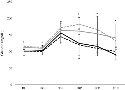
Figure 2

Postprandial glycemic response among individuals with varying levels of glucose tolerance during an OGTT with (D3) and without (D2) the acute BM extract ingestion. Fastpeak is represented by a black line (D2) and a dashed black line (D3). Slowpeak is represented by a gray line (D2) and a dashed gray line (D3). *Significant difference between groups during D2.