Figure 2: Validating the model.
From: Analysing black phosphorus transistors using an analytic Schottky barrier MOSFET model

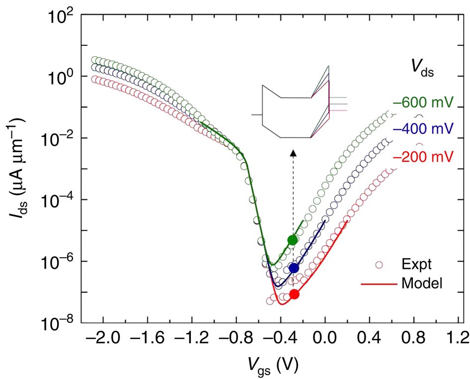
Transfer characteristic of a silicon SB-MOSFET with Lch=2 μm, tox=3 nm and tSi=25 nm from Knoch et al.5 Experimental data are plotted in red, blue and green open circles. The fits to the different Vds curves using our SB-MOSFET model are plotted using solid lines of the corresponding colour. The same
and
where used to fit all three Ids−Vgs curves for different Vds values. The inset shows the band bending situation for different Vds-voltages at a fixed Vgs.