Abstract
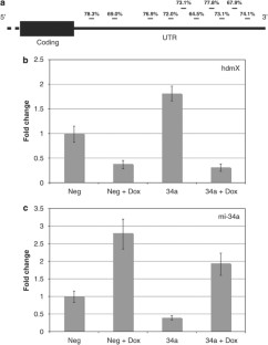
Previous studies have suggested that the mdmX gene is constitutively transcribed, and that MdmX protein activity is instead controlled by cellular localization and DNA damage induced Mdm2-mediated ubiquitination leading to proteasomal degradation. In these studies, we report that the human mdmX (hdmX) mRNA is reproducibly decreased in various human cell lines following treatment with various DNA-damaging agents. Repression of hdmX transcripts is observed in DNA-damaged HCT116 colon cancer cells and in isogenic p53−/− cells, suggesting that this effect is p53-independent. Reduction in the amount of hdmX transcript occurs in both human tumor cell lines and primary human diploid fibroblasts, and results in a significant reduction of HdmX protein. Examination of hdmX promoter activity suggests that damage-induced repression of hdmX mRNA is not significantly impacted by transcription initiation. In contrast, changes in hdmX mRNA splicing appear to partly explain the reduction in full-length hdmX mRNA levels in tumor cell lines with the destabilization of full-length hdmX transcripts, potentially through microRNA miR-34a regulation, also impacting transcript levels. Taken together, this study uncovers previously unrecognized cellular mechanisms by which hdmX mRNA levels are kept low following genotoxic stress.
This is a preview of subscription content, access via your institution
Access options
Subscribe to this journal
Receive 50 print issues and online access
$259.00 per year
only $5.18 per issue
Buy this article
- Purchase on SpringerLink
- Instant access to the full article PDF.
USD 39.95
Prices may be subject to local taxes which are calculated during checkout








Similar content being viewed by others
References
Bartel F, Schulz J, Bohnke A, Blumke K, Kappler M, Bache M et al. (2005). Significance of HDMX-S (or MDM4) mRNA splice variant overexpression and HDMX gene amplification on primary soft tissue sarcoma prognosis. Int J Cancer 117: 469–475.
Betel D, Wilson M, Gabow A, Marks D, Sander C . (2008). microRNA target predictions: the microRNA.org resource: targets and expression. Nucleic Acids Res 36: D149–D153.
Bommer GT, Gerin I, Feng Y, Kaczorowski AJ, Kuick R, Love RE et al. (2007). p53-Mediated activation of miRNA34 candidate tumor-suppressor genes. Curr Biol 17: 1298–1307.
Bottger V, Bottger A, Garcia-Echeverria C, Ramos YFM, van der Eb AJ, Jochemsen AG et al. (1999). Comparative study of the p53–mdm2 and p53–MDMX interfaces. Oncogene 18: 189–199.
Chandler DS, Singh RK, Caldwell LC, Bitler JL, Lozano G . (2006). Genotoxic stress induces coordinately regulated alternative splicing of the p53 modulators MDM2 and MDM4. Cancer Res 66: 9502–9508.
Chang TC, Wentzel EA, Kent OA, Ramachandran K, Mullendore M, Lee KH et al. (2007). Transactivation of miR-34a by p53 broadly influences gene expression and promotes apoptosis. Mol Cell 26: 745–752.
Danovi D, Meulmeester E, Pasini D, Migliorini D, Capra M, Frenk R et al. (2004). Amplification of Mdmx (or Mdm4) directly contributes to tumor formation by inhibiting p53 tumor suppressor activity. Mol Cell Biol 24: 5835–5843.
de Graaf P, Little NA, Ramos YF, Meulmeester E, Letteboer SJ, Jochemsen AG . (2003). Hdmx protein stability is regulated by the ubiquitin ligase activity of Mdm2. J Biol Chem 278: 38315–38324.
Dias CS, Liu Y, Yau A, Westrick L, Evans SC . (2006). Regulation of hdm2 by stress-induced hdm2alt1 in tumor and nontumorigenic cell lines correlating with p53 stability. Cancer Res 66: 9467–9473.
Eto I . (2006). Nutritional and chemopreventive anti-cancer agents up-regulate expression of p27Kip1, a cyclin-dependent kinase inhibitor, in mouse JB6 epidermal and human MCF7, MDA-MB-321 and AU565 breast cancer cells. Cancer Cell Int 6: 20.
Fang S, Jensen JP, Ludwig RL, Vousden KH, Weissman AM . (2000). Mdm2 is a RING finger-dependent ubiquitin protein ligase for itself and p53. J Biol Chem 275: 8945–8951.
Gentiletti F, Mancini F, D'Angelo M, Sacchi A, Pontecorvi A, Jochemsen AG et al. (2002). MDMX stability is regulated by p53-induced caspase cleavage in NIH3T3 mouse fibroblasts. Oncogene 21: 867–877.
Gertz EM, Yu YK, Agarwala R, Schaffer AA, Altschul SF . (2006). Composition-based statistics and translated nucleotide searches: improving the TBLASTN module of BLAST. BMC Biol 4: 41.
Gilkes DM, Chen L, Chen J . (2006). MDMX regulation of p53 response to ribosomal stress. EMBO J 25: 5614–5625.
Gu J, Kawai H, Nie L, Kitao H, Wiederschain D, Jochemsen AG et al. (2002). Mutual dependence of MDM2 and MDMX in their functional inactivation of p53. J Biol Chem 277: 19251–19254.
He L, He X, Lim LP, de Stanchina E, Xuan Z, Liang Y et al. (2007). A microRNA component of the p53 tumour suppressor network. Nature 447: 1130–1134.
