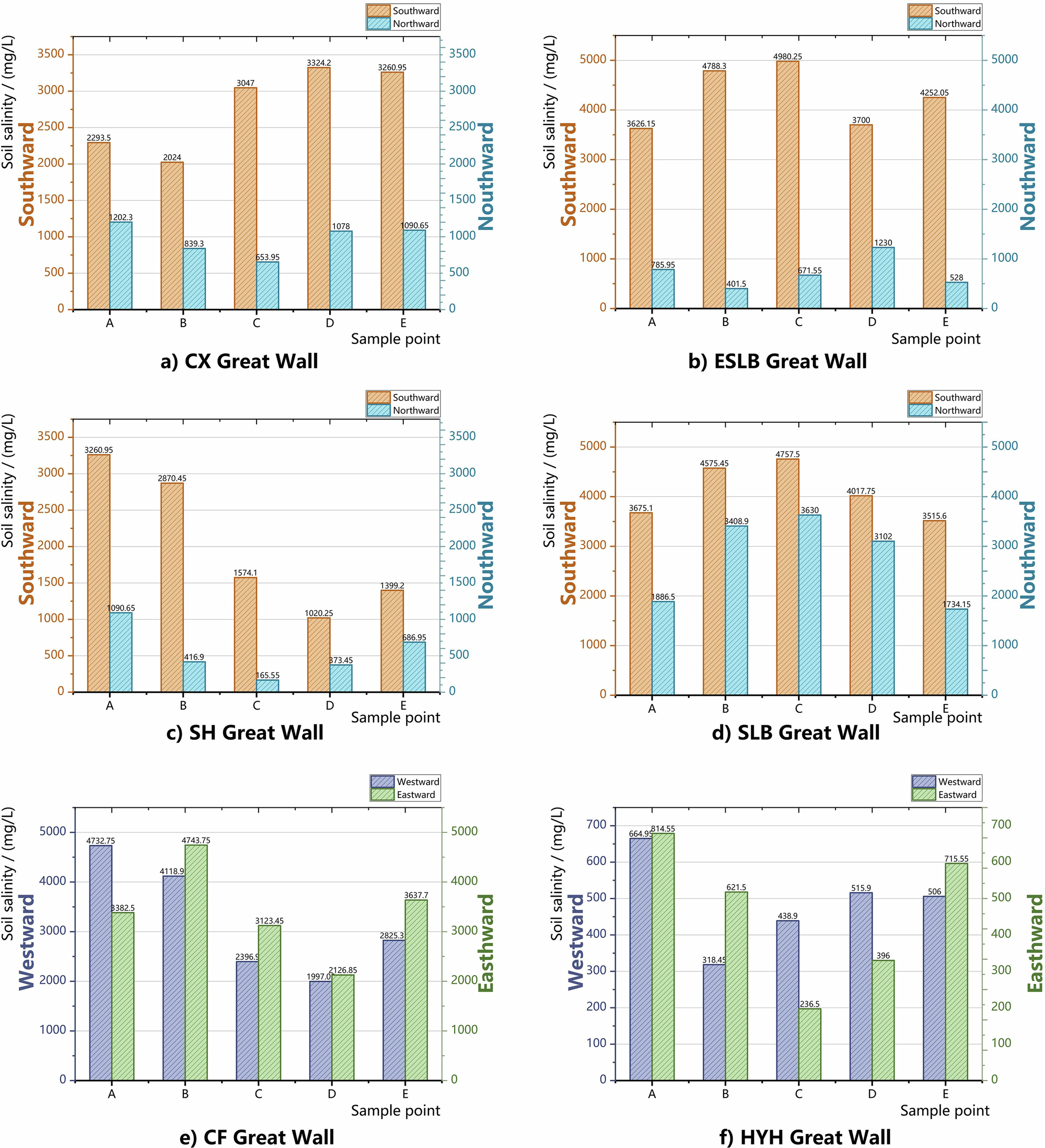
Fig. 12: Soil salinity in typical sections of the different orientations.

a CX Great Wall. b ESLB Great Wall. c SH Great Wall. d SLB Great Wall. e CF Great Wall. f HYH Great Wall.

a CX Great Wall. b ESLB Great Wall. c SH Great Wall. d SLB Great Wall. e CF Great Wall. f HYH Great Wall.