Abstract
Surfactant deficiency in premature neonates is a major factor in the development of respiratory distress syndrome (RDS), which is still a significant cause of mortality and morbidity. The aim of this study was to test a noninvasive method of administering surfactant as treatment for RDS. The animal model used was the premature neonatal rabbit of 27-d gestation(full-term being 31 d) primed with an initial oropharyngeal dose of surfactant. The animals were divided into three groups that received either no supplemental surfactant (n = 20), undried nebulized surfactant(n = 21), or dried nebulized surfactant (n = 24). Drying of the surfactant solution was undertaken to create a hygroscopic aerosol that would facilitate surfactant deposition in the lower respiratory tract. The group treated with dried surfactant aerosol showed superior survival (66.7%) and less evidence of RDS. The control and undried aerosol groups each had similar low survival rates (23.8 and 45.0%, respectively). The results indicate that a dried, hygroscopic aerosol is an effective means of administration of surfactant to spontaneously breathing premature rabbit neonates.
Similar content being viewed by others
Main
Surfactant deficiency is the major factor contributing to development of the noncompliant lungs that are typical of RDS(1). Although advances in ventilator design and the medical management of RDS have reduced infant mortality related to this disease, it still accounts for significant mortality in premature infants, with one recent trial reporting an associated mortality of over 20%(2). Surfactant was first used clinically to treat RDS in 1980(3), and further trials have confirmed its usefulness in both the prophylaxis and rescue treatment of RDS(4). However, as the administration techniques used clinically require placement of an endotracheal tube, some babies offered a prophylactic treatment will be intubated for this reason alone. As yet there is no suitable method for administration of surfactant to nonintubated babies.
Surfactant is at present almost universally administered as an instilled dose of surfactant solution(5). This method, although effective, introduces excess fluid which may further impair function in a lung already stressed with pulmonary edema. The distribution of surfactant administered in this way may also be nonuniform, leading to regional atelectasis(6, 7).
Another means of introducing therapeutic drugs to the lung, which does not require intubation, is in the form of an aerosol. Aerosol deposition results from the impaction of aerosol particles onto the internal surface of a conducting structure(8, 9). In the lung the site of maximum deposition is dependent on the size of the particle, with small particles having maximum penetration but poor deposition and large particles having poor penetration but large deposition.
Early attempts to administer surfactant as an aerosol were unsatisfactory(10–12). However, recently a report on the use of surfactant administration in aerosol form to ventilated lambs showed that the effects of RDS can be reduced(13). This treatment, if extended to infants, would be desirable as the possibility of treating nonintubated neonates would exist. However, achieving suitable particle size for maximal deposition in the appropriate regions of the lung can be a problem with conventional aerosol administration techniques.
To increase the deposition of a surfactant aerosol, our research used a method developed by Arborelius(14). This involves suspending surfactant in a sodium chloride solution which is nebulized and dried by radiant heat. The small hygroscopic particles produced in this manner have the ability to traverse the upper airways with limited deposition due to their small size. Because of their tendency to gain water and hence increase in size as the particles pass along the respiratory tract, there is an increased probability for deposition in the alveoli.
The aim of this study was to determine whether a dried hygroscopic aerosol can be an effective method of surfactant administration to treat RDS in the premature spontaneously breathing neonatal rabbit.
METHODS
Surfactant preparation. Fresh sheep lungs were lavaged with 0.9% saline. This lavage fluid then underwent several centrifugations to isolate the surfactant in a method similar to that used by Yu et al.(15). The final pellet underwent a lipid extraction process using the method of Bligh and Dyer(16). This was resuspended in 0.45% NaCl, making a final surfactant concentration of 30 mg mL-1. This solution was then tested in a bubble surfactometer and was found to have an equilibrium surface tension of 22.5 dynes cm-1 [this being similar to natural surfactant prepared by other investigators(15, 17, 18)].
Animal model. New Zealand White rabbit fetuses (n = 65) of 27-d gestation (full-term being 31 d) were the subjects for this experiment. Untreated pups of this gestation die within 1 h of age, with a mortality of approximately 70-80% within the first 15 min(19–23), and this was considered an insufficient time for aerosol deposition to occur. An initial oropharyngeal dose of surfactant was given to all rabbit pups: this extends survival beyond 15 min to allow time for the aerosol to be inhaled and take effect. This model was described by Metcalfe et al.(19) and was chosen because it is a model of partial surfactant deficiency with a low early but high late (after 1 h) mortality. The experimental work was approved by the Animal Ethics Committee of the University of Otago.
