Abstract
Historic timber lounge bridges are precious architectural heritages. But they are sensitive to fire. In order to obtain an adequate understanding of the fire vulnerability of historical timber lounge bridges for their better conservation, this paper proposes a framework based on experiment and computational fluid dynamics (CFD) analysis. Dengyun Bridge, a typical timber lounge bridge with cantilever beams, was chosen to carry out study on the fire development process and fire risk assessment. Firstly, the structural form and fire loads of the bridge were obtained by conducting on-site survey, and then a complex pyrolysis model of ancient wood was established in the Fire Dynamic Simulator (FDS) according to the pyrolysis characteristic of the ancient wood replaced from the bridge during its renovation. Secondly, the fire development process in Dengyun Bridge was simulated and four crucial fire events were defined. Finally, the comprehensive fire risk index for the Dengyun Bridge under those fire events was calculated by applying the Analytic hierarchy process (AHP) and Entropy method, and some mitigation and prevention strategies were discussed accordingly. The obtained results indicated that the flashover point was a boundary of fire development. After the flashover, the comprehensive fire risk index increased and reached its peak value rapidly. In the 1084 s (peak heat release rate), the comprehensive fire risk index was about 1.7 times of that in 847 s (flashover point). Mitigation strategies, such as the flame-retardant treatment and water-mist extinguishing system, were proved to be effective to retard the developed fire. The results of this study can provide a scientific basis for fire risk assessment and conservation of inherited timber lounge bridges.
Similar content being viewed by others
Introduction
Timber lounge bridges were one of the most common types of bridges in ancient China, which were constructed on the top of some cantilever beams or woven bracing beams. These special structures were significantly different from the Western bridges, thus occupying an important position in the cultural heritage. During the service process, wood components are influenced by decay, worms and cracks [1,2,3,4], leading to the degradation of their mechanical properties. Besides, due to natural and human factors, such as floods, typhoons, earthquakes, and fires, the number of ancient timber lounge bridges is continuously decreasing every year. In recent years, reports on timber lounge bridge fires have been frequent. As shown in Fig. 1, Qianjiang wind and rain bridge (Chongqing province) was destroyed due to a big fire in 2013. Buyue Bridge, constructed in 1502, was burned down in 2019. Wanan Bridge, the longest timber lounge bridge, collapsed during a sudden fire in 2022. Based on the background, fire poses great threat to timber structures, especially timber bridges. In order to protect these precious architectural heritages. It is essential to understand the fire mechanism in historic timber lounge bridges.
Previous studies mainly focused on the burning characteristics of wood components, such as beams, columns, panels, and mortise-tenon joints [5,6,7,8], including the charring rate, fire resistance, and the limit-bearing capacity [9,10,11]. Due to the release of terpenes, the combustion property of ancient wood differs considerably from that of fresh wood [12]. However, most of the studies were about fresh wood, only a few scholars paid attention to ancient wood with different damages. Song et al. [13] developed an elastic damage constitutive model for wood subjected to elevated temperature and conducted full-scale experiments to study the fire resistance of traditional timber mortise-tenon joints with service damage. Zhao et al. [14] examined the combustion heat release of naturally aging wood (elm, pine, and aspen) through DSC, and found that aged wood was more susceptible to burning than fresh wood. The studies mentioned above provide knowledge about the burning characteristics of wooden components from the material level. However, fire data from other levels are also needed to understand the fire development process in historic timber lounge bridges.
Currently, numerical simulation provides another approach to obtaining fire data. Zhang et al. [15] used Fire Dynamic Simulator (FDS) to study the fire development process in ancient timber buildings and provided control strategies according to their assessment of fire risk. Hu et al. [16] carried out a full-scale fire experiment in a timber-based compartment and used FDS to validate the experimental results. They found that the characteristics of fire events in FDS were consistent with the experimental results, while there was a time deviation between the two processes. Zhang et al. [17] simulated hundreds of design conditions by FDS, and established a temperature–time model, which can accurately predict the flashover induction time in large-space timber structures. Due to the complexity of the simulation parameters, the FDS results are not entirely accurate to some extent. However, FDS is still used to predict the trend of fire development and help us to explain the fire phenomenon. Besides, we can also connect FDS with other software (Abaqus, Ansys, Revit, etc.) for Further research (fire risk assessment, structural safety assessment, fire evacuation decision etc.).
With increasing awareness of conservation, more scholars have focused on fire risk assessment for timber architectural heritages [15, 18,19,20,21], which can help in deciding fire prevention and extinguishing strategies. The current fire regulations are not suitable for architectural heritages, especially timber lounge bridges, which are usually long and narrow, and have high fire load density. It is necessary to develop a fire risk assessment method for timber lounge bridges. The traditional fire risk assessment includes both qualitative and quantitative methods. The qualitative methods usually explain and describe the fire risk through non-quantitative ways [22]. On the contrary, the quantitative methods, such as the analytic hierarchy process (AHP) and fuzzy comprehensive evaluation, evaluate the fire risk based on measurable values. For example, Cui et al. [23] combined AHP with the results of the cone calorimeter test and assessed the fire hazards of four types of wood materials used in timber structures, based on 10 selected combustion parameters (such as total heat release, smoke production rate, and time to ignition). However, both qualitative and quantitative methods are inevitably dependent on the subjective judgement of experts, generating inaccuracy of the assessment results. Therefore, how to assess fire risks in timber lounge bridges more accurately and objectively needs to be resolved.
