Abstract
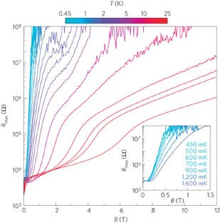
Mono- and bilayer graphene have generated tremendous excitement owing to their unique and potentially useful electronic properties1. Suspending single-layer graphene flakes above the substrate2,3 has been shown to greatly improve sample quality, yielding high-mobility devices with little charge inhomogeneity. Here we report the fabrication of suspended bilayer graphene devices with very little disorder. We observe quantum Hall states that are fully quantized at a magnetic field of 0.2 T, as well as broken-symmetry states at intermediate filling factors ν=0, ±1, ±2 and ±3. In the ν=0 state, the devices show extremely high magnetoresistance that scales as magnetic field divided by temperature. This resistance is predominantly affected by the perpendicular component of the applied field, and the extracted energy gap is significantly larger than expected for Zeeman splitting. These findings indicate that the broken-symmetry states arise from many-body interactions and underscore the important part that Coulomb interactions play in bilayer graphene.
This is a preview of subscription content, access via your institution
Access options
Subscribe to this journal
Receive 12 print issues and online access
$259.00 per year
only $21.58 per issue
Buy this article
- Purchase on SpringerLink
- Instant access to the full article PDF.
USD 39.95
Prices may be subject to local taxes which are calculated during checkout




Similar content being viewed by others
References
Castro Neto, A. H., Guinea, F., Peres, N. M. R., Novoselov, K. S. & Geim, A. K. The electronic properties of graphene. Rev. Mod. Phys. 81, 109–162 (2009).
Bolotin, K. I. et al. Ultrahigh electron mobility in suspended graphene. Solid State Commun. 146, 351–355 (2008).
Du, X., Skachko, I., Barker, A. & Andrei, E. Y. Approaching ballistic transport in suspended graphene. Nature Nanotech. 3, 491–495 (2008).
Novoselov, K. S. et al. Two-dimensional gas of massless Dirac fermions in graphene. Nature 438, 197–200 (2005).
Zhang, Y. B., Tan, Y. W., Stormer, H. L. & Kim, P. Experimental observation of the quantum Hall effect and Berry’s phase in graphene. Nature 438, 201–204 (2005).
Jiang, Z., Zhang, Y., Stormer, H. L. & Kim, P. Quantum Hall states near the charge-neutral Dirac point in graphene. Phys. Rev. Lett. 99, 106802 (2007).
Zhang, Y. et al. Landau-level splitting in graphene in high magnetic fields. Phys. Rev. Lett. 96, 136806 (2006).
Nomura, K. & MacDonald, A. H. Quantum Hall ferromagnetism in graphene. Phys. Rev. Lett. 96, 256602 (2006).
Alicea, J. & Fisher, M. P. A. Graphene integer quantum Hall effect in the ferromagnetic and paramagnetic regimes. Phys. Rev. B 74, 075422 (2006).
Gusynin, V. P., Miransky, V. A., Sharapov, S. G. & Shovkovy, I. A. Excitonic gap, phase transition, and quantum Hall effect in graphene. Phys. Rev. B 74, 195429 (2006).
Khveshchenko, D. V. Composite Dirac fermions in graphene. Phys. Rev. B 75, 153405 (2007).
Giesbers, A. J. M. et al. Gap opening in the zeroth Landau level of graphene. Preprint at <http://arxiv.org/abs/0904.0948v1> (2009).
Checkelsky, J. G., Li, L. & Ong, N. P. Zero-energy state in graphene in a high magnetic field. Phys. Rev. Lett. 100, 206801 (2008).
Checkelsky, J. G., Li, L. & Ong, N. P. Divergent resistance at the Dirac point in graphene: Evidence for a transition in a high magnetic field. Phys. Rev. B 79, 115434 (2009).
Zhang, L. et al. Breakdown of the N=0 quantum Hall state in graphene: Two insulating regimes. Preprint at <http://arxiv.org/abs/0904.1996v2> (2009).
Abanin, D. A. et al. Dissipative quantum Hall effect in graphene near the Dirac point. Phys. Rev. Lett. 98, 196806 (2007).
Ezawa, M. Intrinsic Zeeman effect in graphene. J. Phys. Soc. Jpn 76, 097401 (2007).
Barlas, Y., Cote, R., Nomura, K. & MacDonald, A. H. Intra-Landau-level cyclotron resonance in bilayer graphene. Phys. Rev. Lett. 101, 097601 (2008).