Experimental groups. The three treatment groups were randomly assigned using Latin squares. Each treatment group had two individuals per litter. Six pups were used in each litter with the delivery time of the last pup being approximately 5 min after the doe's death. Due to variable litter size the treatment groups contained unequal numbers. There was one control group and two treatment groups. The pups in the control group (group 1,n = 20), received only the initial instilled surfactant and were then placed in humid chambers, each receiving 80% oxygen and 20% nitrogen at a flow rate of 150 mL min-1 at 37°C. The other two groups received the same gas flow and either an undried surfactant aerosol at 37°C (group 2, n = 21), or a dried surfactant aerosol 37°C (group 3,n = 24) via the apparatus described below.
Nebulizer and drying apparatus. An ultrasonic nebulizer(Pulmosonic Model, DeVilbiss Co., Somerset, PA) with a modified tower was used to create the initial aerosol. The tower was 10 cm in height and 3.5 cm in diameter. The inflow to the tower was from the base, with the outflow at the apex. This facilitated the movement of small aerosol particles to the outflow of the tower due to the gas flow (600 mL min -1), while allowing larger particles to fall back to the well.
The outflow of the nebulizer served both dried and undried pup groups, with each pup receiving the aerosol in a gas flow of 150 mL min-1. The undried group received the aerosol directly from the nebulizer. The dried group, however, received the aerosol once it had passed through a drying tube. This drying chamber consisted of a glass tube 50 mm in diameter and 220 mm long (a modification of the design of Arborelius(14)). The aerosol inside the tube was heated to approximately 55°C by radiant heat from an incandescent heating lamp. From the drying chamber the particle stream then flowed directly to the treatment chambers where the pups were able to inhale the aerosol. Samples of condensed aerosol and un-nebulized surfactant solution were taken, and surface tension was measured on a pulsating bubble surfactometer to determine whether the nebulization and/or drying chamber had any effect on surfactant function.
Particle sizing. To evaluate the size distribution of the dried aerosol, samples were collected on aluminum electron microscope stubs. These were examined and photographed at a magnification of 2000 times in a scanning electron microscope at 6 kV. The electronmicrographs were then placed upon a diffuse light box, and a single frame image was captured using a Panasonic WV-F200 series CAD camera and a MATRIX MVP-AT/NP analog to digital card. Processing was carried out using a Compaq 80386 AT computer at 25 MHz with SAMBA software. The resultant digital image was analyzed, and frequency of size ranges was calculated.
Experimental procedures. On the 27th day of gestation(±4 h) does (n = 14) were killed with a lethal i.v. injection of 60 mg kg-1 sodium pentobarbital. This results in rapid respiratory arrest, severe myocardial depression, and rapid death, thus limiting the transfer of anesthetic to the fetus. Promptly after the doe's death the fetuses were delivered by cesarean section. The umbilicus of each fetus was cauterized before detachment from the placenta. From this point on the fetuses are referred to as pups. During delivery each pup had its abdomen digitally depressed to prevent it from taking the first breath. The pharynx was then aspirated of pulmonary fluid by syringe. After aspiration, a dose of 50 μL of surfactant solution (30 mg mL-1 phospholipid) was delivered to the oropharynx through an automatic pipette. Abdominal compression then ceased, allowing the pup to breathe spontaneously and inhale the surfactant solution(19), and the pups were placed in the treatment chambers.
The treatment chambers consisted of six large, clear cylinders open at one end. Large rubber bungs, with inflow and outflow tubing, were placed in the opening. The inflow tubes had rubber cones positioned over the muzzle of the pups. Pups were placed on padded trays in the chambers over soda lime and warm moist cotton wool to maintain a humid carbon dioxide-free environment within the chamber. All of the experimental apparatus was situated in a cabinet maintained at 37°C with a thermostatically controlled fan heater to keep the pups' rectal temperature at 39 (±0.5)°C. This also ensured that the temperature of the treatment chambers, the gas being breathed, and the nebulized surfactant did not drop below 37°C.
Once all of the pups had been placed in their chambers and had their nose cones positioned, the nebulizer (filled with 10 mL of 15 mg mL-1 surfactant solution) was turned on, and the assessment of survival began. Pups were deemed to be surviving if their breathing rate was 6 breaths/min or greater(19). Survival assessment was carried out every 15 min for 4 h (4 h duration was chosen as beyond this time animals would begin to succumb due to factors other than respiratory failure). During this time the nebulizer had 3 mL of surfactant solution added hourly to compensate for the loss of solution in the production of the aerosol. At the end of this section of the experiment surviving pups were killed using an intraperitoneal dose of 120 mg kg-1 sodium pentobarbital.
