Abstract
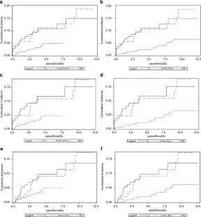
It is unknown whether individuals with monoclonal B-cell lymphocytosis (MBL) are at risk for adverse outcomes associated with chronic lymphocytic leukemia (CLL), such as the risk of non-hematologic cancer. We identified all locally residing individuals diagnosed with high-count MBL at Mayo Clinic between 1999 and 2009 and compared their rates of non-hematologic cancer with that of patients with CLL and two control cohorts: general medicine patients and patients who underwent clinical evaluation with flow cytometry but who had no hematologic malignancy. After excluding individuals with prior cancers, there were 107 high-count MBL cases, 132 CLL cases, 589 clinic controls and 482 flow cytometry controls. With 4.6 years median follow-up, 14 (13%) individuals with high-count MBL, 21 (4%) clinic controls (comparison MBL P<0.0001), 18 (4%) flow controls (comparison MBL P=0.0001) and 16 (12%) CLL patients (comparison MBL P=0.82) developed non-hematologic cancer. On multivariable Cox regression analysis, individuals with high-count MBL had higher risk of non-hematologic cancer compared with flow controls (hazard ratio (HR)=2.36; P=0.04) and borderline higher risk compared with clinic controls (HR=2.00; P=0.07). Patients with high-count MBL appear to be at increased risk for non-hematologic cancer, further reinforcing that high-count MBL has a distinct clinical phenotype despite low risk of progression to CLL.
This is a preview of subscription content, access via your institution
Access options
Subscribe to this journal
Receive 12 print issues and online access
$259.00 per year
only $21.58 per issue
Buy this article
- Purchase on SpringerLink
- Instant access to the full article PDF.
USD 39.95
Prices may be subject to local taxes which are calculated during checkout

Similar content being viewed by others
References
Call TG, Phyliky RL, Noel P, Habermann TM, Beard CM, O'Fallon WM et al. Incidence of chronic lymphocytic leukemia in Olmsted County, Minnesota, 1935 through 1989, with emphasis on changes in initial stage at diagnosis. Mayo Clin Proc 1994; 69: 323–328.
Hisada M, Biggar RJ, Greene MH, Fraumeni JF Jr, Travis LB . Solid tumors after chronic lymphocytic leukemia. Blood 2001; 98: 1979–1981.
Morton LM, Curtis RE, Linet MS, Bluhm EC, Tucker MA, Caporaso N et al. Second malignancy risks after non-Hodgkin's lymphoma and chronic lymphocytic leukemia: differences by lymphoma subtype. J Clin Oncol 2010; 28: 4935–4944.
Tsimberidou AM, Wen S, McLaughlin P, O'Brien S, Wierda WG, Lerner S et al. Other malignancies in chronic lymphocytic leukemia/small lymphocytic lymphoma. J Clin Oncol 2009; 27: 904–910.
Manusow D, Weinerman BH . Subsequent neoplasia in chronic lymphocytic leukemia. JAMA 1975; 232: 267–269.
Maddocks-Christianson K, Slager SL, Zent CS, Reinalda M, Call TG, Habermann TM et al. Risk factors for development of a second lymphoid malignancy in patients with chronic lymphocytic leukaemia. Br J Haematol 2007; 139: 398–404.
Schollkopf C, Rosendahl D, Rostgaard K, Pipper C, Hjalgrim H . Risk of second cancer after chronic lymphocytic leukemia. Int J Cancer 2007; 121: 151–156.
Solomon BM, Rabe KG, Slager SL, Brewer JD, Cerhan JR, Shanafelt TD . Overall and cancer-specific survival of patients with breast, colon, kidney, and lung cancers with and without chronic lymphocytic leukemia: a SEER population-based study. J Clin Oncol 2013; 31: 930–937.
Marti GE, Rawstron AC, Ghia P, Hillmen P, Houlston RS, Kay N et al. Diagnostic criteria for monoclonal B-cell lymphocytosis. Br J Haematol 2005; 130: 325–332.
Fazi C, Scarfo L, Pecciarini L, Cottini F, Dagklis A, Janus A et al. General population low-count CLL-like MBL persists over time without clinical progression, although carrying the same cytogenetic abnormalities of CLL. Blood 2011; 118: 6618–6625.
Ghia P, Prato G, Scielzo C, Stella S, Geuna M, Guida G et al. Monoclonal CD5+ and CD5- B-lymphocyte expansions are frequent in the peripheral blood of the elderly. Blood 2004; 103: 2337–2342.
Rawstron AC, Bennett FL, O'Connor SJ, Kwok M, Fenton JA, Plummer M et al. Monoclonal B-cell lymphocytosis and chronic lymphocytic leukemia. N Engl J Med 2008; 359: 575–583.
Rawstron AC, Green MJ, Kuzmicki A, Kennedy B, Fenton JA, Evans PA et al. Monoclonal B lymphocytes with the characteristics of ‘indolent’ chronic lymphocytic leukemia are present in 3.5% of adults with normal blood counts. Blood 2002; 100: 635–639.
Shanafelt TD, Ghia P, Lanasa MC, Landgren O, Rawstron AC . Monoclonal B-cell lymphocytosis (MBL): biology, natural history and clinical management. Leukemia 2010; 24: 512–520.
Shanafelt TD, Kay NE, Rabe KG, Call TG, Zent CS, Maddocks K et al. Brief report: natural history of individuals with clinically recognized monoclonal B-cell lymphocytosis compared with patients with Rai 0 chronic lymphocytic leukemia. J Clin Oncol 2009; 27: 3959–3963.
