Abstract
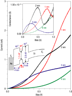
The need for fast electronic devices working under extreme conditions, particularly at high temperature and high voltage, led researchers to investigate the use of films based on diamond1,2,3, graphitic carbon4, amorphous carbon 5 and other carbon nanostructures6. In parallel, a different class of materials including disordered organic7,8 and inorganic9,10,11 materials has been studied, particularly for fast switching and large-area inexpensive electronics based on quantum transport9,12. However, fast-switching devices of amorphous semiconductors based on negative differential resistance or resonant tunnelling has not been achieved so far13,14. Here, we show negative differential resistance peaks, quantized conductance and bias-induced switching with a high-frequency response from amorphous-carbon quantum-well structures. We also demonstrate sufficiently large values for the phase-coherence length and delocalized conduction in these band-modulated low-dimensional disordered carbon structures, which could lead to a new generation of unusual fast-switching devices.
This is a preview of subscription content, access via your institution
Access options
Subscribe to this journal
Receive 12 print issues and online access
$259.00 per year
only $21.58 per issue
Buy this article
- Purchase on SpringerLink
- Instant access to the full article PDF.
USD 39.95
Prices may be subject to local taxes which are calculated during checkout




Similar content being viewed by others
References
Isberg, J. et al. High carrier mobility in single-crystal plasma-deposited diamond. Science 297, 1670–1672 (2002).
Geis, M. W., Efremow, N. M. & Rathman, D. D. Summary abstract: device applications of diamonds. J. Vac. Sci. Technol. A 6, 1953–1954 (1988).
Amaratunga, G. A. J. A dawn for carbon electronics? Science 297, 1657–1658 (2002).
Novoselov, K. S. et al. Electric field effect in atomically thin carbon films. Science 306, 666–669 (2004).
Silva, S. R. P., Carey, J. D., Khan, R. U. A., Gerstner, E. G. & Anguita, J. V. in Handbook of Thin Film Materials (ed. Nalwa, H. S.) 403–506 (Academic, New York, 2002).
Mason, N., Biercuk, M. J. & Marcus, C. M. Local gate control of a carbon nanotube double quantum dot. Science 303, 655–658 (2004).
Lindoy, L. F. Optoelectronics: Marvels of molecular device. Nature 364, 17–18 (1993).
Burroughes, J. H., Jones, C. A. & Friend, R. H. New semiconductor device physics in polymer diodes and transistors. Nature 335, 137–141 (1988).
Silva, S. R. P., Amaratunga, G. A.J., Woodburn, C. N., Welland, M. E. & Haq, S. Quantum size effects in amorphous diamond-like carbon superlattices. Jpn J. Appl. Phys. 33, 6458–6465 (1994).
Brown, E. R., Goodhue, W. D. & Sollner, T. C. L. G. Fundamental oscillations up to 200 GHz in resonant tunneling diodes and new estimates of their maximum oscillation frequency from stationary-state tunneling theory. J. Appl. Phys. 64, 1519–1529 (1988).
Zhao, Y.-P. et al. Frequency-dependent electrical transport in carbon nanotubes. Phys. Rev. B 64, 201402 (2001).
Chen, J., Reed, M. A., Rawlett, A. M. & Tour, J. M. Large on-off ratios and negative differential resistance in a molecular electronic device. Science 286, 1550–1552 (1999).
He, Y. L. et al. Conduction mechanism of hydrogenated nanocrystalline silicon films. Phys. Rev. B 59, 15352–15357 (1999).
Miyazaki, S., Ihara, Y. & Hirose, M. Resonant tunneling through amorphous silicon–silicon nitride double-barrier structures. Phys. Rev. Lett. 59, 125–127 (1987).
Shannon, J. M. & Nieuwesteeg, K. J. B. M. Tunneling effective mass in hydrogenated amorphous silicon. Appl. Phys. Lett. 62, 1815–1817 (1993).
Datta, S. Electronic Transport in Mesoscopic System (Cambridge Univ. Press, Cambridge, 1995).
Kelly, M. J. Low Dimensional Semiconductors (Oxford Univ. Press, Oxford, 1995).
Hajto, J. et al. Quantized electron transport in amorphous-silicon memory structures. Phys. Rev. Lett. 66, 1918–1921 (1991).
Gerstner, E. G. & McKenzie, D. R. Nonvolatile memory effects in nitrogen doped tetrahedral amorphous carbon films. J. Appl. Phys. 84, 5647–5651 (1998).
Davis, C. A. et al. Direct observation of compositionally homogeneous a-C:H band gap modulated superlattices. Phys. Rev. Lett. 75, 4258–4261 (1995).
Dashiell, M. W., Kolodzey, J., Crozat, P., Aniel, F. & Lourtioz, J.-M. Microwave properties of silicon junction tunnel diodes grown by molecular beam epitaxy. IEEE Electron Dev. Lett. 23, 357–360 (2002).
Acknowledgements
We would like to thank the EPSRC for financial support under the Carbon Based Electronics and Portfolio Partnership Programmes and members of the Nano-Electronics Centre. The authors are thankful to J. M. Shannon for valuable discussions and I. Robertson for use of the microwave facility. E.M. acknowledges the Generalitat de Catalunya for the Nanotec postdoctoral fellowship.
Author information
Authors and Affiliations
Corresponding author
Ethics declarations
Competing interests
The authors declare no competing financial interests.
Rights and permissions
About this article
Cite this article
Bhattacharyya, S., Henley, S., Mendoza, E. et al. Resonant tunnelling and fast switching in amorphous-carbon quantum-well structures. Nature Mater 5, 19–22 (2006). https://doi.org/10.1038/nmat1551
Received:
Accepted:
Published:
Issue date:
DOI: https://doi.org/10.1038/nmat1551
This article is cited by
-
Resonant tunnelling diodes based on twisted black phosphorus homostructures
Nature Electronics (2021)
-
A transverse tunnelling field-effect transistor made from a van der Waals heterostructure
Nature Electronics (2020)
-
High Temperature Characterization of a MIS Schottky Diode Based on Diamond-Like Carbon Nanocomposite Film
Journal of Electronic Materials (2019)
-
Photovoltaic Properties and Ultrafast Plasmon Relaxation Dynamics of Diamond-Like Carbon Nanocomposite Films with Embedded Ag Nanoparticles
Nanoscale Research Letters (2017)
-
Coherent quantum transport features in carbon superlattice structures
Scientific Reports (2016)


