Abstract
In architectural heritage protection and revitalisation, traditional regional dwellings face challenges such as poor spatial connectivity and disconnection from modern living needs, hindering their living heritage and adaptive development. This investigation of traditional regional dwellings in Huizhou, China, employs spatial syntax theory and topological modelling to systematically establish a three-phase analytical framework encompassing spatial map translation, topological value domain analysis, and typological reconstruction. The findings are as follows: (1) The spatial topological relationship is characterised by three overall configurations, such as the ‘Multi-layer and Multi-ring Type’, and eight local configurations, such as the ‘Basic Ring Type’. (2) The spaces are classified into four categories on the basis of the relative asymmetry value (ηRA), such as the Patio Connection Type. (3) The Patio Connection Type topology guides new regional dwelling designs. These results offer a technical path for digital analysis and heritage renewal, combining algorithmic and cultural insights and aiding promotion and generalisation.
Similar content being viewed by others
Introduction
China’s traditional regional dwellings constitute a valuable heritage of Chinese civilisation; they not only carry rich historical and cultural information1 but also reflect the wisdom of ancient people in living in harmony with the natural environment2. In contemporary society, residential dwellings are detached from single residential properties3 and have become important spatial carriers reflecting cultural heritage, historical interpretation and regional characteristics4. Traditional regional dwellings are characterized by the organic integration of architecture, history, and culture5, possessing irreplaceable artistic charm and scientific value6. With the protection demands for establishing spatial paradigms in architectural cultural heritage7, as well as the activation needs for spatial functional connections8, their value dimensions have expanded from material ontological levels to composite planes encompassing cultural genes and construction wisdom9. This evolution has made research on spatial connection relationships a critical perspective for supporting the preservation and revitalization of regional dwellings10.
In response to concern regarding the spatial study of traditional regional dwellings11, previous studies have made fundamental and important contributions12. Early studies explored the spatial layout of different regional dwellings and the relationship between the spatial layout of dwellings and their corresponding regional cultures13. However, due to the small selection of sample data, the scope of research is often limited to the comparison of some residential dwellings and lacks a universal solution for regional residential dwellings14. In recent years, research has gradually focused on a single regional dwelling’s space, using topological structure to explore the evolution process of dwelling’s space15. With the development of society, the study of dwelling’s space has also gradually expanded to cities, analyzing urban flats in several Asian countries and finding that they reflect local dwelling’s characteristics16. Nowadays, dwelling’s space research focuses more on exploring the changes before and after the renovation of regional residential dwellings, exploring the relationship between spatial change and integration17, the simplification of traditional elements18, the substitution of crafts and materials19, and the misuse of collages of regional symbols further reflect that the new regional dwellings in the Huizhou region also face a lack of regional culture20, a lack of functional interactions and other real problems21. Research on the correlation between regional culture and spatial connections has become important. Additionally, owing to recent breakthroughs in generative artificial intelligence22, virtual reality and other technologies23, interdisciplinary cooperation has become increasingly frequent24, and the requirement of multisource data in the design generation process has also created a strong demand for quantitative analysis of the functional and spatial relationships of residential dwellings25.
Therefore, a systematic technical approach should be applied to the design and renovation of new regional dwellings to address the renewal problems faced by traditional regional dwellings. This study intends to expand the application of spatial topology methods in traditional regional dwellings and provide generalised quantitative laws of spatial organisation patterns for the design and construction of new regional dwellings. The aim of this study is to realise the conservation and renewal of traditional regional dwellings and the diverse design of new regional dwellings.
