Abstract
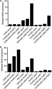
miR-126 is an endothelial-specific microRNA essential for maintaining vessel integrity during development. Its role of tumor angiogenesis in cancer stroma is unclear. This study investigated the temporal and spatial expression and the role of miR-126 in the course of cervical carcinogenesis. miR-126 was found to be mainly expressed in the stromal endothelium of the uterine cervix. This downregulation was recapitulated in a cell coculture model, wherein cross talk of cervical cancer cells and fibroblasts induced a downregulation of miR-126 in human umbilical vein endothelial cells, with consequent increase of tube formation. Coinjection of cancer-associated fibroblasts of human cervix enhanced tumorigenesis of cervical cancer cells, with an increase of microvessel density and dye retention in the tumor vasculature. In association with angiogenesis, host-originated miR-126 in these xenograft tumors was progressively downregulated, whereas supplement of the miR-126 precursor in the coinjection suppressed angiogenesis and tumor growth. A proangiogenic gene adrenomedullin (ADM), which was found to be upregulated in the stroma of cervical cancer and which localized mainly in the blood and lymphatic vessels, was identified as a target of inhibition by miR-126 at the carcinoma in situ-to-invasion stage. The study suggests a cancer stroma cross talk induced repression of miR-126 and upregulation of ADM, and probably other proangiogenic factors, to facilitate angiogenesis and invasion growth of cervical cancer.
This is a preview of subscription content, access via your institution
Access options
Subscribe to this journal
Receive 50 print issues and online access
$259.00 per year
only $5.18 per issue
Buy this article
- Purchase on SpringerLink
- Instant access to the full article PDF.
USD 39.95
Prices may be subject to local taxes which are calculated during checkout








Similar content being viewed by others
References
Bhowmick NA, Moses HL . Tumor-stroma interactions. Curr Opin Genet Dev 2005; 15: 97–101.
Dellas A, Moch H, Schultheiss E, Feichter G, Almendral AC, Gudat F et al. Angiogenesis in cervical neoplasia: microvessel quantitation in precancerous lesions and invasive carcinomas with clinicopathological correlations. Gynecol Oncol 1997; 67: 27–33.
Dobbs SP, Hewett PW, Johnson IR, Carmichael J, Murray JC . Angiogenesis is associated with vascular endothelial growth factor expression in cervical intraepithelial neoplasia. Br J Cancer 1997; 76: 1410–1415.
Guidi AJ, Abu-Jawdeh G, Berse B, Jackman RW, Tognazzi K, Dvorak HF et al. Vascular permeability factor (vascular endothelial growth factor) expression and angiogenesis in cervical neoplasia. J Natl Cancer Inst 1995; 87: 1237–1245.
Cintorino M, Bellizzi de Marco E, Leoncini P, Tripodi SA, Xu LJ, Sappino AP et al. Expression of alpha-smooth-muscle actin in stromal cells of the uterine cervix during epithelial neoplastic changes. Int J Cancer 1991; 47: 843–846.
Orimo A, Gupta PB, Sgroi DC, Arenzana-Seisdedos F, Delaunay T, Naeem R et al. Stromal fibroblasts present in invasive human breast carcinomas promote tumor growth and angiogenesis through elevated SDF-1/CXCL12 secretion. Cell 2005; 121: 335–348.
Urbich C, Kuehbacher A, Dimmeler S . Role of microRNAs in vascular diseases, inflammation, and angiogenesis. Cardiovasc Res 2008; 79: 581–588.
Fish JE, Santoro MM, Morton SU, Yu S, Yeh RF, Wythe JD et al. miR-126 regulates angiogenic signaling and vascular integrity. Dev Cell 2008; 15: 272–284.
Wang S, Aurora AB, Johnson BA, Qi X, McAnally J, Hill JA et al. The endothelial-specific microRNA miR-126 governs vascular integrity and angiogenesis. Dev Cell 2008; 15: 261–271.
Harris TA, Yamakuchi M, Ferlito M, Mendell JT, Lowenstein CJ . MicroRNA-126 regulates endothelial expression of vascular cell adhesion molecule 1. Proc Natl Acad Sci USA 2008; 105: 1516–1521.