Static compliance. After death the trachea of the pup was cannulated using a blunted 18 gauge needle. Compliance measurements were performed on degassed lungs using a method similar to that of Hida et al.(24). The lungs were initially degassed by placing the pups in a vacuum chamber where a pressure of 20 torr was maintained for 15 s. The pup was sealed within a plethysmograph (maintained at approximately 37°C) from which volume change was recorded using a pressure transducer(Grass volumetric pressure transducer model PT 5 A, Grass instruments Co., Quincy, MA). The tracheal cannula was attached via a tube sealed within the end of the plethysmograph to a syringe and a differential pressure transducer that recorded the change in transmural pressure (Statham pressure transducer model P23, Statham Medical Instruments, Inc. Puerto Rico).
The lungs were inflated stepwise, in increments of 5 cm H2O using the syringe, while recordings of the change in differential pulmonary pressure and the change in volume were made. After each step the lungs were allowed to equilibrate for 20 s. The pressure was increased until steady at 35 cm H2O. At this point deflation began, again stepwise, in 5 cm H2O drops until the relative pressure was zero. This was done once and was not repeated as further inflation and deflation could have resulted in gas trapping which would not be eliminated using the vacuum chamber.
Data analysis. The survival data for each group was pooled for statistical analysis. Kaplan-Meier survival curves were estimated for each treatment group. These were compared with the log rank test to find any significant difference between the groups. All values are presented as mean± SE unless otherwise stated.
The data obtained from the pressure-volume curves was combined according to treatment groups. The inflation and deflation curves were compared using the method of Zerbe(25). This method has the advantage of making no assumptions about the shape of the curve. Post hoc procedures can be used to compare groups or shapes of the response curve. Compliance data were also pooled according to survival or nonsurvival and analyzed accordingly.
RESULTS
Aerosol characterization. The particles had a mass median diameter of 0.44 μm. [This indicates an initial (before drying) particle diameter of 2.40 μm.] The aerosolized solution and raw surfactant solution showed no difference in surface tension characteristics. Equilibrium surface tension of the surfactant after drying (17 ± 3 dyne cm-1) was similar to the undried preparation (17 ± 1 dyne cm-1).
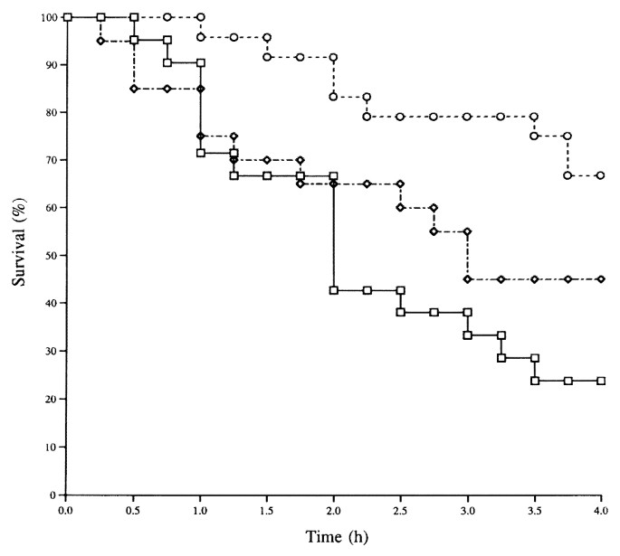
Survival. Directly after delivery, all pups exhibited some degree of cyanosis which resolved within 15 min in the 80% O2 incubating chambers. The weights of the animals by treatment group were: group 1 (control), 35.0 ± 2.1 g; 2 (undried aerosol), 35.8 ± 2.1 g; and 3 (dried aerosol), 34.6 ± 1.8 g. The treatment group survival data showed that groups 1, 2, and 3 had survival rates after 4 h of 23.81 ± 9.29% (n = 21), 45.00 ± 11.12% (n = 20), and 66.67± 9.62% (n = 24), respectively (Fig. 1). Kaplan-Meier survival analysis revealed a significant difference between treatment groups 3 and 2 (p < 0.01) but no difference between groups 1 and 2 (p > 0.05).