Moreira J, Rabe KG, Cerhan JR, Kay NE, Wilson JW, Call TG et al. Infectious complications among individuals with clinical Monoclonal B-cell Lymphocytosis (MBL): a cohort study of newly diagnosed cases compared to controls. Leukemia 2012; 27: 136–141.
Thurmes P, Call T, Slager S, Zent C, Jenkins G, Schwager S et al. Comorbid conditions and survival in unselected, newly diagnosed patients with chronic lymphocytic leukemia. Leuk Lymphoma 2008; 49: 49–56.
Cerhan JR, Fredericksen ZS, Wang AH, Habermann TM, Kay NE, Macon WR et al. Design and validity of a clinic-based case-control study on the molecular epidemiology of lymphoma. Int J Mol Epidemiol Genet 2011; 2: 95–113.
Gooley T, Leisenring W, Crowely J, Storer B . Estimation of failure probabilities in the presence of competing risks: new representations of old estimators. Stat Med 1999; 18: 695–706.
Gray R . A class of K-sample tests for comparing the cumulative incidence of a competing risk. Ann Stat 1988; 16: 1141–1154.
Fine J, Gray R . A proportional hazards model for the subdistribution of a competing risk. J Am Stat Assoc 1999; 94: 496–509.
Brewer JD, Shanafelt TD, Otley CC, Roenigk RK, Cerhan JR, Kay NE et al. Chronic lymphocytic leukemia decreases survival of patients with malignant melanoma and Merkel cell carcinoma in a SEER Population-Based Study. J Clin Oncol 2012; 30: 843–849.
Moyer VA . Screening for lung cancer: U.S. Preventative Services Task Force Recommendation Statement. Ann Intern Med 2014; 160: 330–338.
Force USPST. Screening for breast cancer: U.S. Preventive Services Task Force recommendation statement. Ann Intern Med 2009; 151: 716–726, W-236.
Force USPST. Screening for colorectal cancer: U.S. Preventive Services Task Force recommendation statement. Ann Intern Med 2008; 149: 627–637.
Cheson BD, Bennett JM, Grever M, Kay N, Keating MJ, O'Brien S et al. National Cancer Institute-sponsored Working Group guidelines for chronic lymphocytic leukemia: revised guidelines for diagnosis and treatment. Blood 1996; 87: 4990–4997.
Hallek M, Cheson BD, Catovsky D, Caligaris-Cappio F, Dighiero D, Dohner H et al. Guidelines for the diagnosis and treatment of chronic lymphocytic leukemia: a report from the International Workshop on Chronic Lymphocytic Leukemia updating the National Cancer Institute-Working Group 1996 guidelines. Blood 2008; 111: 5446–5456.
Scarfo L, Fazi C, Ghia P . MBL versus CLL: how important is the distinction? Hematol Oncol Clin North Am 2013; 27: 251–265.
Molica S, Mauro FR, Giannarelli D, Lauria F, Cortelezzi A, Brugiatelli M et al. Differentiating chronic lymphocytic leukemia from monoclonal B-lymphocytosis according to clinical outcome: on behalf of the GIMEMA chronic lymphoproliferative diseases working group. Haematologica 2011; 96: 277–283.
Shanafelt TD, Kay NE, Jenkins G, Call TG, Zent CS, Jelinek DF et al. B-cell count and survival: differentiating chronic lymphocytic leukemia from monoclonal B-cell lymphocytosis based on clinical outcome. Blood 2009; 113: 4188–4196.
Shanafelt TD, Kay NE, Rabe KG, Call TG, Zent CS, Schwager SM et al. Survival of patients with clinically identified monoclonal B-cell lymphocytosis (MBL) relative to the age- and sex-matched general population. Leukemia 2012; 26: 373–376.
Mansfield AS, Rabe KG, Slager SL, Schwager SM, Call TG, Brewer JD et al. Skin cancer surveillance and malignancies of the skin in a community-dwelling cohort of patients with newly diagnosed chronic lymphocytic Leukemia. J Oncol Pract 2013; 10: e1–e4.
Rubin LG, Levin MJ, Ljungman P, Davies EG, Avery R, Tomblyn M et al. 2013 IDSA Clinical Practice Guideline for Vaccination of the Immunocompromised Host. Clin Infect Dis 2013; 58: e44–100.
Acknowledgements
This work was supported in part by R01 CA92153 and the Henry J Predolin Foundation. Dr Shanafelt is a Clinical Scholar of the Leukemia and Lymphoma Society.
Author information
Authors and Affiliations
Corresponding author
Ethics declarations
Competing interests
The authors declare no conflict of interest.
Additional information
Supplementary Information accompanies this paper on the Leukemia website
Supplementary information
Rights and permissions
About this article
Cite this article
Solomon, B., Chaffee, K., Moreira, J. et al. Risk of non-hematologic cancer in individuals with high-count monoclonal B-cell lymphocytosis. Leukemia 30, 331–336 (2016). https://doi.org/10.1038/leu.2015.235
Received:
Revised:
Accepted:
Published:
Issue date:
DOI: https://doi.org/10.1038/leu.2015.235
This article is cited by
-
Chronic lymphocytic leukemia treatment algorithm 2022
Blood Cancer Journal (2022)
-
Chronic lymphocytic leukemia in 2020: a surfeit of riches?
Leukemia (2020)
-
Trends in the risk of second primary malignancies among survivors of chronic lymphocytic leukemia
Blood Cancer Journal (2019)
-
Chronic lymphocytic leukemia treatment algorithm 2018
Blood Cancer Journal (2018)


