Abstract
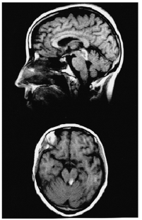
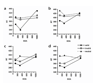
Visuomotor pathways in the vertebrate midbrain mediate rapid, reflexive orienting to abrupt changes. Using the 'inhibition of return' (IOR) mechanism, the attentional system favors novel spatial locations by inhibiting already scanned ones1. In a rare patient with a unilateral lesion restricted to the dorsal midbrain, we demonstrate that IOR is generated within the midbrain superior colliculus.
This is a preview of subscription content, access via your institution
Access options
Subscribe to this journal
Receive 12 print issues and online access
$259.00 per year
only $21.58 per issue
Buy this article
- Purchase on SpringerLink
- Instant access to the full article PDF.
USD 39.95
Prices may be subject to local taxes which are calculated during checkout



References
Posner, M. I. & Cohen, Y. in Attention and Performance Vol. X (eds. Bouma, H. & Bouwhuis, D.) 531–556 (London, Erlbaum, 1984).
Posner, M. I. Q. J. Exp. Psychol. 32, 3–25 (1980).
Klein, R. M. & MacInnes, W. J. Psychological Science. (in press).
Posner, M. I., Rafal, R., Choate, L. S. & Vaughan, J. Cognit. Neuropsychol. 2, 211–228 (1985).
Danziger, S., Fendrich, R. & Rafal, R. Conscious. Cogn. 6, 291–307 (1997).
Simion, F., Valenza, E., Umilta, C. & Dalla Barba, B. Infant Behav. Dev. 18, 189–194. (1995).
Rafal, R., Calabresi, P., Brennan, C. & Sciolto, T. J. Exp. Psychol. Hum. Percept. Perform. 15, 673–685 (1989).
Sherman, M. S. Science 185, 355–357 (1974).
Lewis, T. L., Maurer, D. & Blackburn, K. Vision Res. 25, 943–950 (1985).
Posner, M. I. & Cohen, Y. in Tutorials in Motor Behavior (eds. Stelmach, E. & Requin, J.) 243–258 (North Holland, Amsterdam, 1980).
Hubel, D. H., LeVay, S. & Wiesel. T. N. Brain Res. 96, 25–40 (1975).
Wilson, M. E. & Toyne, M. G. Brain Res. 24, 395–406 (1970).
Williams, C., Azzopardi, P. & Cowey, A. Neuroscience 65, 577–586 (1995).
Acknowledgements
This work was supported by a grant to A. Henik from the Israel Science Foundation by the Israel Academy of Sciences and Humanities.
Author information
Authors and Affiliations
Corresponding author
Rights and permissions
About this article
Cite this article
Sapir, A., Soroker, N., Berger, A. et al. Inhibition of return in spatial attention: direct evidence for collicular generation. Nat Neurosci 2, 1053–1054 (1999). https://doi.org/10.1038/15977
Received:
Accepted:
Issue date:
DOI: https://doi.org/10.1038/15977
This article is cited by
-
Modeling Eye Movements During Decision Making: A Review
Psychometrika (2023)
-
Behavioral and neuronal study of inhibition of return in barn owls
Scientific Reports (2020)
-
Neuroenhancement of High-Level Cognition: Evidence for Homeostatic Constraints of Non-invasive Brain Stimulation
Journal of Cognitive Enhancement (2019)
-
Functional neuroanatomy of the human eye movement network: a review and atlas
Brain Structure and Function (2019)
-
Spatial gradients of oculomotor inhibition of return in deaf and normal adults
Experimental Brain Research (2016)