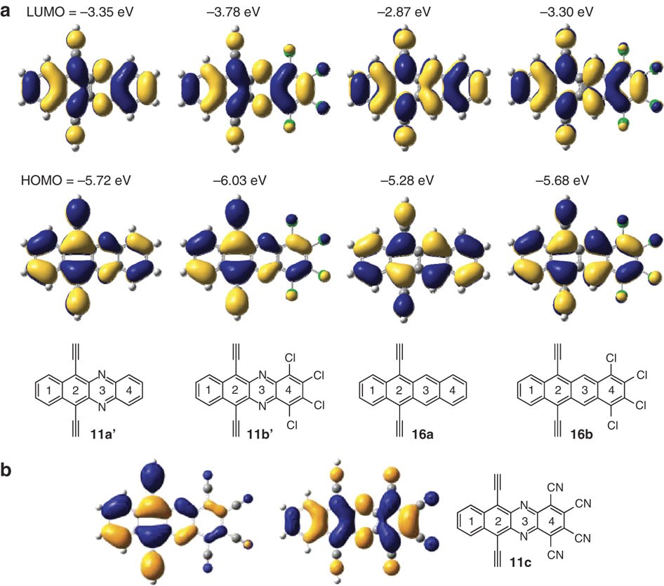
Figure 4: Frontier molecular orbitals of acene derivatives.

HOMO, middle; LUMO, top. The middle bottom row shows the structural formulae and numbering of the rings. (a) The LUMOs of the four compounds are very similar to each other. Both the LUMOs of 11b′ and 16b experience a stabilization of 0.43 eV through the chlorine substitution. The HOMOs of 11a′/11b′ and 16a/16b resemble each other qualitatively but are pair wise (11/16) different. The differences are pronounced in the rings 3 and 4 as particularly in the HOMO of 11a′ the orbital coefficients (see SI) on the rings 3 and 4 are small; as a consequence the chlorine substituents are less effective in stabilizing the HOMO (going from 11a′ to 11b′), mirroring the optical behaviour seen in compound 11b. (b) Frontier molecular orbitals (HOMO 6.30 eV, left; LUMO 4.49 eV, right; gap=1.81 eV) of tetracyanodiazaacene 11c. Calculated by DFT using B3LYP/6-311+G* basis sets. Compared to 11a′ calculated on the same level of theory, the optical band gap (S0–S1 transition) shrinks from 2.07 to 1.38 eV.