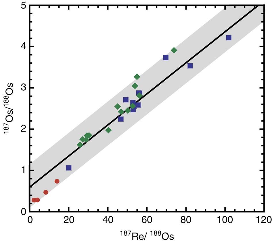
Figure 3: Re–Os isochron diagram for the samples.

The grey area represents the range of 187Re/188Os and 187Os/188Os expected to develop over ~2.3 Ga given initial 187Os/188Os values of between the mantle-derived (0.11) and continental values (~1.4)12. Colours of the data points represent the positions in the stratigraphy. Red circles represent the samples from the Bruce formation (<0 m from the boundary). Blue squares and green diamonds represent the samples from the lower (0–0.5 m from the boundary) and upper part (0.5–1.5 m from the boudanry) of the sandstone–siltstone interval, respectively.