From a methodological perspective, the study of spatial connectivity originated from the concept of spatial relevance26. On this basis, scholars have subsequently proposed the concept of spatial connectivity and carried out research on spatial layout and human behaviour27, architectural design and ‘social’ characteristics28, revealing the distribution and interaction patterns of groups in architectural space29. This series of studies has expanded the application scope of the theory of spatial connection relationships and deepened its theoretical connotation, making it more widely applicable and providing a more profound theoretical basis in the field of architectural space planning. Additionally, related research has also achieved a series of results in practical applications, covering analysis methods from urban space to rural space30, and has made important contributions to urban expansion and social development31, the design of vibrant street networks32, and the accessibility of village public spaces33. Moreover, the establishment of spatial connectivity relationships involves the calculation of representative parameters such as spatial depth values. Among them, the average depth value (ηMD) is mainly used to analyse issues such as the connectivity characteristics and efficiency of spatial networks34. The relative asymmetry value (ηRA), on the other hand, has an important impact on the related fields of comparing the accessibility of different spatial networks and analysing the trend of accessibility changes35. The above research aims to clarify the robustness and applicability of spatial connectivity research based on spatial syntax theory at the methodological level. The current study further applies this method to deepen its application in the protection and renewal of traditional regional dwellings36, in-depth interpretation of regional cultural connotations10, and quantitative categorisation of traditional regional dwellings37. The goal of this study is to realise the organic fusion of regional cultural characteristics and modern functional applications in the design of new regional dwellings38.
In summary, previous studies have jointly promoted the research possibilities of the application of spatial connectivity relationships in traditional regional dwellings and provided important references and guidance for the theory and practice of this field in terms of research objects and methods. However, there are still some shortcomings in the current research. 1) Existing spatial analysis methods for architectural heritage have limitations in addressing complex spatial relationships and extracting spatial features, and it is difficult to comprehensively and accurately reveal the inherent logic and characteristics of spatial organisation39. 2) The quantitative classification method of traditional dwellings based on regional cultural connotations still has limitations in terms of the integrated synergism between architectural and cultural factors and spatial morphology characterisation. There is still room for further improvement in response to the functional patterns and laws of daily life of residents, and there is still room for expanding the exploration of the correlation between cultural factors and spatial patterns40. 3) Existing studies on spatial organisational patterns have focused mostly on examples of individual buildings or local spaces, and there is a lack of systematic exploration and quantitative analysis of the overall spatial organisational patterns of traditional regional dwellings in Huizhou, which makes it difficult to reveal the full spatial organisation under the influence of regional culture41. In view of the above research gaps, this paper proposes the following hypotheses.
(1) Introducing the spatial connectivity perspective in architectural heritage. Based on an in-depth consideration of research on the organisational mode of architectural heritage space, the following hypothesis is proposed: By introducing spatial connectivity relationships and transforming architectural heritage space into a topological node model, the connectivity features and hierarchical structures between spaces can be revealed more accurately, thus providing a new perspective for an in-depth understanding of the organisational mode of architectural heritage space.
(2) Using the spatial topology method to achieve quantitative classification of traditional regional dwellings. The spatial topology method can provide a new path for studying traditional regional dwellings and quantitatively classifying traditional regional dwellings by calculating representative parameter value domains to reveal the intrinsic influence of regional cultural connotations on dwelling spaces more precisely and provide scientific guidance for protecting and renewing traditional regional dwellings.
(3) Providing a generalised spatial organisation model for the design and construction of new regional dwellings. Through in-depth analysis of the spatial connectivity of traditional regional dwellings in Huizhou, a universal spatial organisation model can be accurately extracted, which in turn provides a quantitative and generalised basis for the design and construction of new regional dwellings.
This study analyses the organisational mechanism and evolutionary law of internal spatial connectivity through topological structure analysis, the spatial mapping of traditional regional dwellings in Huizhou and the quantitative calculation of relative asymmetry (ηRA) to establish a classification system based on spatial accessibility and explore an updated design method guided by a digitised topological configuration to realise the organic integration of the cultural heritage of traditional regional dwellings and the functional needs of new regional dwellings in Huizhou.
