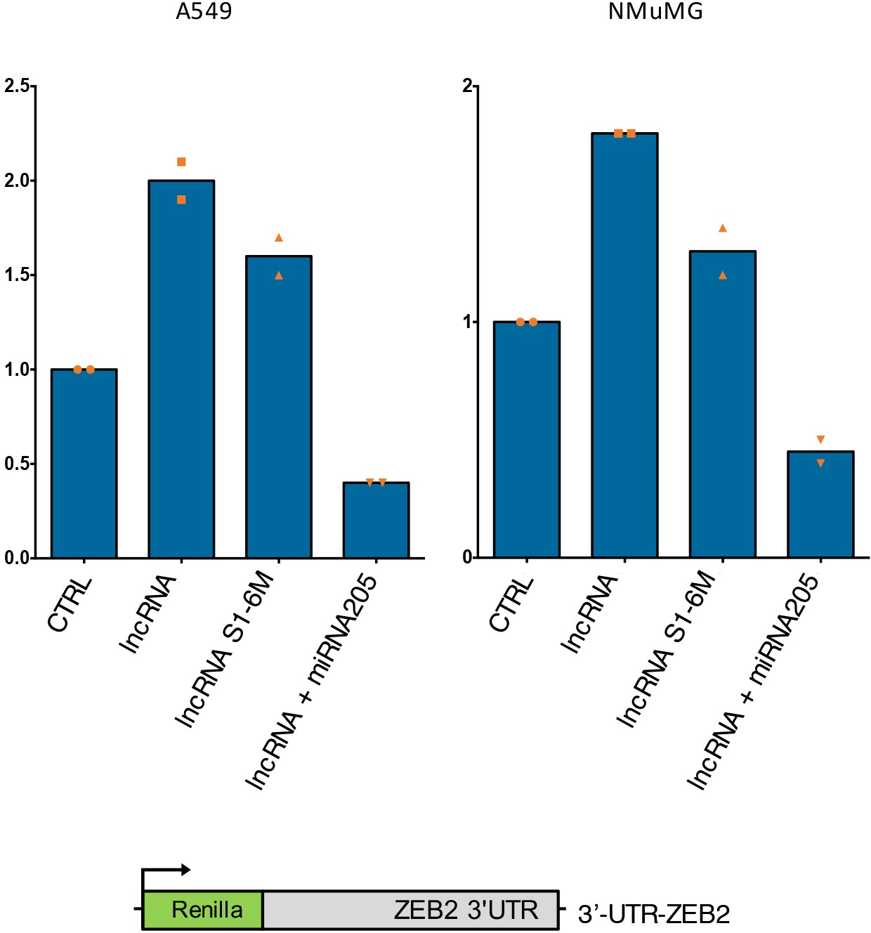
Supplementary Figure 4: The lncRNA-PNUTS regulates ZEB-1 3’UTR through its control of miRNA-205.
From: A regulated PNUTS mRNA to lncRNA splice switch mediates EMT and tumour progression

A Renilla reporter containing 3′-UTR of ZEB2 cloned downstream of Renilla was transfected into A549 and NMuMG cells overexpressing wild-type (lncRNA) or mutated (lncRNAS1-6M) constructs of lncRNA-PNUTS and treated ± synthetic miR-205 mimic. For each condition, Renilla luciferase activity was normalized to Firefly luciferase reporter. Data shown are from two experiments with a bar representing the mean.