In summary, according to previous studies, there isn’t a generic method for fire risk assessment of historic timber lounge bridges considering fire development process. Experimental analysis and CFD models can be used to obtain precious fire data, which are difficult to obtain in real life through any measurement process. The results of this research would be able to assist in protecting timber lounge bridge heritages worldwide.
Research aims
The main aim of this study is to understand the fire development process and conduct a fire risk assessment of historic timber lounge bridges. Due to the high cost of full-scale fire experiments, this study performed an experimental and CFD-based analysis which was low-cost and efficient. The material parameters were tested to ensure the accuracy of the simulation, and the AHP-entropy method was used to determine the weight of each index and calculate the comprehensive fire risk index of different fire events. Based on CFRI, some mitigation and prevention strategies were proposed and validated. The specific process of the framework is shown in Fig. 2.
Materials and methods
Field survey
Structure and features of Dengyun Bridge
In this work, the DengYun Bridge was considered as an example for understanding the fire development process and assessing its fire risk. It is a historic timber lounge bridge, located in Taishun, Wenzhou City, Zhejiang Province, China. It was built in the Ming Dynasty (1502), more than 500 years ago. Dengyun Bridge is a typical timber lounge bridge with cantilever beams, and now is a key cultural relic under the preservation at provincial level. As shown in Fig. 3, the bridge is 40 m long, 6 m wide and 5.1 m high, with one opening on each end. 16 frames compose of the main structure of the bridge. The material of the structural components is wood which includes beams, columns, purlins, rafters, etc. The rood form is pitched roof with an angle of 24°. Two sides of the bridge are covered with wood boards (which are called wind and rain boards) to ensure its closure and security. Under the bridge, there is a stone pier called Cutwater, which helps to reduce the impact of the water.
Fire loads of Dengyun Bridge
Dengyun Bridge was constructed with a large amount of wood, resulting in high fire loads per unit volume. In particular, the organic content increases when wood is decayed, making it more prone to fire hazards [14]. Furthermore, during the service, wood components exhibit varying degrees of damage, such as cracking, wormholes, and tilting, leading to a decline in structural bearing capacities. In the event of a fire, the structure may collapse within a very short period, posing significant risks to life and property. In order to realistically simulate a fire scenario in Dengyun Bridge, ancient wood samples replaced during the renovation of the bridge were collected and their material properties such as moisture content, density and combustion characteristics, etc. were tested. The heat of combustion of Dengyun Bridge were calculated by Eq. (1):
where H is the heat of combustion of wood, P is the density of wood and C is the calorific value of wood, which was taken as 17.5 MJ/kg [16]. The fire loads of the bridge were calculated as shown in Table 1.
Experimental methods
Thermogravimetric test
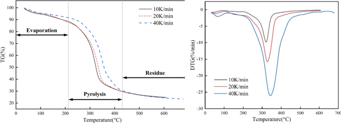
The ancient timber samples sourced from Dengyun Bridge were tested using a thermogravimetric analyzer (TG209 F3, German). The samples were prepared in powder form (Fig. 4), each sample weighing 5 mg. The experimental temperature range was set from 30 to 600 °C under a nitrogen environment. In order to simulate the pyrolysis characteristics of the material during slow, common, and rapid combustion, three heating rates of 10 K/min, 20 K/min, and 40 K/min were employed, respectively. Based on the experimental results, the TG (thermogravimetric) and DTG (derivative thermogravimetric) curves of the historical timber were plotted to calculate the pyrolysis parameters of ancient wood.
Kinetic analysis
According to the results of the TG test, the pyrolysis characteristics of ancient wood can be calculated through kinetic analysis.
The reaction rate of a solid material can be expressed by Eq. (2).
where a is the mass loss rate at time t obtained from the TG test, k is the reaction rate constant, and f(a) is the reaction function related to a. The reaction rate constant k is given by the Arrhenius equation as expressed by Eq. (3).
where E is the activation energy, A is the pre-exponential factor, and R is ideal gas constant (8.31 J mol−1 K−1).
Equation (2) can be written in logarithmic form as expressed by Eq. (4).
From Eq. (3), it can be found that the curve of ln k and 1/T is linear with − E/R as the slope and ln A as the intercept of the curve. However, when the pyrolysis reaction of materials becomes relatively complex, Eq. (3) is no more a straight line, and E and A obtained by using the Arrhenius equation are not accurate. In this paper, the Coats-Redfern (CR) method [24] was used to calculate the activation energy of wood, which was more accurate in calculating E and A. The CR method can be expressed by Eq. (5).
where G(a) is the integral function of conversion, and β is the heating rate, which is 10 K/min, 20 K/min, 40 K/min in this paper. Table 2 summarizes the frequently-used G(a) in kinetic analysis [25].