In terms of research importance, this study explores the internal spatial characteristics of Huizhou traditional regional dwellings from the perspective of spatial connectivity, uses the method of topological translation, overcomes the limitations of previous research on traditional regional dwellings, which relies on morphological classification, and constructs a quantitative analysis framework of spatial map translation, topological value domain analysis, and typological reconstruction. Topological structure theory is combined with dynamic spatial parameters (ηRA values) to theoretically construct a technical framework and path for the spatial typology of architectural heritage, with the spacing of traditional regional dwellings in Huizhou as representative cases. This paradigm shifts from a morphological description to a quantitative analysis of topology and provides a generalisable algorithmic model for the digital analysis of architectural heritage from an application perspective. This leads to a spatial analysis of the traditional regional dwelling space, which is balanced with regional cultural characteristics and modern functional application. It can guide the design and construction of new regional dwellings that consider both regional cultural characteristics and modern functionality.
Methods
Figure 1 shows the technical roadmap of this study, which consists of the following four steps: selecting the study object, spatial mapping, mapping data translation, and spatial organisational pattern generalisation and comparison.
a Research Subject Selection. b Estabilshment of Spatial Maps. c Data Computional Induction. d Compare and Contrast.
Step 1: During research object selection, on the basis of the status quo of the traditional regional dwellings in Huizhou and the previous achievements of the research team, this study selected traditional regional dwellings in the core area of Huizhou, China. Field mapping research was combined with copies from existing literature and drawing collections to carry out comprehensive research on dwellings. A plan chart of the dwellings was subsequently constructed.
Step 2: This study analysed the spatial distribution of traditional regional dwellings in Huizhou and established a related spatial atlas. Furthermore, by dividing the overall and local configurations of the dwelling topology in the spatial atlas42, the spatial node characteristics and organisational patterns were delineated43.
Step 3: This study calculated and quantitatively analysed the spatial mean depth value (ηMD) and relative asymmetry value (ηRA) of traditional dwellings in the Huizhou locality, used the ηRA value to classify the space into relevant types, and further differentiated and compared the different types of dwellings.
Step 4: On the basis of the above analysis and research on traditional regional dwellings in Huizhou, the classification results were compared and summarised, and the new classification results were used to explore the spatial connectivity of traditional regional dwellings in Huizhou in depth, thus enabling the standardization and diversification of new regional dwellings.
Selection of research subjects
In this study, the selection of the research object focuses on traditional regional dwellings within the administrative scope of Huangshan city, Anhui Province (including Huizhou District, Shexian County, Yixian County, Xiuning County, Qimen County and other main areas of former governmental governance). This province is the seat of ancient Huizhou governmental offices and is thus the core area of the Huizhou culture44. Many Huizhou traditional regional dwellings and traditional villages have been preserved in their entirety. The selected samples of dwellings in traditional villages such as Xidi, Hongcun and others not only present the typical characteristics of Huizhou traditional regional dwellings45 but also cover the natural geographic units of the core area of Huizhou and focus on the inheritance of architectural features and spatial archetypal evolution laws under the influence of the Huizhou culture21. Fig. 2 shows the research on traditional village residential maps.
a Location of dwellings. b Research period. c Aerial photographs related to village research. d Photographs related to village research.
In the research, Huizhou traditional regional dwellings focus on the patio as the core component to build the spatial order. The hall divides the functions according to the ritual system of ‘public in front and private in back, and the wing rooms, veranda and corner wing rooms are symmetrically laid out and decorated to achieve the systematic integration of residences, traffic and storage. Previous studies have shown that this unique architectural form is the product of the joint action of nature and cultural practices, among which the influence of ‘Hui Culture’ on residential dwellings is particularly significant. In terms of architectural form, Confucian ethical and patriarchal concepts shape the architectural layout46, whereas the concept of ‘Feng Shui’ influences the selection of architectural sites. In terms of architectural appearance, the aesthetic concepts of regional cultures influence regional traditions. In terms of architectural appearance, the aesthetic concepts of regional culture have influenced the colours and decorations of traditional regional dwellings, with typical features including whitewashed walls and exquisite carvings and decorations. In terms of architectural function, Hui Culture involves the combination of practicality and cultural inheritance47, and such a close connection is particularly obvious in the design of the patios of traditional regional dwellings48, which is the result of cultural heritage, the geographic environment, Feng Shui concepts and functional needs. Figure 3 shows the plan form and space type of traditional regional dwellings in Huizhou.
a Architectural form. b Spatial type. c Hui-style architecture plan layout.
