, Jeffriess L, Downey M, Carlier SG, Marwick TH . Influence of cardiovascular risk factors on total arterial compliance. J Am Soc Echocardiogr 2008; 21 (2): 123–128.
Stergiopulos N, Segers P, Westerhof N . Use of pulse pressure method for estimating total arterial compliance in vivo. Am J Physiol 1999; 276 (2 Pt 2): H424–H428.
Segers P, Verdonck P, Deryck Y, Brimioulle S, Naeije R, Carlier S et al. Pulse pressure method and the area method for the estimation of total arterial compliance in dogs: sensitivity to wave reflection intensity. Ann Biomed Eng 1999; 27 (4): 480–485.
Schiller NB, Shah PM, Crawford M, DeMaria A, Devereux R, Feigenbaum H et al. Recommendations for quantitation of the left ventricle by two-dimensional echocardiography. American Society of Echocardiography Committee on Standards, Subcommittee on Quantitation of Two-Dimensional Echocardiograms. J Am Soc Echocardiogr 1989; 2 (5): 358–367.
Segers P, Carlier S, Pasquet A, Rabben SI, Hellevik LR, Remme E et al. Individualizing the aorto-radial pressure transfer function: feasibility of a model-based approach. Am J Physiol Heart Circ Physiol 2000; 279 (2): H542–H549.
Carlier S, Segers P, De Backer T, Stergiopoulos N, Thomas J . The pulse pressure method for non-invasive evaluation of total arterial compliance. J Hyperts 2000; 18: S197.
Stergiopulos N, Meister JJ, Westerhof N . Evaluation of methods for estimation of total arterial compliance. Am J Physiol 1995; 268 (4 Pt 2): H1540–H1548.
Liu Z, Brin KP, Yin FC . Estimation of total arterial compliance: an improved method and evaluation of current methods. Am J Physiol 1986; 251 (3 Pt 2): H588–H600.
Chemla D, Hebert JL, Coirault C, Zamani K, Suard I, Colin P et al. Total arterial compliance estimated by stroke volume-to-aortic pulse pressure ratio in humans. Am J Physiol 1998; 274 (2 Pt 2): H500–H505.
Quinones MA, Otto CM, Stoddard M, Waggoner A, Zoghbi WA . Recommendations for quantification of Doppler echocardiography: a report from the Doppler Quantification Task Force of the Nomenclature and Standards Committee of the American Society of Echocardiography. J Am Soc Echocardiogr 2002; 15 (2): 167–184.
Stergiopulos N, Meister JJ, Westerhof N . Simple and accurate way for estimating total and segmental arterial compliance: the pulse pressure method. Ann Biomed Eng 1994; 22 (4): 392–397.
Mottram PM, Haluska BA, Leano R, Carlier S, Case C, Marwick TH . Relation of arterial stiffness to diastolic dysfunction in hypertensive heart disease. Heart 2005; 91 (12): 1551–1556.
Liang YL, Cameron JD, Teede H, Kotsopoulos D, McGrath BP . Reproducibility of arterial compliance and carotid wall thickness measurements in normal subjects. Clin Exp Pharmacol Physiol 1998; 25 (7–8): 618–620.
Beltran A, McVeigh G, Morgan D, Glasser SP, Neutel JM, Weber M et al. Arterial compliance abnormalities in isolated systolic hypertension. Am J Hypertens 2001; 14 (10): 1007–1011.
Lind L . Arterial compliance and endothelium-dependent vasodilation are independently related to coronary risk in the elderly: the Prospective Investigation of the Vasculature in Uppsala Seniors (PIVUS) study. Clin Physiol Funct Imaging 2008; 28: 373–377.
Van Bortel LM, Spek JJ . Influence of aging on arterial compliance. J Hum Hypertens 1998; 12 (9): 583–586.
Haluska BA, Jeffriess L, Fathi RB, Mottram PM, Carlier SG, Marwick TH . Pulse pressure vs total arterial compliance as a marker of arterial health. Eur J Clin Invest 2005; 35 (7): 438–443.
O’Rourke MF, Staessen JA, Vlachopoulos C, Duprez D, Plante GE . Clinical applications of arterial stiffness; definitions and reference values. Am J Hypertens 2002; 15 (5): 426–444.
de Simone G, Roman MJ, Koren MJ, Mensah GA, Ganau A, Devereux RB . Stroke volume/pulse pressure ratio and cardiovascular risk in arterial hypertension. Hypertension 1999; 33 (3): 800–805.
Stergiopulos N, Westerhof BE, Westerhof N . Total arterial inertance as the fourth element of the Windkessel model. Am J Physiol 1999; 276 (1 Pt 2): H81–H88.
Breit SN, O’Rourke MF . Comparison of direct and indirect arterial pressure measurements in hospitalized patients. Aust N Z J Med 1974; 4 (5): 485–491.
Watson S, Wenzel RR, di Matteo C, Meier B, Luscher TF . Accuracy of a new wrist cuff oscillometric blood pressure device: comparisons with intraarterial and mercury manometer measurements. Am J Hypertens 1998; 11 (12): 1469–1474.
Acknowledgements
This study was made possible by ongoing support from the National Health and Medical Research Council of Australia and the Princess Alexandra Foundation.
Author information
Authors and Affiliations
Corresponding author
Rights and permissions
About this article
Cite this article
Haluska, B., Jeffriess, L., Brown, J. et al. A comparison of methods for assessing total arterial compliance. J Hum Hypertens 24, 254–262 (2010). https://doi.org/10.1038/jhh.2009.92
Received:
Revised:
Accepted:
Published:
Issue date:
DOI: https://doi.org/10.1038/jhh.2009.92
Keywords
This article is cited by
-
Differential effects of heat-not-burn and conventional cigarettes on coronary flow, myocardial and vascular function
Scientific Reports (2021)
-
Influence of beat-to-beat blood pressure variability on vascular elasticity in hypertensive population
Scientific Reports (2017)
-
The relationship between arterial stiffness and heart failure with preserved ejection fraction: a systemic meta-analysis
Heart Failure Reviews (2015)
-
Total arterial compliance: the future of cardiovascular risk assessment?
Journal of Human Hypertension (2010)