Numerical methods
Brief introduction to FDS
This paper used Fire Dynamics Simulator (FDS 6.7.9) to simulate the fire development in Dengyun Bridge. FDS is a computational fluid dynamics (CFD) software developed by National Institute of Standards and Technology (NIST) for fire simulation, using Large Eddy Simulation (LES) model to treat the turbulence in fire [26]. Many studies were conducted to verify the accuracy of FDS. In the numerical simulation process, FDS follows the conservation equations of mass (Eq. 6), momentum (Eq. 7), and energy (Eq. 8), and also the equation of State for ideal Gas (Eq. 9).
where ρ is the density, t is the time, u is the velocity vector, p is the pressure, f is the external force vector, τij is the viscous stress tensor, h is the sensible enthalpy, \(\dot{q}^{\prime\prime\prime}\) is the convective heat transfer source term of the fuel, q is the heat flux vector, Φ is the dissipative function, R is the ideal gas constant, T is the temperature, and M is the molecular weight of the gas mixture.
FDS modeling
Based on the field survey, a model of Dengyun Bridge was established. The model dimensions were consistent with the real ones, with slight adjustments in some areas to meet the requirements of the FDS grid. The computational domain comprised the bridge body section (I) and cantilever beam section (II), excluding the piers of the bridge, as shown in Fig. 5. The dimensions of Section I were 42 m × 9.4 m × 5.4 m and those of Section II were 24.9 m × 9.4 m × 1.4 m with open grid boundaries. The fire source is assumed to be located on a table in the center of the bridge to simulate the burning scenario of paper money, Buddha statues, incense, which commonly seen during sacrificial ceremonies. The most common growing fire model: “t2 fire” was used to define the relationship between rate of fire growth and time. The heat release rate Q of “t2 fire” is given by Formula (10):
where a is the fire growth coefficient and t is the time at which the heat release rate reaches a maximum value. According to GB/T 31593.4-2015, Q is set to 1 MW/m2 and a is set to 0.047. Then the time t can be obtained, which is about 146 s. The materials of all the parts of the bridge were considered the same, and the parameters of the reaction kinetics of wood were obtained according to the TG test. The ambient temperature was set to 20 °C.
FDS grid
In order to ensure the accuracy of the simulation results, it is necessary to select an appropriate grid size. The FDS User Guide recommends that the grid size δx should be 1/4 to 1/16 of the characteristic diameter of the fire source D* [27], which can be expressed by Eq. (11).
where Q is the heat release rate (HRR) of the fire source, ρ0 is the gas density, cp is the specific heat, \(T_{0}\) is the ambient temperature, and g is the acceleration due to gravity. According to the obtained results, the range of δx was 7.5 cm to 30.3 cm. However, the thickness of the wood boards on the side of the bridge was 5 cm. In order to ensure the accuracy of the simulation results, the grid size of the wood board section was individually set to 5 cm. The FDS grid independence analysis was shown in Fig. S1, it can be observed that as the grid size approached 0.1 m, the HRR curves became more consistent. Therefore, the grid size of the wood board section was set to 5 cm and the grid size for other areas was set as 0.1 m. The total number of grids in the whole computational domain was 1.72 million.
Measurement points
The measurement points were set in the middle of each lounge room, and their height was set as 1.5 m. The measured items included temperature, heat flux density, smoke density, visibility, CO concentration and CO2 concentration. Besides, a series of thermocouples were installed on the roof. The specific arrangement of the measurement points is shown in Fig. 6.
Fire risk assessment methods
The analytic hierarchy process (AHP) proposed by Saaty [28] is a comprehensive evaluation method, whose basic idea is to form a multi-level evaluation system by decomposing and grouping an overall objective into different constituent factors according to their mutual affiliation relationships. Experts are then invited to determine the weight of each index. Ultimately, the problem is reduced to the ranking of the relative merits of the lowest level (influencing indexes) with respect to the highest level (overall objective).
Considering that fire risks are caused by multiple factors, and the interactions among different factors are complex. Therefore, the assessment of fire risks of timber lounge bridges neither can be limited to a single aspect, nor they can be assessed separately for different factors. Instead, a comprehensive assessment should be conducted through scientific methods.
This study establishes a fire risk assessment model including the target layer, the criterion layer and the index layer. Firstly, fire risk s of the historic timber lounge bridge was selected as the target layer. Then, the material characteristics, burning hazards, smoke risks and escape factors were divided as the criterion layer. Finally, based the results of the experiment and simulation, 12 parameters were chosen to compose the index layer. The complete assessment model is shown in Fig. 7.