With the southwards migration of the central plains to Huizhou, where land is scarce and there are many mountains and little land, the spacious architectural system of the central plains gradually evolved into a narrow patio to adapt to the local environment49, which made the layout of traditional regional dwellings more compact. Moreover, under the influence of the feudal system, the external walls of traditional regional dwellings are closed, and the windows are small, which makes the patio functionally combined with the core functions of lighting, ventilation, and drainage50. Additionally, the form of ‘rainwater is channeled into the patio’ also implies the gathering of wealth in the concept of Feng Shui.
As shown above, these factors together shaped the typical characteristics of traditional regional dwellings in Huizhou and formed a wide range of residential spaces with patios at the core. Professor Deqi Shan of Tsinghua University proposed a planar classification system of four morphological categories, namely, ‘Hui, Ao, Ri, and H’, in an ‘Anhui Folk House’, and the layout of the patio as the classification basis of this system has paradigmatic significance in the study of traditional regional dwellings in Huizhou and has become the analytical framework for spatial morphology research in this field51. On the basis of the above classification results, scholars have subsequently identified typical patterns in the spatial organisation and functional distribution of different layout types in spatial morphology studies52. Several studies have analysed the interrelationships of functional spaces in detail and proposed corresponding spatial protection measures for different layout types, which further reveals the important role of key functional spaces such as patios. This form of classification for traditional regional dwellings in Huizhou, based on planar morphology, is highly valuable in the study of morphological induction and historical staging.
However, this morphological classification method has shortcomings when dealing with the division of spatial connections. On the one hand, the classification method focusing on the patio fails to take into full consideration the functional characteristics and flow organisation of living spaces other than the patio and fails to reflect the global relationship of diversified spaces in traditional regional dwellings. On the other hand, the traditional classification method based on morphology fails to provide a reproducible and expandable spatial connection paradigm in the design of new regional dwellings and lacks the quantification of spatial connection relationships53, which makes it difficult to adapt to the efficiency and diversity of the design of new regional dwellings in response to the large volume of new dwellings in a wide range of areas. The method of spatial connectivity in this study overcomes the limitations of traditional typological classification research and can more accurately quantify spatial connectivity indicators and analyse the interrelationships between functions, thus providing more targeted guidance for the design of new regional dwellings.
In the sample examined herein, a scientific sample selection framework was constructed from four dimensions. Specifically, 1) the spatial distribution of samples spanned the Huizhou region across three geomorphological contexts (plains, mountains, and valleys), ensuring representational balance in the study design54. 2) The sample selection criteria prioritised structural integrity, requiring traditional regional dwellings to retain at least 80% completeness in their main planes. Samples with more than 20% damage to original planes caused by natural disasters (e.g., fires, floods, or insect erosion) were systematically excluded. This methodology ensured the preservation of spatial authenticity in the studied regional dwellings55. 3) In terms of historical style, this study referred to the screening method of Kai Gong and other scholars and the legal and regulatory requirements for the protection of China’s architectural heritage. Protection laws and regulation requirements and relevant villages and historical buildings were screened from the catalogue of historical and cultural villages issued by the state to ensure the authenticity and reliability of architectural heritage. Additionally, atypical architectural samples with significant stylistic differences (e.g., bark dwellings, rammed earth dwellings) were excluded to ensure the typicality and representativeness when presenting samples of the Huizhou culture56. 4) The source authenticity of the traditional regional dwellings was fully considered to prevent the mixing of new and old buildings from causing alterations and damage to the traditional spatial layout. On this basis, this study randomly selected more than 50 relevant types of samples from the sample pool, thus providing a reliable sample base for subsequent study. Figure 4 shows the sample selection criteria for Huizhou regional traditional dwellings.
a Geographical Distribution. b Plan Integrity. c Scenic Feature. d Spatial Relationships.