Compliance. The analysis of static compliance curves according to treatment group showed mean compliances of 1.12 ± 0.11, 1.73± 0.11, and 1.8 ± 0.13 mL kg-1 cm H2O-1 for treatment groups 1, 2, and 3, respectively. For all curves, both inflation and deflation, there was no significant difference between groups (p> 0.05). When the data were analyzed according survival, the mean compliance of animals that died within 4 h was 1.49 ± 0.10 mL kg-1 cm H2O-1 (n = 15). The animals surviving after 4 h had a mean compliance of 1.96 ± 0.17 mL kg-1 cm H2O-1 (n = 18) (Fig. 2). There was a significant difference in pressure-volume curves in the animals that died compared with those that were still alive at 4 h (p < 0.05).
DISCUSSION
The poor survival rate (23%) seen in the group receiving no nebulized surfactant is similar to that reported by Metcalfe et al.(19), confirming this as a model of partial surfactant treatment in a spontaneously breathing premature animal. Survival rates for the animals in group 1 (control) and 2 (undried aerosol) were not significantly different. This suggests that the amount and/or rate of surfactant deposition in group 2 was not sufficient to prevent demonstrable changes in survival.
Survival of group 3 pups (dried nebulized) was greater than those in group 2 (undried nebulized). This shows that the dried aerosol preparation was effective in delivering sufficient surfactant rapidly enough to ameliorate the effects of RDS and prevent death. The fact that the administration of dry nebulized surfactant results in significant improvement in survival suggests that this form of treatment is superior in ensuring deposition of surfactant into the lower respiratory tract.
The pulmonary compliance of those animals that survived was significantly higher than those that died. This indicates that survival is directly related to compliance and that other complications of prematurity were not responsible for mortality. No significant difference in compliance was observed between treatment groups; this was due to a high variability of compliance within each group.
There is current controversy(26, 27) as to the effect of endogenous surfactant (any surfactant already in the airway and alveoli) upon the spreading of instilled and aerosolized surfactant. Grotberget al.(27) suggest that aerosolized delivery may be preferable to instilled surfactant delivery where there is already a significant amount of surfactant in the lungs. This controversy is far from over, and as our work does not compare two methods of delivery, it does not provide an answer. In the meantime it is suggested that aerosolized surfactant may show the most promise in models of mild or partial surfactant deficiency.
Our research shows that a surfactant aerosol, when administered as a dried(hygroscopic) preparation, can decrease the mortality that results from partial surfactant deficiency in the premature rabbit neonate. Furthermore, this dried aerosol preparation can be delivered via a mask and spontaneously inhaled with sufficient deposition in the appropriate regions of the lung to decrease the morbidity associated with RDS. This raises the possibility that surfactant can be administered to infants as a prophylactic or early rescue treatment for RDS without the need for intubation. Undried nebulized surfactant may also have a positive effect in reducing mortality and improving lung compliance, as indicated by the trend in survival, although in this experiment the difference was not significant. Further experimentation is required to determine the most effective means of preparation and drying of the treatment aerosol in conjunction with studies of its regional deposition.
Abbreviations
- RDS:
-
respiratory distress syndrome
References
Avery ME, Mead J 1959 Surface properties in relation to atalectasis of the fetus and newborn child. Am Dis Child 97: 517–523.
The OSIRIS Collaborative Group 1992 Early versus delayed neonatal administration of a synthetic surfactant-the judgment of OSIRIS. Lancet 340: 1363–1369.
Fujiwara T, Chida T, Watare Y, Maeta H, Morita T, Abe T 1980 Artificial surfactant therapy in hyaline membrane disease. Lancet 12: 55–59.
Yee WFH, Scarpelli EM 1991 Surfactant replacement therapy. Pediatr Pulmonol 11: 65–80.
Merrit TA, Hallman M, Vaucher YE, Berry C, Jarvenpaa A-L 1988 Clinical response to human surfactant. In: Lachmann B (eds) Surfactant Replacement Therapy. Springer-Verlag, New York, pp 143–157.
Adams FH, Towers B, Osher AB, Ikegami M, Fujiwara T, Nozaki M 1978 Effects of tracheal instillation of natural surfactant in premature lambs. I. Clinical and autopsy findings. Pediatr Res 12: 841–848.
Ikegami M, Jobe A, Jacobs H, Jones SJ 1981 Sequential treatments of premature lambs with artificial surfactant and natural surfactant. J Clin Invest 68: 491–496.