Due to the subjectivity of AHP, it is easily influenced by experts, potentially leading to inaccurate results. Therefore, this work combined the objective weighting method, namely the entropy method [29], with AHP to employ a hybrid method for deriving the weights of various factors and evaluating the fire risks of the Dengyun Bridge. Based on the weighting principles of AHP and entropy method, both subjective and objective weights of fire risk factors for Dengyun Bridge were obtained. Subsequently, the combined weights were calculated using Eq. (12).
where \(w_{i}\) is the combined weight, \(w^{\prime}_{i}\) is the subjective weight, \(w_{i}^{*}\) is the objective weight, n is the total number of factors, and i is the serial number of factors.
Results and discussions
Complex pyrolysis model of ancient wood
The TG and DTG curves of the wood collected from the Dengyun Bridge are shown in Fig. 8. It can be seen that the pyrolysis of the ancient wood can be divided into three parts: (1) In the early pyrolysis stage, the moisture inside the wood evaporates with a relatively slow loss of mass. (2) In the middle pyrolysis stage, the dry wood is pyrolyzed to char and gas with a rapid mass loss. (3) In the late stage of pyrolysis, the residue of wood remains almost without any change in mass. The first two steps of pyrolysis can be expressed as follows:
-
(1)
Moisture → Vapor
-
(2)
Wood → Char + gas
The complex pyrolysis model employed in this study was configured in FDS by considering moisture and residue as integral parts of the material and input mass fraction. The activation energy and pre-exponential factor for the dry wood in the second stage of pyrolysis were calculated using the method outlined in “Experimental methods” section. As reported by Huai et al. [25], the first order of the reaction-order model better reflects the pyrolysis behavior of wood. Therefore, in this study, G(a) = − ln(1 − a) was selected as the reaction mechanism. Taking the heating rate of 40 K/min as an example, where the material’s moisture content is 9.24%, and the residue content is 23.34%, the fitting curve is presented in Fig. S2., with an R2 value of 0.9891, an intercept of 4.7665, and a slope of 10,486.9. At that heating rate, the activation energy (E) of the material was found to be 86.67 kJ/mol, and the pre-exponential factor (A) of 7.05 × 105 per second. The material parameters at other heating rates are shown in Table 3, whose average values (E = 86.59 kJ/mol and A = 7.65 × 105 s−1) were taken for simulations in FDS.
FDS results
Typical fire phenomenon
In the simulation, the fire scenarios of Dengyun Bridge could be separated into multiple stages. In the initial stage, the fire source burned very slowly, with a small amount of emerging smoke only. At 146 s, the fire source reached its maximum heat release rate, at which point the flame height was high, almost reaching the ceiling, accompanied by a large amount of smoke rising, and filling the upper part of the bridge. As the combustible continued to burn, the roof panels were ignited between 400 and 450 s, with the flame exhibiting an outward expanding trend. At around 670 s, the fire spread along the length of the entire roof, and the flame could be observed at the entrance of the bridge. Subsequently, the burning area expanded width-wise, igniting more and more areas, resulting in a rapid increase in the overall HRR of the bridge. At 811 s, almost all the wooden components were ignited simultaneously, indicating that flashover happened in the bridge. At 1084 s, the cantilever beams at the bottom of the bridge were also ignited, HRR reached its peak, and the bridge was at the verge of collapsing, losing its structural capacity. This study focused only on the fire developed before this point. The four crucial fire events are shown in Fig. 9.
As shown above, there were several important points in the fire development in Dengyun Bridge, such as the change in HRR of the fire source, and ignition of the combustible materials. These can be divided into four crucial events; including early fire period (FE1): combustible materials fully combusted (146 s); flame spread period (FE2): flame reached the ceiling and expanded (447 s); flashover period (FE3): wooden boards, beams and columns burned intensely, and flashover happened (811 s); and post-flashover period (FE4): cantilever beams were ignited and HRR reached the peak value (1084 s). The specific fire development process is shown in Fig. 10.
It is noteworthy that due to the complexity of the fire parameters, it is impossible to fully replicate the specific process of fire development in FDS. Hu et al. [16] indicated that the occurrence times of crucial events obtained through FDS tend to precede experimental results a lot. However, the phenomenon observed in FDS was well aligned with experiments, with marginal differences between their dimensionless times. Therefore, the application of FDS to practical engineering can help to reduce experimental costs, understand fire development trends, and identify fire risk factors, which would provide reference for preventive protection against fire in timber lounge bridges.
Changes in fire parameters with time
-
(1)
Temperature change
Figure 11a shows the temperature change curve of Series 1, which is well aligned with the progression of fire events. In the early fire period, the temperature rose gradually until the fire source reached its peak HRR. Between 150 and 450 s, the maximum temperature at each measurement point ranged between 150 and 250 °C as the roof panels were not ignited at that time.
As time passed, the ceiling above the fire source was gradually ignited, accelerating the rate of temperature rise. In a short period, the flame spread across the entire bridge, expanding the combustion area and pushing the temperature to around 300 °C. Then, the temperature rose sharply, and flashover occurred soon. Generally, the closer to the fire, the higher the temperature. However, the temperature change at P1 was not significant. This could be attributed to the fact that the roof above P1 was burned through, allowing heat to mix up with cold air and dissipate into the environment. Series 2, located at a height of 1.5 m, experienced less heat accumulation due to its position. Consequently, the overall temperature was lower compared to that in Series 1. But the trend of change in temperature was similar to that in Series 1.