Survey and mapping
On the basis of these research objectives, this study further investigated and mapped traditional regional dwellings in Huizhou. During the actual mapping process, the research team ensured the accuracy of the planar data of the dwellings through multiple times and angles and supplemented them with manual mapping methods to fill in the local blind spots of the data. Through the use of other instruments, a handheld laser range was used to obtain more than 600 valid internal rooms of traditional regional dwellings in Huizhou and cumulative room scale data for more than 2000 rooms. The average error of the obtained data was relatively small, which met the precision requirements of quantitative research. Furthermore, this study summarises the acquired data and draws on quantitative data. The next step will be the construction of spatial maps of the screened residential planes and the study of the overall configuration and local configuration characteristics of the topological structure. Figure 5 shows the plans of the researched traditional regional dwellings.
a ‘Ao’-Type Layout. b ‘Hui’-Type Layout. c ‘Ri’-Type Layout. d ‘H’-Type Layout.
Classifications for traditional dwellings
The expression of regional residential space mapping uses topological structure-related methods. The topological structure of the research object is based on the binary relationship between points and lines. The residential space is expressed as a point, the spatial entity of the abstract expression, the spatial connection relationship is a line, and the complex spatial connectivity relationships are transformed into a mathematical computation problem for visualising the mapping. The acquisition of relevant data digitally translates the spatial connection relationship of the residential space57, which facilitates digital research on the traditional regional dwelling space and the diversified design of the new regional dwelling space. Figure 6 shows the representation and translation of spatial mapping. Figure 6‘a’–‘e’ show the functional attributes, positional coordinates, and connection relationships of the architectural space as topological relationship mapping with coordinate information. When the coordinate information is removed and only the topological relationship of the space is considered, the topological structure map can be converted into multiple forms with different spaces as the vertices, that is, topological relationship maps with different spaces as the vertices. Figure 6‘d’–‘e’ show the topological relationship with ‘A’ as the vertices or with ‘F’ as the vertices. Even though the positions of the vertices in the topology are changed, the topological relations between the elements are not changed, and the result still holds. Moreover, in topological structures, the distance relationship between nodes is usually expressed in terms of the number of topological steps, which increases as the number of passing nodes between nodes increases. For example, in Fig. 6, ‘A’ is 2 topological steps away from ‘E’, and ‘C’ is 3 steps away from ‘D’.
a Room Floor Plan. b Space Connectivity Map. c Topology Establishment Map. d Topology Map. e Topology Map.
Calculations
When quantitatively analysing the plan layout of a dwelling, spatial depth values need to be quantitatively calculated. When the topology of a residential plan is quantitatively analysed, the effectiveness and functionality of the spatial layout should be understood31. The quantitative process of the functional spatial topological relationship is calculated on the basis of several analyses of the spatial types of nodes in the topological structure, as shown in Fig. 7. This approach lets us understand the intrinsic spatial characteristics of the topological structure in detail, revealing the ordered pattern of the connecting relationship between the residential spaces58.
a Topological Structure. b Topological Structure. c Topology Calculation Process. d Topology Calculation Results.
The depth value refers to the topological depth of the space, regardless of the actual distance, specifying that the distance between two neighbouring nodes is one step. The depth value of a given node is the sum of the shortest steps it takes to reach all the nodes in the system59. The depth value generally indicates the depth of only one topology and is suitable for analysing and comparing a single building. The topological analysis and comparison of multiple buildings requires prior computation of the global depth value (ηTD) for individual structures60. The global depth value refers to the space remapping after the start of the central space to any other space is a few nodes. The topological depth value in all cases is cumulative superposition, and the average of the shortest journey (i.e., the minimum number of steps) from a node to all other nodes in the system is called the space’s mean depth value (ηMD), while the effect of the vertex itself needs to be eliminated using the global depth value, as shown in Eq. (1):
where ηMD (x) is the average depth value, ηTD (x) is the global depth value, X is the topology of the centre, and NA is the total number of nodes in the centre topology.