Honda R, Tanaka H, Yasuda H . (1997). Oncoprotein MDM2 is a ubiquitin ligase E3 for tumor suppressor p53. FEBS Lett 420: 25–27.
Honda R, Yasuda H . (1999). Association of p19(ARF) with Mdm2 inhibits ubiquitin ligase activity of Mdm2 for tumor suppressor p53. EMBO J 18: 22–27.
Jackson MW, Berberich SJ . (1999). Constitutive mdmx expression during cell growth, differentiation, and DNA damage. DNA Cell Biol 18: 693–700.
Jin Y, Dai MS, Lu SZ, Xu Y, Luo Z, Zhao Y et al. (2006). 14-3-3gamma binds to MDMX that is phosphorylated by UV-activated Chk1, resulting in p53 activation. EMBO J 25: 1207–1218.
John B, Enright AJ, Aravin A, Tuschl T, Sander C, Marks DS . (2004). Human MicroRNA targets. PLoS Biol 2: e363.
Jones SN, Roe AE, Donehower LA, Bradley A . (1995). Rescue of embryonic lethality in Mdm2-deficient mice by absence of p53. Nature 378: 206–208.
Kent WJ, Sugnet CW, Furey TS, Roskin KM, Pringle TH, Zahler AM et al. (2002). The human genome browser at UCSC. Genome Res 12: 996–1006.
Li C, Chen L, Chen J . (2002). DNA damage induces MDMX nuclear translocation by p53-dependent and -independent mechanisms. Mol Cell Biol 22: 7562–7571.
Lowe SW, Sherr CJ . (2003). Tumor suppression by Ink4a-Arf: progress and puzzles. Curr Opin Genet Dev 13: 77–83.
Marine JC, Jochemsen AG . (2005). Mdmx as an essential regulator of p53 activity. Biochem Biophys Res Commun 331: 750–760.
Migliorini D, Danovi D, Colombo E, Carbone R, Pelicci PG, Marine JC . (2002). Hdmx recruitment into the nucleus by Hdm2 is essential for its ability to regulate p53 stability and transactivation. J Biol Chem 277: 7318–7323.
Miyashita T, Reed JC . (1995). Tumor suppressor p53 is a direct transcriptional activator of the human bax gene. Cell 80: 293–299.
Momand J, Zambetti GP, Olson DC, George D, Levine AJ . (1992). The mdm-2 oncogene product forms a complex with the p53 protein and inhibits p53-mediated transactivation. Cell 69: 1237–1245.
Montes de Oca Luna R, Wagner DS, Lozano G . (1995). Rescue of early embryonic lethality in mdm2-deficient mice by deletion of p53. Nature 378: 203–206.
Oliner JD, Peitenol JA, Thiagalingam S, Gyuris J, Kinzler KW, Vogelstein B . (1993). Oncoprotein MDM2 conceals the activation domain of tumour suppressor p53. Nature 362: 857–860.
Oren M . (2003). Decision making by p53: life, death and cancer. Cell Death Differ 10: 431–442.
Parant J, Chavez-Reyes A, Little NA, Yan W, Reinke V, Jochemsen AG et al. (2001). Rescue of embryonic lethality in Mdm4-null mice by loss of Trp53 suggests a nonoverlapping pathway with MDM2 to regulate p53. Nat Genet 29: 92–95.
Ramos YF, Stad R, Attema J, Peltenburg LT, van der Eb AJ, Jochemsen AG . (2001). Aberrant expression of HDMX proteins in tumor cells correlates with wild-type p53. Cancer Res 61: 1839–1842.
Raver-Shapira N, Marciano E, Meiri E, Spector Y, Rosenfeld N, Moskovits N et al. (2007). Transcriptional activation of miR-34a contributes to p53-mediated apoptosis. Mol Cell 26: 731–743.
Rozen S, Skaletsky H . (2000). Primer3 on the WWW for general users and for biologist programmers. Methods Mol Biol 132: 365–386.
Shvarts A, Steegenga W, Ritecon N, Dekker P, Bazuine M et al. (1996). MDMX: a novel p53-binding protein with some functional properties of MDM2. EMBO J 15: 5349–5357.
Tarasov V, Jung P, Verdoodt B, Lodygin D, Epanchintsev A, Menssen A et al. (2007). Differential regulation of microRNAs by p53 revealed by massively parallel sequencing: miR-34a is a p53 target that induces apoptosis and G1-arrest. Cell Cycle 6: 1586–1593.
Toledo F, Wahl GM . (2006). Regulating the p53 pathway: in vitro hypotheses, in vivo veritas. Nat Rev Cancer 6: 909–923.
Vousden KH, Lu X . (2002). Live or let die: the cell's response to p53. Nat Rev Cancer 2: 594–604.
Yamasaki L . (2003). Role of the RB tumor suppressor in cancer. Cancer Treat Res 115: 209–239.
Acknowledgements
We thank members of the Berberich laboratory for their insightful discussions. This work was supported by NIH CA66430 (to SJB).
Author information
Authors and Affiliations
Corresponding author
Additional information
Supplementary Information accompanies the paper on the Oncogene website (http://www.nature.com/onc)
Rights and permissions
About this article
Cite this article
Markey, M., Berberich, S. Full-length hdmX transcripts decrease following genotoxic stress. Oncogene 27, 6657–6666 (2008). https://doi.org/10.1038/onc.2008.266
Received:
Revised:
Accepted:
Published:
Issue date:
DOI: https://doi.org/10.1038/onc.2008.266
Keywords
This article is cited by
-
The miR-34 family in cancer and apoptosis
Cell Death & Differentiation (2010)