-
(2)
Gas concentration change
Figure 12 shows the gas concentration change at the height of 1.5 m from the ground as simulated in FDS, including CO, CO2, O2 and smoke. When wood burns, it undergoes complex chemical reactions with the air, consuming a large amount of oxygen and generating various gases, such as CO and CO2, as well as some particulate matters. Generally, when the oxygen concentration falls below 18%, humans feel hypoxic. FDS showed that before the occurrence of flashover, the oxygen concentration at every measurement point was above 18%. After the flashover occurred, the oxygen concentration rapidly dropped to nearly 5%. However, the oxygen concentration at P14 dropped below 18% at around 1000 s. This might be due to the fact that P14 was close to the entrance of the bridge and there were no wood boards covering it on both sides, thus allowing easy inflow of outside air and resulting in a small change in oxygen concentration. The trends of CO, CO2, and smoke concentration were generally similar, maintaining a low level before flashover and then rising almost linearly after flashover occurred. All the measurement points exhibited significant vibration during the post-flashover period, which might be due to the intense flickering of flames after flashover, causing instability in the data. In summary, it could be observed that the gas concentration during the fire in the timber lounge bridge could meet the needs of human survival prior to flashover only. If the fire could be detected and put out before the flashover, the safety of both bridge and people could be guaranteed.
-
(3)
Heat flux and visibility change
Figure 13 shows the heat flux change. Before 400 s, the heat flux at each measurement point was below 2.33 kW/m2. Under this condition, human would feel skin pain, which might last for up to 12 min. During 400 s to flashover, the heat flux increased, but did not exceed 5 kW/m2. However, after flashover, the heat flux density rapidly increased, reaching a maximum of 50 kW/m2. This was consistent with the real fire. Figure 15b shows the visibility change. Due to the long and narrow structure of Dengyun Bridge, smoke could spread easily. Therefore, once the fire source began to burn, the visibility at each measuring point decreased rapidly. By 300 s, the visibility was less than 5 m, thus greatly increasing the difficulty of evacuation and rescue.
Results of fire risk assessment
Weight of fire risk assessment index
Based on the weight calculation principles of AHP and entropy method, the subjective and objective weights of various factors of fire risk of Dengyun Bridge were obtained respectively. As shown in Table 4, the combined weights were calculated by using Eq. (10). It can be seen that in criterion layer, the burning hazards and smoke hazards were the most important factors, with weights of 0.304 and 0.355, respectively. The material characteristic was in the third place with a weight of 0.217. Compared to these three factors, the escape factor was identified as the minimal contributor to the fire risk assessment model with a weight of 0.123 only.
Comprehensive fire risk index
After obtaining the combined weights of each factor, the comprehensive fire risk index for each lounge room was calculated by using Eq. (13) and Eq. (14). The larger the CFRI value, the higher the fire risk.
where \(w_{i}\) is the combined weight of the ith factor, bi is the simulated value of the ith factor obtained from FDS, bmax is the maximum value of bi and the subscript ‘i’ refers to factors corresponding to the Index layer (A1–D3). The specific information about ‘i’ is shown in Table S1. The CFRI values of the measurement points in the four fire events are presented in Table 5.
The total comprehensive fire risk index of Dengyun Bridge is calculated by using Eq. (15).
where CFRIm is the CFRI value of the mth lounge room. The TCFRI values of Dengyun Bridge at different time instants and events are shown in Fig. 14.
As shown above, it could be found that before the occurrence of a flare, both CFRI of the lounge rooms and Dengyun Bridge were in a low level and grew slowly. After the flashover took place, CFRI increased rapidly. From the perspective of whole bridge, in the post-flashover period, CFRI of Dengyun Bridge reached 0.607, which was 1.7 times that of the flashover period. However, Due to the narrow and long structure of the timber bridge, the CFRI of different lounge rooms was diverse. Only considering the CFRI of the whole bridge cannot fully reflect the fire condition of different lounge rooms. For example, when flashover occurred, the CFRI of the four lounge rooms close to the fire source is significantly higher than that of the rest lounge rooms. The CFRI of the outermost lounge room in flashover is 0.290, which is equivalent to that of the bridge when the flame is not ignited (0.286). Therefore, in the process of fire protection design of the timber lounge bridges, the fire risk levels in different areas should be fully taken into account. More attention should be paid to the area that is vulnerable to fire to realize precise protection and cost savings. Besides, during the process of firefighting, the sensor data can be utilized to calculate the CFRI in real time, according to which the most serious fire-damaged area was determined and then rescued immediately so that the architectural heritage can be better saved.
