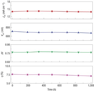
Abstract
Low-cost excitonic solar cells based on organic optoelectronic materials are receiving an ever-increasing amount of attention as potential alternatives to traditional inorganic photovoltaic devices. In this rapidly developing field, the dye-sensitized solar cell1 (DSC) has achieved so far the highest validated efficiency of 11.1% (ref. 2) and remarkable stability3. However, the cells with the best performance use volatile solvents in their electrolytes, which may be prohibitive for outdoor solar panels in view of the need for robust encapsulation. Solvent-free room-temperature ionic liquids4,5,6,7,8,9,10,11 have been pursued as an attractive solution to this dilemma, and device efficiencies of over 7% were achieved by using some low-viscosity formulations containing 1-ethyl-3-methylimidazolium thiocyanate8, selenocyanate9, tricyanomethide10 or tetracyanoborate11. Unfortunately, apart from tetracyanoborate, all of these low-viscosity melts proved to be unstable under prolonged thermal stress and light soaking. Here, we introduce the concept of using eutectic melts to produce solvent-free liquid redox electrolytes. Using a ternary melt in conjunction with a nanocrystalline titania film and the amphiphilic heteroleptic ruthenium complex Z907Na (ref. 10) as a sensitizer, we reach excellent stability and an unprecedented efficiency of 8.2% under air-mass 1.5 global illumination. Our results are of importance to realize large-scale outdoor applications of mesoscopic DSCs.
This is a preview of subscription content, access via your institution
Access options
Subscribe to this journal
Receive 12 print issues and online access
$259.00 per year
only $21.58 per issue
Buy this article
- Purchase on SpringerLink
- Instant access to the full article PDF.
USD 39.95
Prices may be subject to local taxes which are calculated during checkout





Similar content being viewed by others
References
Grätzel, M. Photoelectrochemical cells. Nature 414, 338–344 (2001).
Chiba, Y. et al. Dye-sensitized solar cells with conversion efficiency of 11.1%. Japan. J. Appl. Phys. 2 45, L638–L640 (2006).
Wang, P. et al. A stable quasi-solid-state dye-sensitized solar cell with an amphiphilic ruthenium sensitizer and polymer gel electrolyte. Nature Mater. 2, 402–407 (2003).
Papageorgiou, N. et al. The performance and stability of ambient temperature molten salts for solar cell applications. J. Electrochem. Soc. 143, 3099–3108 (1996).
Kubo, W. et al. Quasi-solid-state dye-sensitized solar cells using room temperature molten salts and a low molecular weight gelator. Chem. Commun. 374–375 (2002).
Wang, P. et al. Gelation of ionic liquid-based electrolytes with silica nanoparticles for quasi-solid-state dye-sensitized solar cells. J. Am. Chem. Soc. 125, 1166–1167 (2003).
Wang, P. et al. A new ionic liquid electrolyte enhances the conversion efficiency of dye-sensitized solar cells. J. Phys. Chem. B 107, 13280–13285 (2003).
Wang, P. et al. A binary ionic liquid electrolyte to achieve ≥7% power conversion efficiencies in dye-sensitized solar cells. Chem. Mater. 16, 2694–2696 (2004).
Wang, P. et al. A solvent-free, SeCN−/(SeCN)3− based ionic liquid electrolyte for high-efficiency dye-sensitized nanocrystalline solar cells. J. Am. Chem. Soc. 126, 7164–7165 (2004).
Wang, P. et al. Charge separation and efficient light energy conversion in sensitized mesoscopic solar cells based on binary ionic liquids. J. Am. Chem. Soc. 127, 6850–6856 (2005).
Kuang, D. et al. Stable mesoscopic dye-sensitized solar cells based on tetracyanoborate ionic liquid electrolyte. J. Am. Chem. Soc. 128, 7732–7733 (2006).
Wasserscheid, P. & Keim, W. Ionic liquids-new ‘solutions’ for transition metal catalysis. Angew. Chem. Int. Ed. 39, 3773–3789 (2000).
