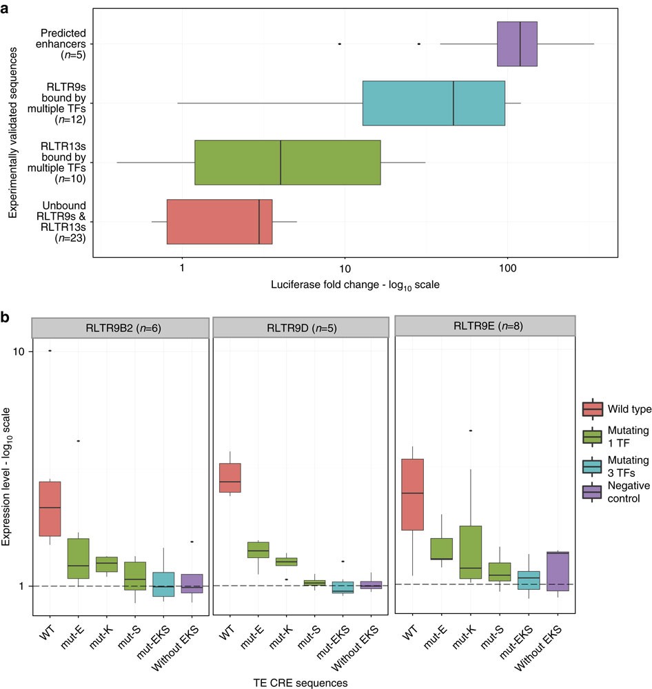
Figure 4: Regulatory potential of TEs bound by multiple TFs in mouse ESCs.
From: Functional cis-regulatory modules encoded by mouse-specific endogenous retrovirus

(a) Luciferase fold change (log10 scale) of TEs bound by multiple TFs (RLTR9s and RLTR13s—labelled ‘RLTR9s bound by multiple TFs’ and ‘RLTR13s bound by multiple TFs’), compared with TEs from the same subfamilies with comparable length but no motifs (labelled ‘Unbound RLTR9s & RLTR13s’), and non-TE regions bound by multiple TFs (labelled ‘Predicted enhancers’). The average luciferase fold change of each TE from three technical replicates is plotted as a boxplot on a log10 scale. (b) Expression values (from CRE-seq67) for TE CREs containing the EKS motif module and their respective mutant sequences (single mutants labelled ‘Mutating 1 TF’ and triple mutants labelled ‘Mutating 3 TFs’, in the legend), along with TEs from the same subfamilies lacking the EKS motifs (as a negative control; labelled ‘Negative Control’ in the legend). Boxplots representing the expression level of TE CREs is measured by the ratio of the read counts of cDNA to DNA, per barcode. A panel represents each subfamily, and ‘n’ represents the number of genomic copies that were tested. In box plots, the centre line represents the median, the box limits represent the 25th and 75th percentiles and the whiskers represent the minimum and maximum values in the interquartile range.