Mitigation and prevention strategies
-
(1)
Flame retardant treatment
Due to the natural combustion of wood, flame retardant (FR) treatment can effectively enhance its fire resistance, increase its ignition temperature, and reduce smoke production. Common FR treatment methods include impregnation treatment and coatings [30, 31]. However, impregnation treatment has a certain impact on their mechanical properties [10]. Considering that the strength of ancient wood has already declined, flame retardant coatings are generally used as a fire protection treatment of historical architectures. Tung oil was commonly used as a fire-retardant coating in ancient China [32]. Nevertheless, current advanced coatings can have self-healing, self-cleaning, fire warning, and other functions [33,34,35], which not only provide excellent fire resistance but also significantly enhance the durability of materials. In FDS, the activation energy of the material was set higher to simulate the effect of the flame-retardant coatings.
-
(2)
Water-mist extinguishing system
Unlike flame retardant treatment, the water-mist extinguishing system extinguishes fire from a physical perspective [36]. Compared to a gas extinguishing system, the water-mist spray can rapidly reduce the indoor temperature with almost no harm to humans. Additionally, the water-mist extinguishing system can be integrated with sensors to automatically activate upon detecting a fire, saving valuable time for fire rescue operations. Currently, the water-mist extinguishing system is widely applied in warships, liners and freighters. A water-mist extinguishing system was simulated in FDS with the sprinklers positioned above the fire source, where a generic commercial link was used as the spray model. The activation temperature was set at 200 °C, and the time index for response was set to 100.
As depicted in Fig. 15a, the flashover time of the Dengyun Bridge was 1035 s, delayed by 27.6% compared to that of the untreated materials. At 811 s, the maximum temperature on the roof of each measurement point was 345.9 °C, and that at 1.5 m height was 219.2 °C, which were 66.3 °C and 2.1 °C lower than those of untreated wood, indicating that flame retardant treatment can significantly improve the fire resistance of timber lounge bridges. As shown in Fig. 15b, the water-mist extinguishing system was activated at 232.9 s, and no flashover occurred within 1200 s. However, it is important to note that in FDS, the fire source was set to continuous combustion, leading to a flashover at around 1500 s in Dengyun Bridge. In an actual accident, a constantly burning fire source does not exist, which means that the water-mist extinguishing system can effectively prevent flashover. However, as an architectural heritage, national policies prohibit any form change in Dengyun Bridge. The installation of pipelines within the bridge structure for the water-mist extinguishing system would inevitably affect the integrity of the bridge, which is a significant obstacle hindering the application of this system in architectural heritages. Therefore, flame retardant treatment was recommended in architectural heritage compared to water-mist system.
Conclusion
To gain a better understanding of the fire development process in historic timber bridge heritages. This paper proposed an experimental and CFD-based fire risk assessment framework. The different fire stages in timber lounge bridges were identified and the fire risk index in different fire events was obtained through combined weighting method. The main conclusion can be drawn as follows:
-
(1)
Through field research, the structural characteristics of Dengyun Bridge were obtained, and the wood replaced during its repair was collected. The physical properties and pyrolysis kinetic of those collected wood were tested and analyzed. For ancient timber, its pyrolysis process includes three stages: moisture loss, pyrolysis, and residue. Using the first-order form of the diffusion model, the activation energy and pre-exponential factor were calculated to simulate the actual fire development in Dengyun Bridge.
-
(2)
By identifying the key points of fire scenarios, this paper summarized four crucial fire events that occurred during the fire development in Dengyun Bridge: early fire period (FE1), flame spread period (FE2), flashover period (FE3), and post-flashover period (FE4). Various indicators, such as temperature, CO concentration, and visibility during the fire in the Dengyun Bridge, were monitored. The obtained results showed that before FE3, the values of these indicators remained stable. However, once flashover occurred, the values of these indicators rapidly increased, indicating that the flashover period was the most critical node in fire development process in Dengyun Bridge.
-
(3)
By using AHP-Entropy method, a fire risk assessment index model for timber lounge bridge was established, and the fire risk of Dengyun Bridge was evaluated. The combined weights of different factors were evaluated using both subjective and objective weighting methods, and accordingly they were ranked as smoke hazards (0.356), burning hazards (0.304), material characteristics (0.217), and escape factors (0.123). Combining the weights, experimental data, and simulation results, the comprehensive fire risk index (CFRI) of Dengyun Bridge under different crucial fire events was calculated. The CFRI values for the four crucial fire events were 0.286, 0.326, 0.363, and 0.607, indicating that the fire risk of Dengyun Bridge increased rapidly after flashover happened, and the period before flashover was the golden period for fire evacuation and suppression.
-
(4)
Mitigation and prevention strategies were proposed according to the characteristics of fire combustion in timber lounge bridges, including flame retardant treatment, water-mist extinguishing systems, digital and intelligent methods etc. The simulation results indicated that both flame retardant treatment and water-mist extinguishing systems could effectively slow down the development of fires, with the water-mist extinguishing system demonstrating the best results, capable of preventing flashover. However, there are certain conflicting issues between the large-scale installation of equipment in architectural heritages and legal provisions. Besides, the framework proposed in this paper can be combined with modern technologies, such as machine learning, computer vision, and digital twins, providing possibilities for digital and intelligent fire protection in the future.
