Figure 1: Pentacene compounds of current and historical interest and the target compounds produced herein. | Nature Communications

Figure 1: Pentacene compounds of current and historical interest and the target compounds produced herein.

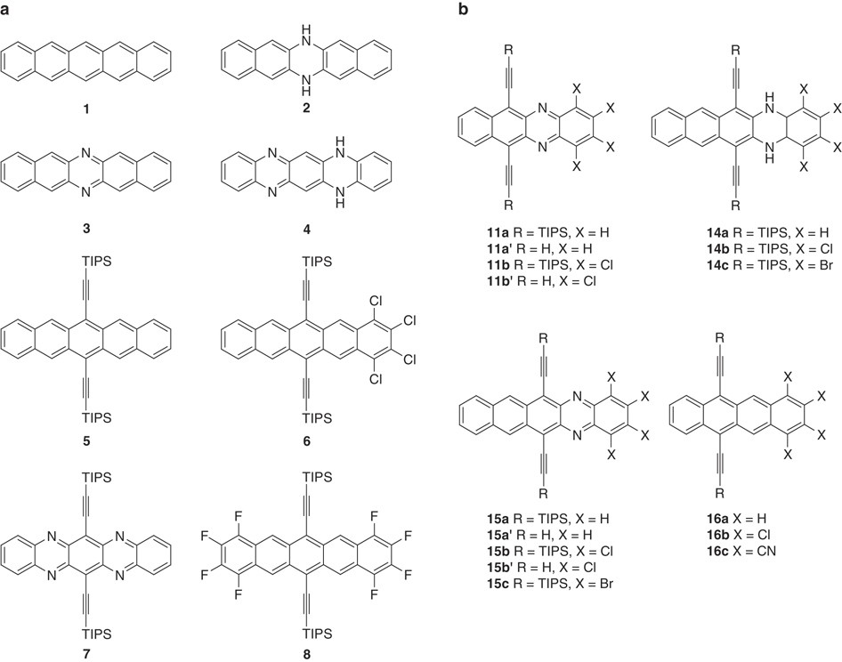
From: Effects of electronegative substitution on the optical and electronic properties of acenes and diazaacenes

Figure 1

(a) Compounds prepared by (1) Clar,1 (2) Hinsberg2, (3) Zimmermann22; (4) Fischer30, (5) Anthony5; (6) Bao15, (7) Bunz13, (8) Bao10. (b) Compounds prepared in this paper (11a,b, 14a–c, 15a–c) and calculated model compounds (11a′,b′, 15a′,b′, 16a–c).

Back to article page