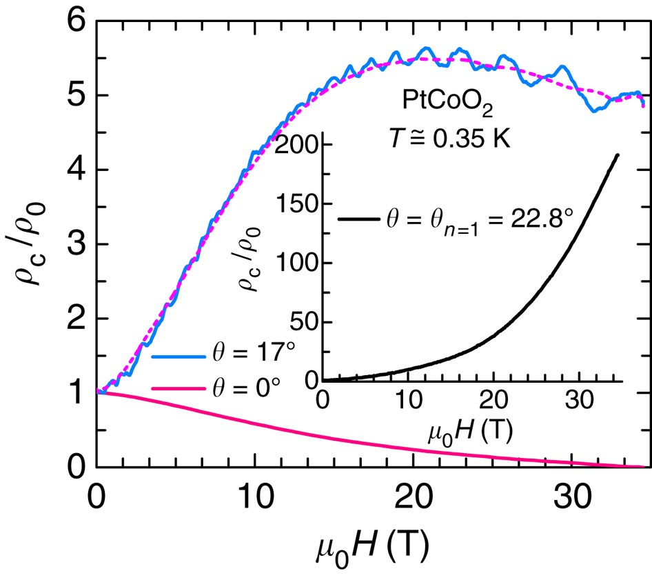
Figure 6: Negative longitudinal magnetoresistance in PtCoO2.
From: Interplanar coupling-dependent magnetoresistivity in high-purity layered metals

Interplanar resistivity ρc normalized by its zero-field value ρ0 for a PtCoO2 single crystal at a temperature T=0.35 K and as a function of the magnetic field μ0H applied along two angles with respect to the c axis, respectively θ=0° (pink line) and 17° (blue line). Dashed magenta line describes the smoothly varying background. Inset: ρc/ρ0 as a function of μ0H applied along the first Yamaji angle θn=22.8°.