In summary, there are still many shortcomings in this research. For example, the actual fire burning process is far more complex than what is introduced in the simulation due to diverse material characteristics and structural behaviors. However, the focus of this work is to clarify the fire development process in a timber bridge heritage. Therefore, the material combustion characteristics were set to be identical, and collapse of the timber components was not considered, which may affect the accuracy of the simulation to some extent. Even though the structure is less likely to collapse in the early fire development process, neglecting it still may post adverse impact on the fire hazards assessment. In future potential work, more in-site investigation would be carried out to help establish a more accurate simulation model. And, thermo-mechanical coupling will be considered by combining FEM software such as Abaqus, Ansys, Comsol, etc. with FDS, under which consequences, simulation analysis is more in line with practical situations.
Availability of data and materials
No datasets were generated or analysed during the current study.
References
Ceraldi C, Mormone V, Ermolli ER. Resistographic inspection of ancient timber structures for the evaluation of mechanical characteristics. Mater Struct. 2001;34(235):59–64.
Zhang C, Chun Q, Lin Y, Han Y, Jia X. Quantitative assessment method of structural safety for complex timber structures with decay diseases. J Build Eng. 2021;44: 103355.
Rahman SA, Subhani M, Ashraf M. Mode-II progressive fracture of sawn timber and timber-adhesive bond: experimental evaluation of end notched flexure (ENF) testing using DIC. Eur J Wood Wood Prod. 2023;81(6):1437–53.
Matsubara D, Teranishi M, Mori T. Evaluation method for embedment stiffness of metal washers in bolted timber joints using torque gradient and nut factor. J Wood Sci. 2024;70(1):10.
Zhang Y, Su Z, Ni W, Zhang X, Wang L. Experimental study and theoretical analysis of fire resistance properties of prestressed glued laminated timber beams. Constr Build Mater. 2024;424: 135967.
Li X, Yue K, Zhu L, Lv C, Wu J, Wu P, et al. Relationships between wood properties and fire performance of glulam columns made from six wood species commonly used in China. Case Stud Thermal Eng. 2024;54: 104029.
Song X-B, Zhang Y, Lu Y, Peng Y-Q, Zhou H. Experimental study on fire resistance of traditional timber mortise-tenon joints with damages. Fire Saf J. 2023;138: 103780.
Sinha A, Nairn JA, Gupta R. Thermal degradation of bending strength of plywood and oriented strand board: a kinetics approach. Wood Sci Technol. 2011;45(2):315–30.
Xu Q, Chen L, Harries KA, Zhang F, Liu Q, Feng J. Combustion and charring properties of five common constructional wood species from cone calorimeter tests. Constr Build Mater. 2015;96:416–27.
Tian F, Mao W, Xu X. Effect of a layered combination of APP and TBC on the mechanics and flame retardancy of poplar strandboards. Constr Build Mater. 2023;401: 132881.
Maraveas C, Miamis K, Matthaiou CE, Maraveas C. Performance of timber connections exposed to fire: a review. Fire Technol. 2015;51(6):1401–32.
Wang H, Chen X, Tian Y, Gao Y, Fan C, Liu Z, et al. Study on the thermodynamic characteristics of wood combustion in historical buildings. J Cult Herit. 2023;63:32–41.
Song X, Lu Y, Peng Y, Zhang Y, Zhou H. Sequentially coupled thermal-stress analysis of traditional timber mortise-tenon joints with damage. J Build Eng. 2024;86: 108781.
Zhao J, Jiang X, Song J, Lu S, Xiao Y, Shu C-M. Influence of natural aging on wood combustion heat release. Wood Sci Technol. 2024;58(3):1227–57.
Zhang F, Shi L, Liu S, Shi J, Zhang J. CFD-based framework for fire risk assessment of contiguous wood-frame villages in the western Hunan region. J Build Eng. 2022;54: 104607.
Hu H, Qi Z, Shi J, Li H, Ji J. Experimental and numerical investigations on fire development in a timber-based compartment with identification of characteristic events. J Build Eng. 2024;87: 109033.
Zhang Y, Wang L. Research on flashover prediction method of large-space timber structures in a fire. Materials. 2021;14(19):5515.
Liblik J, Just A. Small-scale assessment method for the fire resistance of historic plaster system and timber structures. Fire Mater. 2023;47(1):62–74.
Yuan C, He Y, Feng Y, Wang P. Fire hazards in heritage villages: a case study on Dangjia village in China. Int J Disaster Risk Reduct. 2018;28:748–57.
Wu Y, Chen S, Wang D, Zhang Q. Fire risk assessment of heritage villages: a case study on Chengkan village in China. Fire. 2023;6(2):47.
Lei Y, Shen Z, Tian F, Yang X, Wang F, Pan R, et al. Fire risk level prediction of timber heritage buildings based on entropy and XGBoost. J Cult Herit. 2023;63:11–22.