The topological maps of the dwellings have different forms of symmetry in addition to different numbers of nodes. Therefore, in the analysis of multiple-sample topology, when horizontal comparisons are made, experimental errors caused by the symmetrical forms of different buildings are avoided, and a unified quantitative standard is formed. A standardised indicator, the relative asymmetry value (ηRA), is introduced here, where a smaller relative asymmetry value means that the space has greater accessibility and is located at the core of the integrated spatial system. This value can be taken to allow different residential values of the topology to be compared under the same criteria, as shown in Eq. (2):
where ηRA is the relative asymmetry value, ηMD (x) is the average depth value, X is the topology of the centre, and NA is the total number of nodes in the centre topology.
Comparisons between the existing study and our proposal
From a digital research perspective, the qualitative analysis of traditional regional dwellings in Huizhou can reveal their unique spatial structure characteristics and cultural connotations. To more intuitively understand and demonstrate the correlation between the topology of the spatial types of dwellings and the spatial types from the traditional morphological perspective61, this study introduces the Sankey diagram as a data visualisation tool. Through this diagram, the relationship between two different classification methods can be clearly presented, providing important support for the comparative analysis of topological structure and morphological classification62.
Results
Conformational features of spatial mapping
This study combines the framework of the four types of functional models in the theory of spatial syntax63 and the division of single spatial topological nodes64 and forms different spatial relationships on the basis of the specific context of Huizhou’s traditional regional dwellings by combining the different numbers and positions of nodes within the dwellings. This classification system transforms abstract topological nodes into recognizable spatial connection models through the three-level framework of ‘node units—combination rules—cultural characteristics’ and thus expands the research perspective of Huizhou traditional regional dwellings. Figure 8 shows the topology and nodal classification of traditional dwellings.
a Topological Structure Nodes and Samples. b Topological Structure.
In related research in the field of spatial syntax, the classification of the conformational features of topological structures has been explored in detail, and two classification criteria, tree type and ring type, have been developed65. On the basis of the above research results, the following classification criteria are developed in this experiment by combining the characteristics of the traditional regional dwellings in Huizhou. Figure 9 shows the topology classification criteria66.
a Topological Type. b Scientific Basis. c Topological Structure.
On the basis of the above classification criteria, the topological nodes are counted, and the findings reveal that the number of topological structure nodes of Huizhou traditional regional dwellings ranges from 624 nodes. Among them, 10–13 nodes account for 50% of the sample capacity, and the remaining nodes are mostly distributed in the number of 16–24 nodes. On the basis of the above number of nodes and the grading characteristics, the following descriptions are provided.
First there are Multi-layer and Multi-ring Types. This type of topology has four or more levels of depth and accounts for approximately 39.5% of the total sample. The distribution of the ring type also has main characteristics; some of the rings are distributed at the front-end topology level, mainly because of the high number of entrances to the dwelling’s plan, so its patios, verandas, halls and outdoor courtyards form a ring line before the beginning of their depths. Some of the rings are looped at the end; this type mostly occurs in the ‘Ri’-Type layout because the halls and patios are located in the middle of the topology level, and surrounding spaces such as the stairwells, east and west verandas, wing rooms and other spaces are connected together to form a circular line. There are some regular features of the Multi-layer and Multi-ring types. Figure 10 shows the topology classification results. The number of nodes on the ring usually ranges from 4–6, with 4 nodes for the Basic Ring Structure. This structure contains three types of functions: patio, hall, and veranda. In the plan, the veranda and the walkway are the end spaces connecting the patio and the hall, and the establishment of the Basic Ring Structure also reflects the characteristics of the plan layout of the Huizhou traditional regional dwellings. A Basic Ring Structure is equal to the ‘one-in’ architectural space in dwellings, which contains patios and the functional rooms around patios. The other ring types all display a Change Ring Structure, and the number of nodes increases, mostly because different courtyards and patios are connected to each other through the veranda or walkways, and the two Basic Ring Structures are connected to become a Change Ring Structure. Most of the Change Ring Structures contain more than two dwellings, and the spatial priority and accessibility of the two dwellings are not the same; however, they are entail a dwelling with a strong public character, around which another dwelling is extended.
a Example diagram of Multi-layer and Multi-ring Type. b Example diagram of Multi-layer and Multi-branch Type. c Example diagram of Multi-layer Tree Type.