Abanin, D. A., Parameswaran, S. A. & Sondhi, S. L. Charge 2e skyrmions in bilayer graphene. Phys. Rev. Lett. 103, 076802 (2009).
Novoselov, K. S. et al. Unconventional quantum Hall effect and Berry’s phase of 2 pi in bilayer graphene. Nature Phys. 2, 177–180 (2006).
McCann, E. & Fal’ko, V. I. Landau-level degeneracy and quantum Hall effect in a graphite bilayer. Phys. Rev. Lett. 96, 086805 (2006).
Oostinga, J. B., Heersche, H. B., Liu, X. L., Morpurgo, A. F. & Vandersypen, L. M. K. Gate-induced insulating state in bilayer graphene devices. Nature Mater. 7, 151–157 (2008).
Castro, E. V. et al. Biased bilayer graphene: Semiconductor with a gap tunable by the electric field effect. Phys. Rev. Lett. 99, 216802 (2007).
Morozov, S. V. et al. Giant intrinsic carrier mobilities in graphene and its bilayer. Phys. Rev. Lett. 100, 016602 (2008).
Martin, J. et al. Observation of electron–hole puddles in graphene using a scanning single-electron transistor. Nature Phys. 4, 144–148 (2008).
Adam, S. & Das Sarma, S. Boltzmann transport and residual conductivity in bilayer graphene. Phys. Rev. B 77, 115436 (2008).
Katsnelson, M. I. Minimal conductivity in bilayer graphene. Eur. Phys. J. B 52, 151–153 (2006).
Snyman, I. & Beenakker, C. W. J. Ballistic transmission through a graphene bilayer. Phys. Rev. B 75, 045322 (2007).
Abanin, D. A., Lee, P. A. & Levitov, L. S. Randomness-induced XY ordering in a graphene quantum Hall ferromagnet. Phys. Rev. Lett. 98, 156801 (2007).
Bao, W. et al. Controlled ripple texturing of suspended graphene and ultrathin graphite membranes. Nature Nanotech. 4, 562–566 (2009).
Khveshchenko, D. V. Magnetic-field-induced insulating behavior in highly oriented pyrolitic graphite. Phys. Rev. Lett. 87, 206401 (2001).
Gorbar, E. V., Gusynin, V. P., Miransky, V. A. & Shovkovy, I. A. Magnetic field driven metal–insulator phase transition in planar systems. Phys. Rev. B 66, 045108 (2002).
Dolgopolov, V. T. et al. Direct measurements of the spin gap in the two-dimensional electron gas of AlGaAs–GaAs heterojunctions. Phys. Rev. Lett. 79, 729–732 (1997).
Acknowledgements
We would like to acknowledge discussions with L. S. Levitov, R. Nandkishore, D. A. Abanin, A. H. Castro Neto, A. H. MacDonald, M. S. Rudner and S. Sachdev. We acknowledge support from Harvard NSEC, the ONR MURI program and Harvard CNS, a member of the NNIN, which is supported by the NSF.
Author information
Authors and Affiliations
Contributions
B.E.F. conceived and designed the experiments, fabricated samples, carried out the experiments and data analysis and wrote the paper. J.M. conceived and designed the experiments, carried out the experiments and data analysis and wrote the paper. A.Y. conceived and designed the experiments, carried out data analysis and wrote the paper.
Corresponding author
Supplementary information
Supplementary Information (download PDF )
Supplementary Information (PDF 863 kb)
Rights and permissions
About this article
Cite this article
Feldman, B., Martin, J. & Yacoby, A. Broken-symmetry states and divergent resistance in suspended bilayer graphene. Nature Phys 5, 889–893 (2009). https://doi.org/10.1038/nphys1406
Received:
Accepted:
Published:
Issue date:
DOI: https://doi.org/10.1038/nphys1406
This article is cited by
-
Unconventional correlated insulator in CrOCl-interfaced Bernal bilayer graphene
Nature Communications (2023)
-
Dynamic Magnetic Features of the Mixed Ising System on the Bilayer Square Lattice
Journal of Superconductivity and Novel Magnetism (2018)
-
Tight-Binding Model Study of Anti-ferromagnetic Order in AA-Stacked Bi-layer Graphene
Journal of Superconductivity and Novel Magnetism (2018)
-
Anomalous Dirac point transport due to extended defects in bilayer graphene
Nature Communications (2017)
-
Direct measurement of discrete valley and orbital quantum numbers in bilayer graphene
Nature Communications (2017)


