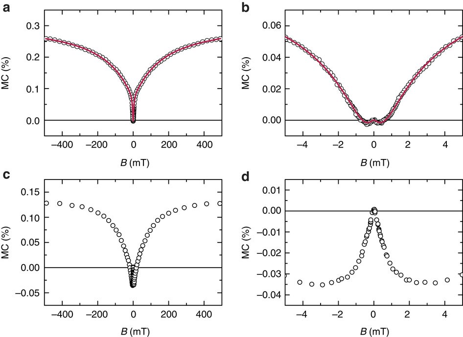
Figure 5: MFE for two different polymers-fullerene blends.
From: Tuning organic magnetoresistance in polymer-fullerene blends by controlling spin reaction pathways

(a,b) The top panels show the result for a 5 wt.% MDMO-PPV:PCBM blend, whereas (c,d) the bottom panels show the result for a 5 wt.% SY-PPV:PCBM blend. The right panels present a zoom around zero applied field, showing a distinct additional negative contribution appearing in the SY-PPV blends. This contribution is not observed in the MDMO-PPV blends.