Abstract
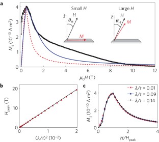
The electronic properties of the polar interface between insulating oxides is a subject of great interest1,2,3. An exciting development is the observation of robust magnetism4,5,6,7,8 at the interface of two non-magnetic materials, LaAlO3 (LAO) and SrTiO3 (STO). Here we present a microscopic theory for the formation and interaction of local moments that depends on essential features of the LAO/STO interface. We show that correlation-induced moments arise owing to interfacial splitting of orbital degeneracy. We find that conduction electrons with a gate-tunable Rashba spin–orbit coupling mediate ferromagnetic exchange with a twist. We predict that the zero-field ground state is a long-wavelength spiral. Its evolution in an external field accounts semi-quantitatively for torque magnetometry data5 and describes qualitative aspects of the scanning superconducting quantum interference device measurements6. We make several testable predictions for future experiments.
This is a preview of subscription content, access via your institution
Access options
Subscribe to this journal
Receive 12 print issues and online access
$259.00 per year
only $21.58 per issue
Buy this article
- Purchase on SpringerLink
- Instant access to the full article PDF.
USD 39.95
Prices may be subject to local taxes which are calculated during checkout



Similar content being viewed by others
References
Ohtomo, A. & Hwang, H. Y. A high-mobility electron gas at the LaAlO3/SrTiO3 heterointerface. Nature 427, 423–426 (2004).
Thiel, S., Hammerl, G., Schmehl, A., Schneider, C. W. & Mannhart, J. Tunable quasi two-dimensional electron gases in oxide heterostructures. Science 313, 1942–1945 (2006).
Zubko, P., Gariglio, S., Gabay, M., Ghosez, P. & Triscone, J-M. Interface physics in complex oxide heterostructures. Annu. Rev. Condens. Matter Phys. 2, 141–165 (2011).
Brinkman, A. et al. Magnetic effects at the interface between non-magnetic oxides. Nature Mater. 6, 493–496 (2007).
Li, L., Richter, C., Mannhart, J. & Ashoori, R. C. Coexistence of magnetic order and two-dimensional superconductivity at LaAlO3/SrTiO3 interfaces. Nature Phys. 7, 762–766 (2011).
Bert, J. et al. Direct imaging of the coexistence of ferromagnetism and superconductivity at the LaAlO3/SrTiO3 interface. Nature Phys. 7, 767–771 (2011).
Ariando, et al. Electronic phase separation at the LaAlO3/SrTiO3 interface. Nature Commun. 2, 188–194 (2011).
Dikin, D. A., Mehta, M., Bark, C. W., Folkman, C.M., Eom, C. B. & Chandrasekhar, V. Coexistence of superconductivity and ferromagnetism in two dimensions. Phys. Rev. Lett. 107, 56802–56805 (2011).
Shalom, M. B., Ron, A., Palevski, A. & Dagan, Y. Shubnikov-De Haas oscillations in SrTiO3/LaAlO3 interface. Phys. Rev. Lett. 105, 206401 (2010).
Lerer, S., Shalom, M. B., Deutscher, G. & Dagan, Y. Low-temperature dependence of the thermomagnetic transport properties of the SrTiO3/LaAlO3 interface. Phys. Rev. B 84, 075423 (2011).
Joshua, A., Pecker, S., Ruhman, J., Altman, E. & Ilani, S. A universal critical density underlying the physics of electrons at the LaAlO3/SrTiO3 interface. Nature Commun. 3, 1129 (2012).
Caviglia, A. D., Gabay, M., Gariglio, S., Reyren, N., Cancellieri, C. & Triscone, J-M. Tunable Rashba spin-orbit interaction at oxide interfaces. Phys. Rev. Lett. 104, 126803 (2010).
Pentcheva, R. & Pickett, W. E. Charge localization or itineracy at LaAlO3/SrTiO3 interfaces: Hole polarons, oxygen vacancies, and mobile electrons. Phys. Rev. B 74, 035112 (2006).
Delugas, P. et al. Spontaneous 2-dimensional carrier confinement at the n-type SrTiO3/LaAlO3 interface. Phys. Rev. Lett. 106, 166807 (2011).
Salluzzo, M. et al. Orbital reconstruction and the two-dimensional electron gas at the LaAlO3/SrTiO3 interface. Phys. Rev. Lett. 102, 166804 (2009).
Sing, M. et al. Profiling the interface electron gas of LaAlO3/SrTiO3 heterostructures with hard x-ray photoelectron spectroscopy. Phys. Rev. Lett. 102, 176805 (2009).
