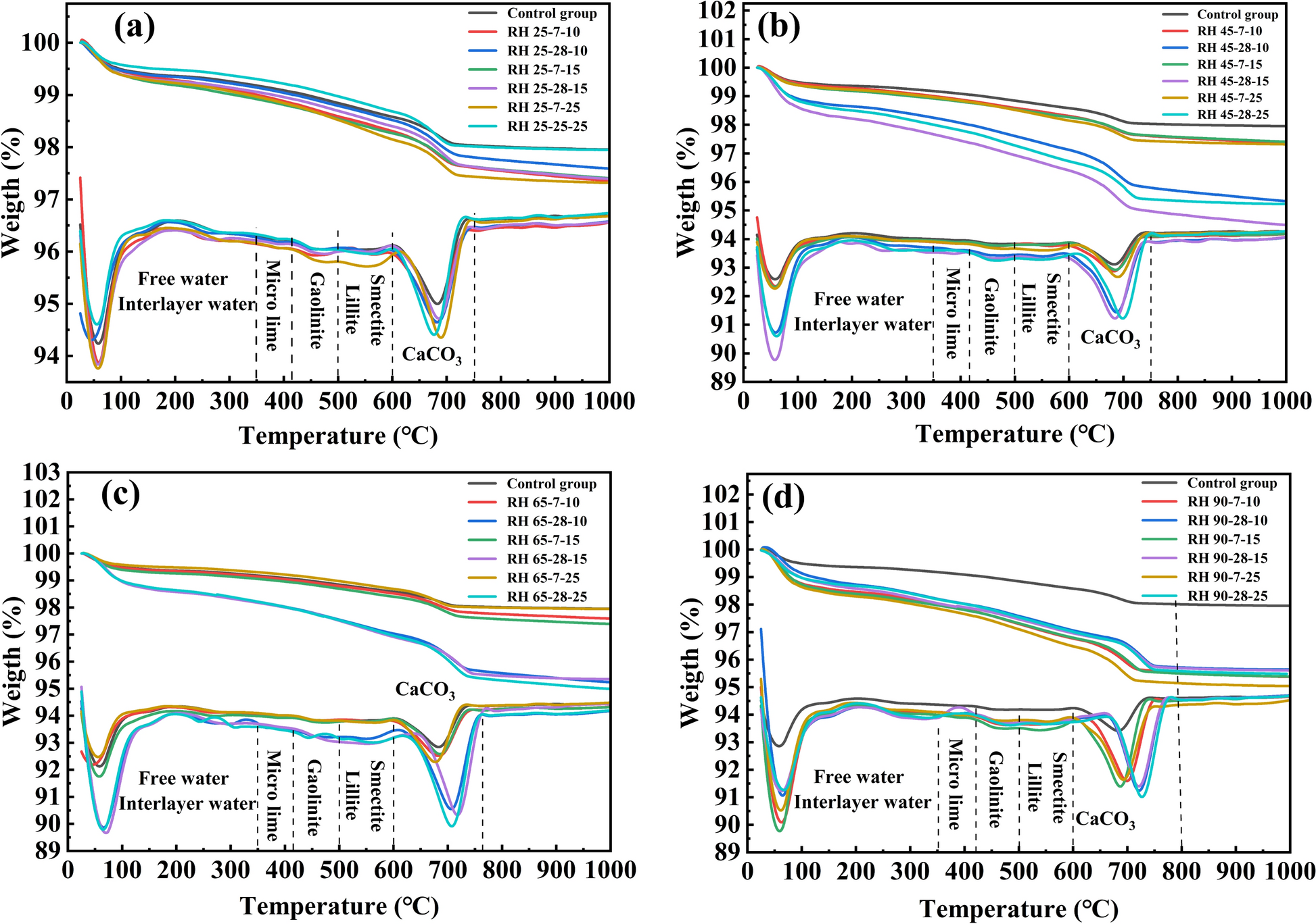
Fig. 12

TGA and DTG curves, CaCO3, gel hydrate mass loss percentage of samples with different humidity and concentration after curing for 7/28 days. a RH 25%, b RH 45%, c RH 65%, d RH 90%

TGA and DTG curves, CaCO3, gel hydrate mass loss percentage of samples with different humidity and concentration after curing for 7/28 days. a RH 25%, b RH 45%, c RH 65%, d RH 90%