Guo M, Zhao J, Pan D, Sun M, Zhou Y, Yan B. Normal cloud model theory-based comprehensive fuzzy assessment of wooden pagoda safety. J Cult Herit. 2022;55:1–10.
Cui Z, Xu M, Tang S, Shen Y, Tu L. Experimental study on the combustion properties of four common engineered bamboo and wood composites. Polym Compos. 2023;44(12):8962–73.
Coats AW, Redfern JP. Kinetic parameters from thermogravimetric data. Nature. 1964;201(4914):68–9.
Huai C, Xie J, Liu F, Liu J. Study on the thermal stability and degradation kinetics of the historical wood: restoration residues collected from Chinese heritage buildings. Int J Archit Herit. 2024;18(1):164–76.
Huai C, Xie J, Liu F, Du J, Chow DHC, Liu J. Experimental and numerical analysis of fire risk in historic Chinese temples: a case in Beijing. Int J Archit Herit. 2022;16(12):1844–58.
Karunaratne T, Han S, Lau D, Chow CL. Experimental and numerical investigation of fire hazard of vertical greenery systems. J Build Eng. 2024;95: 110004.
Saaty TL, Peniwati K, Shang JS. The analytic hierarchy process and human resource allocation: half the story. Math Comput Model. 2007;46(7–8):1041–53.
Liu F, Zhao S, Weng M, Liu Y. Fire risk assessment for large-scale commercial buildings based on structure entropy weight method. Saf Sci. 2017;94:26–40.
Huang H, Song S, Shuai C-X, Xu Q-C, Jiang Y. Layered double hydroxide-polyaniline nanofibers in lightweight aerogels for bioinspired flame-retardant wood. ACS Appl Nano Mater. 2023;6(6):4105–11.
Xue M, Xu J, Li Y, Jia W, Wang H, Xie Z, et al. Flame retardant effect of lignin/carbon nanohorns/potassium carbonate composite flame retardant on fir pretreated under different methods. Thermochim Acta. 2024;731: 179641.
He Z, Qian J, Qu L, Yan N, Yi S. Effects of Tung oil treatment on wood hygroscopicity, dimensional stability and thermostability. Ind Crops Prod. 2019;140: 111647.
Rashid MM, Simonoic B, Zorc M, Korosin NC, Jerman I, Tomsic B. Sustainable in situ synthesis of silver/titanium dioxide/organofunctional trialkoxysilane nanocomposite coatings on cotton fabric to tailor superior multifunctional protective properties. Surf Interfaces. 2024;49: 104447.
Sun S, Zhang S, Pan M. Enhanced thermal conductivity of CS/BN/Ti3O5 coatings to promote electron transport for ultra-sensitive fire sensing. Compos Sci Technol. 2024;253: 110664.
Yuan Q, Yan L, Tian J, Chen Y, Zou H. Improved ablation resistance of silicone/phenolic hybrid resin coatings with Zr–Si–O glass as anti-ablation layer. Prog Org Coat. 2024;195: 108657.
Ping P, Gao X, Kong D, Gao W, Feng Z, Yang C, et al. Experimental study on the synergistic strategy of liquid nitrogen and water mist for fire extinguishing and cooling of lithium-ion batteries. Process Saf Environ Prot. 2024;188:713–25.
Acknowledgements
We thank the editor and anonymous reviewers for their helpful comments and valuable suggestions.
Funding
This work is supported by National Key R&D Program of China [2023YFF0906100].
Author information
Authors and Affiliations
Contributions
Z.C designed and performed experiments and simulation, analyzed data and wrote the manuscript. Q.C reviewed and revised the manuscript and provide funding. All authors read and approved the final manuscript.
Corresponding author
Ethics declarations
Competing interests
The authors declare no competing interests.
Additional information
Publisher's Note
Springer Nature remains neutral with regard to jurisdictional claims in published maps and institutional affiliations.
Supplementary Information
Rights and permissions
Open Access This article is licensed under a Creative Commons Attribution 4.0 International License, which permits use, sharing, adaptation, distribution and reproduction in any medium or format, as long as you give appropriate credit to the original author(s) and the source, provide a link to the Creative Commons licence, and indicate if changes were made. The images or other third party material in this article are included in the article's Creative Commons licence, unless indicated otherwise in a credit line to the material. If material is not included in the article's Creative Commons licence and your intended use is not permitted by statutory regulation or exceeds the permitted use, you will need to obtain permission directly from the copyright holder. To view a copy of this licence, visit http://creativecommons.org/licenses/by/4.0/. The Creative Commons Public Domain Dedication waiver (http://creativecommons.org/publicdomain/zero/1.0/) applies to the data made available in this article, unless otherwise stated in a credit line to the data.
About this article
Cite this article
Cui, Z., Chun, Q. Experimental and numerical study on fire development process and fire risk assessment of historic timber lounge bridges. Herit Sci 12, 404 (2024). https://doi.org/10.1186/s40494-024-01525-6
Received:
Accepted:
Published:
Version of record:
DOI: https://doi.org/10.1186/s40494-024-01525-6

