Berner, G. et al. LaAlO3/SrTiO3 oxide heterostructures studied by resonant inelastic x-ray scattering. Phys. Rev. B 82, 241405 (2010).
Popovic, Z. S., Satpathy, S. & Martin, R. M. Origin of the two-dimensional electron gas carrier density at the LaAlO3 on SrTiO3 interface. Phys. Rev. Lett. 101, 256801 (2008).
Hirayama, M., Miyake, T. & Imada, M. Ab initio Low-energy model of transition-metal-oxide heterostructure LaAlO3/SrTiO3 . J. Phys. Soc. Jpn 81, 084708 (2012).
Santander-Syro, A. F. et al. Two-dimensional electron gas with universal subbands at the surface of SrTiO3 . Nature 469, 189–194 (2011).
Fête, A., Gariglio, S., Caviglia, A. D., Triscone, J-M. & Gabay, M. Rashba induced magnetoconductance oscillations in the LaAlO3–SrTiO3 heterostructure. Phys. Rev. B 86, 201105 (2012).
Florens, S. & Georges, A. Slave-rotor mean-field theories of strongly correlated systems and the Mott transition in finite dimensions. Phys. Rev. B 70, 035114 (2004).
Pentcheva, R. & Pickett, W. E. Ionic relaxation contribution to the electronic reconstruction at the n-type LaAlO3/SrTiO3 interface. Phys. Rev. B 78, 205106 (2008).
Imada, M., Fujimori, A. & Tokura, Y. Metal-insulator transitions. Rev. Mod. Phys. 70, 1039–1263 (1998).
Nussinov, Z., Biskup, M., Chayes, L. & van den Brink, J. Orbital order in classical models of transition-metal compounds. Eur. Phys. Lett. 67, 990–996 (2004).
Chen, G & Balents, L. Ferromagnetism in itinerant two-dimensional t2g systems. Phys. Rev. Lett. 110, 206401 (2013).
Michaeli, K, Potter, A. C. & Lee, P. A. Superconducting and ferromagnetic phases in SrTiO3/LaAlO3 oxide interface structures: possibility of finite momentum pairing. Phys. Rev. Lett. 108, 117003 (2012).
Camjayi, A., Haule, K., Dobrosavljević, V. & Kotliar, G. Coulomb correlations and the Wigner-Mott transition. Nature Phys. 4, 932–935 (2008).
Nanda, B. R. K. & Satpathy, S. Electronic phases and phase separation in the Hubbard-Holstein model of a polar interface. Phys. Rev. B 83, 195114 (2011).
Khalsa, G., Lee, B. & MacDonald, A. H. Theory of t2g electron-gas Rashba interactions. Preprint at http://arxiv.org/abs/1301.2784 (2013).
Acknowledgements
We acknowledge stimulating conversations with L. Li, L. Balents, W. Cole, J. Mannhart, K. Moler, W. Pickett, S. Satpathy and N. Trivedi, and the support of DOE-BES DE-SC0005035 (S.B.), NSF-DMR-1006532 (O.E.) and NSF MRSEC DMR-0820414 (M.R.).
Author information
Authors and Affiliations
Contributions
S.B., O.E. and M.R. contributed to the theoretical research described in the paper and the writing of the manuscript.
Corresponding author
Ethics declarations
Competing interests
The authors declare no competing financial interests.
Supplementary information
Supplementary Information (download PDF )
Supplementary Information (PDF 398 kb)
Rights and permissions
About this article
Cite this article
Banerjee, S., Erten, O. & Randeria, M. Ferromagnetic exchange, spin–orbit coupling and spiral magnetism at the LaAlO3/SrTiO3 interface. Nature Phys 9, 626–630 (2013). https://doi.org/10.1038/nphys2702
Received:
Accepted:
Published:
Issue date:
DOI: https://doi.org/10.1038/nphys2702
This article is cited by
-
Infinite critical boson non-Fermi liquid on heterostructure interfaces
Quantum Frontiers (2023)
-
Antiferromagnetic skyrmion crystals in the Rashba Hund’s insulator on triangular lattice
Scientific Reports (2021)
-
Dense skyrmion crystal stabilized through interfacial exchange coupling: Role of in-plane anisotropy
Frontiers of Physics (2021)
-
Interface-driven chiral magnetism and current-driven domain walls in insulating magnetic garnets
Nature Nanotechnology (2019)
-
Strain-tunable magnetism at oxide domain walls
Nature Physics (2019)