Belieres, J.-P., Gervasio, D. & Angell, C. A. Binary inorganic salt mixtures as high conductivity liquid electrolytes for >100 ∘C fuel cells. Chem. Commun. 4799–4801 (2006).
Xu, W., Cooper, E. I. & Angell, C. A. Ionic liquids: Ion mobilities, glass temperature, and fragilities. J. Phys. Chem. B 107, 6170–6178 (2003).
Spiro, M. & Creeth, A. M. Tracer diffusion coefficients of I−, I3−, Fe2+ and Fe3+ at low temperatures. J. Chem. Soc. Faraday Trans. 86, 3573–3576 (1990).
Kawano, R. & Watanabe, M. Anomaly of charge transport of an iodide/tri-iodide redox couple in an ionic liquid and its importance in dye-sensitized solar cells. Chem. Commun. 2107–2109 (2005).
Said, F. F. et al. Hydrogen bonding motifs of N, N′, N′′-trisubstituted guanidinium cations with spherical and rodlike monoanions: Synthesis and structures of I−, I3−, and SCN− salts. Cryst. Growth Des. 6, 258–266 (2006).
Wang, P. et al. Enhance the performance of dye-sensitized solar cells by co-grafting amphiphilic sensitizer and hexadecylmalonic acid on TiO2 nanocrystals.. J. Phys. Chem. B 107, 14336–14341 (2003).
O’Regan, B. C. & Lenzmann, F. Charge transport and recombination in a nanoscale interpenetrating network of n-type and p-type semiconductors: Transient photocurrent and photovoltage studies of TiO2/dye/CuSCN photovoltaic cells. J. Phys. Chem. B 108, 4342–4350 (2004).
Walker, A. B. et al. Analysis of photovoltage decay transients in dye-sensitized solar cells. J. Phys. Chem. B 110, 25504–25507 (2006).
Zhang, Z. et al. Effects of ω-guanidinoalkyl acids as coadsorbents in dye-sensitized solar cells. J. Phys. Chem. C 111, 398–403 (2007).
Bisquert, J. Theory of the impedance of electron diffusion and recombination in a thin layer. J. Phys. Chem. B 106, 325–333 (2002).
Kopidakis, N. et al. Ambipolar diffusion of photocarriers in electrolyte-filled, nanoporous TiO2 . J. Phys. Chem. B 104, 3930–3936 (2000).
Lanning, O. J. & Madden, P. A. Screening at a charged surface by a molten salt. J. Phys. Chem. B 108, 11069–11072 (2004).
Acknowledgements
The National Key Scientific Program-Nanoscience and Nanotechnology (No. 2007CB936700), the National Science Foundation of China (50773078) and the ‘100-Talent Program’ of the Chinese Academy of Sciences have supported this work. M.W., S.M.Z. and M.G. thank G. Rothenberger for helpful discussions and the Swiss National Science Foundation for financial support. P.W. thanks EPFL for a visiting professorship.
Author information
Authors and Affiliations
Corresponding authors
Supplementary information
Supplementary Information (download PDF )
Supplementary Figures S1–S10 (PDF 93 kb)
Rights and permissions
About this article
Cite this article
Bai, Y., Cao, Y., Zhang, J. et al. High-performance dye-sensitized solar cells based on solvent-free electrolytes produced from eutectic melts. Nature Mater 7, 626–630 (2008). https://doi.org/10.1038/nmat2224
Received:
Accepted:
Published:
Issue date:
DOI: https://doi.org/10.1038/nmat2224
This article is cited by
-
Unique Evolution of the Local Structure of 1-Butyl-3-methylimidazolium Iodide and Alcohol Mixtures: Formation of Triiodide Without the External Addition of Iodine
Journal of Solution Chemistry (2022)
-
Semiconductors as Effective Electrodes for Dye Sensitized Solar Cell Applications
Topics in Current Chemistry (2021)
-
Areca catechu extracted natural new sensitizer for dye-sensitized solar cell: performance evaluation
Journal of Materials Science: Materials in Electronics (2020)
-
Diffusion-free Grotthuss topochemistry for high-rate and long-life proton batteries
Nature Energy (2019)