Zernecke A, Bidzhekov K, Noels H, Shagdarsuren E, Gan L, Denecke B et al. Delivery of microRNA-126 by apoptotic bodies induces CXCL12-dependent vascular protection. Sci Signal 2009; 2: ra81.
Guo C, Sah JF, Beard L, Willson JK, Markowitz SD, Guda K . The noncoding RNA, miR-126, suppresses the growth of neoplastic cells by targeting phosphatidylinositol 3-kinase signaling and is frequently lost in colon cancers. Genes Chromosomes Cancer 2008; 47: 939–946.
Hamada S, Satoh K, Fujibuchi W, Hirota M, Kanno A, Unno J et al. MiR-126 acts as a tumor suppressor in pancreatic cancer cells via the regulation of ADAM9. Mol Cancer Res 2012; 10: 3–10.
Feng R, Chen X, Yu Y, Su L, Yu B, Li J et al. miR-126 functions as a tumour suppressor in human gastric cancer. Cancer Lett 2010; 298: 50–63.
Tavazoie SF, Alarcon C, Oskarsson T, Padua D, Wang Q, Bos PD et al. Endogenous human microRNAs that suppress breast cancer metastasis. Nature 2008; 451: 147–152.
Sun Y, Bai Y, Zhang F, Wang Y, Guo Y, Guo L . miR-126 inhibits non-small cell lung cancer cells proliferation by targeting EGFL7. Biochem Biophys Res Commun 2010; 391: 1483–1489.
Martinez I, Gardiner AS, Board KF, Monzon FA, Edwards RP, Khan SA . Human papillomavirus type 16 reduces the expression of microRNA-218 in cervical carcinoma cells. Oncogene 2008; 27: 2575–2582.
Lee JW, Choi CH, Choi JJ, Park YA, Kim SJ, Hwang SY et al. Altered MicroRNA expression in cervical carcinomas. Clin Cancer Res 2008; 14: 2535–2542.
Kato H, Shichiri M, Marumo F, Hirata Y . Adrenomedullin as an autocrine/paracrine apoptosis survival factor for rat endothelial cells. Endocrinology 1997; 138: 2615–2620.
Ribatti D, Nico B, Spinazzi R, Vacca A, Nussdorfer GG . The role of adrenomedullin in angiogenesis. Peptides 2005; 26: 1670–1675.
Liu B, Peng XC, Zheng XL, Wang J, Qin YW . MiR-126 restoration down-regulate VEGF and inhibit the growth of lung cancer cell lines in vitro and in vivo. Lung Cancer 2009; 66: 169–175.
Sasahira T, Kurihara M, Bhawal UK, Ueda N, Shimomoto T, Yamamoto K et al. Downregulation of miR-126 induces angiogenesis and lymphangiogenesis by activation of VEGF-A in oral cancer. Br J Cancer 2012; 107: 700–706.
Zhang L, Yang N, Park JW, Katsaros D, Fracchioli S, Cao G et al. Tumor-derived vascular endothelial growth factor up-regulates angiopoietin-2 in host endothelium and destabilizes host vasculature, supporting angiogenesis in ovarian cancer. Cancer Res 2003; 63: 3403–3412.
Bai Y, Bai X, Wang Z, Zhang X, Ruan C, Miao J . MicroRNA-126 inhibits ischemia-induced retinal neovascularization via regulating angiogenic growth factors. Exp Mol Pathol 2011; 91: 471–477.
Kitamura K, Kangawa K, Kawamoto M, Ichiki Y, Nakamura S, Matsuo H et al. Adrenomedullin: a novel hypotensive peptide isolated from human pheochromocytoma. Biochem Biophys Res Commun 1993; 192: 553–560.
Karpinich NO, Hoopes SL, Kechele DO, Lenhart PM, Caron KM . Adrenomedullin function in vascular endothelial cells: insights from genetic mouse models. Curr Hypertens Rev 2011; 7: 228–239.
Nikitenko LL, Fox SB, Kehoe S, Rees MC, Bicknell R . Adrenomedullin and tumour angiogenesis. Br J Cancer 2006; 94: 1–7.