Gonda I 1990 Aerosol for delivery of therapeutic and diagnostic agents to the respiratory tract. Crit Rev Ther Drug Carrier Syst 6: 273–313.
Scherer PW, Haselton FR, Hanna LM, Stone DR 1979 Growth of hygroscopic aerosols in a model of bronchial airways. J Appl Physiol 47: 544–550.
Cameron D, Clay M, Silverman M 1990 Evaluation of nebulisers for use in neonatal ventilator circuits. Crit Care Med 18: 866–870.
Chu J, Clements JA, Cotton EK, Klaus MH, Sweet AY, Tooley WH 1967 Neonatal pulmonary ischaemia. Pediatrics 40: 709–781.
Microaerosol administration of syntheticβ,γ-dipalmitoyl-L-α-lecithin in the respiratory distress syndrome: a preliminary report. Can Med Assoc J 90: 55–57.
Lewis JF, Ikegami M, Jobe AH, Tabor H 1991 Aerosolized surfactant treatment of preterm lambs. J Appl Physiol 70: 869–876.
Arborelius M 1982 Generation of a microaerosol suitable for deposition in the peripheral airways. Eur J Respir Dis ( Suppl 179): 63: 19–27
Yu S, Harding PGR, Smith N, Possmayer F 1983 Bovine pulmonary surfactant: chemical composition and physical properties. Lipids 18: 522–529.
Bligh EG, Dyer WJ 1959 A rapid method of total lipid extraction and purification. Can J Biochem Physiol 37: 911–917.
Enhorning G 1977 Pulsating bubble technique for evaluating pulmonary surfactant. J Appl Physiol 43: 198–203.
Mercurio M, Fiascone JM, Lima DM, Jacobs HC 1989 Surface tension and pulmonary compliance in premature rabbits. J Appl Physiol 66: 2039–2044.
Metcalfe IL, Pototschnik R, Burgoyne R, Enhorning G 1982 Lung expansion and survival in rabbit neonates treated with surfactant extract. J Appl Physiol 53: 838–843.
Metcalfe IL, Burgoyne R, Enhorning G 1982 Surfactant supplementation in the preterm rabbit: effects of applied volume on compliance and survival. Pediatr Res 16: 834–839.
Wallin A, Burgoyne R, Enhorning G 1977 Oxygen consumption of the newborn rabbit treated with pulmonary surfactant. Biol Neonate 31: 245–251.
Enhorning G, Grossmann G, Robertson B 1973 Pharyngeal deposition of surfactant in the premature rabbit fetus. Biol Neonate 22: 126–132.
Enhorning G, Grossman G, Robertson B 1973 Tracheal deposition of surfactant before the first breath. Am Rev Respir Dis 107: 921–927.
Hida W, Lamm WJE, Hilderbrandt J 1984 Gas trapping in excised rabbit lungs depends on volume history and method of degassing. J Appl Physiol 56: 596–601.
Zerbe GO 1979 Randomization analysis of the completely randomized design extended to growth and response curves. J Am Stat Assoc 74: 215–221.
Espinosa FF, Shapiro AH, Fredberg JJ, Kamm RD 1993 Spreading of exogenous surfactant in an airway. J Appl Physiol 75: 2028–2039.
Grotberg JB, Halpern D, Jensen OE 1995 Interaction of exogenous surfactant: spreading-rate effects. J Appl Physiol 78: 750–756.
Acknowledgements
The authors thank Dr. T. Nicholas, Physiology Department, Flinders Medical Centre, South Australia, for measurements of dynamic surfactant function using the pulsating bubble surfactometer and S. Williams, Biomedical Statistician, Otago Medical School, for help with statistical analysis.
Author information
Authors and Affiliations
Rights and permissions
About this article
Cite this article
Ellyett, K., Broadbent, R., Fawcett, E. et al. Surfactant Aerosol Treatment of Respiratory Distress Syndrome in the Spontaneously Breathing Premature Rabbit. Pediatr Res 39, 953–957 (1996). https://doi.org/10.1203/00006450-199606000-00005
Received:
Accepted:
Issue date:
DOI: https://doi.org/10.1203/00006450-199606000-00005
This article is cited by
-
Intratracheal atomized surfactant provides similar outcomes as bolus surfactant in preterm lambs with respiratory distress syndrome
Pediatric Research (2016)
-
Acute and sustained effects of aerosolized vs. bolus surfactant therapy in premature lambs with respiratory distress syndrome
Pediatric Research (2013)