Frede S, Freitag P, Otto T, Heilmaier C, Fandrey J . The proinflammatory cytokine interleukin 1beta and hypoxia cooperatively induce the expression of adrenomedullin in ovarian carcinoma cells through hypoxia inducible factor 1 activation. Cancer Res 2005; 65: 4690–4697.
Karpinich NO, Kechele DO, Espenschied ST, Willcockson HH, Fedoriw Y, Caron KM . Adrenomedullin gene dosage correlates with tumor and lymph node lymphangiogenesis. FASEB J 2013; 27: 590–600.
Iwase T, Nagaya N, Fujii T, Itoh T, Ishibashi-Ueda H, Yamagishi M et al. Adrenomedullin enhances angiogenic potency of bone marrow transplantation in a rat model of hindlimb ischemia. Circulation 2005; 111: 356–362.
Banerji S, Ni J, Wang SX, Clasper S, Su J, Tammi R et al. LYVE-1, a new homologue of the CD44 glycoprotein, is a lymph-specific receptor for hyaluronan. J Cell Biol 1999; 144: 789–801.
Cooley LS, Handsley MM, Zhou Z, Lafleur MA, Pennington CJ, Thompson EW et al. Reversible transdifferentiation of blood vascular endothelial cells to a lymphatic-like phenotype in vitro. J Cell Sci 2010; 123: 3808–3816.
McCall MN, Kent OA, Yu J, Fox-Talbot K, Zaiman AL, Halushka MK . MicroRNA profiling of diverse endothelial cell types. BMC Med Genomics 2011; 4: 78.
Botting SK, Fouad H, Elwell K, Rampy BA, Salama SA, Freeman DH et al. Prognostic significance of peritumoral lymphatic vessel density and vascular endothelial growth factor receptor 3 in invasive squamous cell cervical cancer. Transl Oncol 2010; 3: 170–175.
Zhu N, Zhang D, Xie H, Zhou Z, Chen H, Hu T et al. Endothelial-specific intron-derived miR-126 is down-regulated in human breast cancer and targets both VEGFA and PIK3R2. Mol Cell Biochem 2011; 351: 157–164.
Wang KH, Liu HW, Lin SR, Ding DC, Chu TY . Field methylation silencing of the protocadherin 10 gene in cervical carcinogenesis as a potential specific diagnostic test from cervical scrapings. Cancer Sci 2009; 100: 2175–2180.
Acknowledgements
We thank Ms Yen-Jen Shih for the technical assistance. We also thank Dr Lu-Hai Wang for his comments during the preparation of this manuscript. Ted Knoy is appreciated for his editorial assistance. This study was supported by the National Science Council of the Republic of China, Taiwan (contract number NSC 97-2314-B-303-008-MY3) and by the Buddhist Tzu Chi General Hospital, Hualien, Taiwan (contract number TCRD100-54-01).
Author information
Authors and Affiliations
Corresponding author
Ethics declarations
Competing interests
The authors declare no conflict of interest.
Additional information
Supplementary Information accompanies this paper on the Oncogene website
Supplementary information
Rights and permissions
About this article
Cite this article
Huang, TH., Chu, TY. Repression of miR-126 and upregulation of adrenomedullin in the stromal endothelium by cancer-stromal cross talks confers angiogenesis of cervical cancer. Oncogene 33, 3636–3647 (2014). https://doi.org/10.1038/onc.2013.335
Received:
Revised:
Accepted:
Published:
Issue date:
DOI: https://doi.org/10.1038/onc.2013.335
Keywords
This article is cited by
-
RETRACTED ARTICLE: Cancer-derived exosomal miR-221-3p promotes angiogenesis by targeting THBS2 in cervical squamous cell carcinoma
Angiogenesis (2019)
-
New insights into the regulatory role of microRNA in tumor angiogenesis and clinical implications
Molecular Cancer (2018)
-
MiR-126 in intestinal-type sinonasal adenocarcinomas: exosomal transfer of MiR-126 promotes anti-tumour responses
BMC Cancer (2018)
-
Identification of miRNAs in cervical mucus as a novel diagnostic marker for cervical neoplasia
Scientific Reports (2018)
-
Exosome-derived microRNAs in cancer metabolism: possible implications in cancer diagnostics and therapy
Experimental & Molecular Medicine (2017)