The patio in a Multi-layer and Multi-ring Type becomes the node of each ring and connects other end spaces, such as wing rooms at the next level. There are also two trends in the distribution of nodes according to the distribution of nodes in the topological hierarchy. One is the generation of ring connections in the front-end hierarchy called the Front Ring Structure, and the other is the generation of ring connections in the end–end hierarchy called the End Ring Structure. Most of the Front Ring Structures are created because there are multiple main entrances in the dwelling’s plan, and the multiple entrances converge into a loop at the patio after levels 1–2. Moreover, in the Front Ring Structure, the patio or hall becomes an important node connecting the many end spaces. The End Ring Structure is more common, and the patio becomes an important node in the ring. An in-depth study of the functional combination of the plane revealed that the wing room is no longer a single end space; the wing rooms are usually equipped with two entrances, one connected to the patio or hall and the other connected to the walkway space. Thus, the patio, the hall, the wing rooms, and other spaces form a ring connection. The Multi-layer and Multi-ring Type, as the most widespread type of topological structure of traditional dwellings in Huizhou, also reflects the core concept in the construction process of dwellings, i.e., the ‘patio–hall’, around which a Basic Ring Structure is made. The variations in multiple courtyards are constructed according to the actual needs of the users. According to the actual needs of the users, a ring shape with multiple courtyards is constructed, and in different courtyard arrangements, the different distribution positions and numbers of main entrances gradually evolve into a Front Ring Structure and End Ring Structure.
The second type is the Multi-layer and Multi-branch Type. This type of topology has more than one depth level, accounting for approximately 46.6% of the total sample. Figure 10 shows the topology classification results, which branch at the second or third node to form a topological map of two to three nodes, mostly in two planes, an ‘H’-Type Layout and ‘Ri’-Type Layout, and the core nodes are mostly in the halls and patios, with a few in the verandas. Characterised by many dwelling nodes, the structure is more complex. The figure shows that part of the topology produces an obvious symmetry phenomenon. When combined with the corresponding plan, most plans involve more complete multiple-entry courtyards, and the distribution of functional rooms inside the courtyards is also consistent. Most of the Multi-layer and Multi-branch Types have only one ring type, and most of them are Change Ring Structures with 5–10 nodes. One ring type contains 2–3 courtyards with patios, halls and corresponding walkways, and the nodes of the Change Ring Structures have as many as 4–6 layers. The topology produces an obvious phenomenon in which the number of nodes in the front section is lower and the number of nodes in the end section is greater, which is called the Multiple Terminal Branch Structure. It is mostly located in traditional regional dwellings connected with many courtyards, with more end spaces at the deep level. The main and secondary aspects of the internal functional space are not obvious, the layout of the patio and hall of each dwelling is consistent, and most of them are arranged horizontally so that the walkways on both sides of the patio are connected. The other types are those in which the number of nodes in the front section is greater when the number of nodes in the end section is lower, which is called the Multiple Front Branch Structure.
The third type is the Multi-layer Tree Type. The topology of the type has multiple levels of progression and is characterised by a single tree distribution. This type is present in all four types of dwellings, accounting for approximately 13.9% of the total sample. The Multi-layer Tree Type has a main branch and a few forks, but the fork points add only one level of topological depth and are connected to end spaces, known as the Single-centre Single-branch Structure. A lesser number of topology structures will have one Base Ring Structure connection and no multi-ring connections, known as the Single-centre Single-ring Branch Structure.
The topology diagram in Fig. 10 shows that the number of levels for the Multi-layer Tree Type is generally 5–10, which is more distributed in the interval of 7–9; the number of nodes ranges from 8–14, and all of them are a main branch type bifurcating at the patio and hall to connect the remaining functional rooms at the end. In the Single-centre Single-branch Structure, the topological level corresponding to the patio is always located at the front end of the hall. The ring distribution in the Single-centre Single-ring Type is mostly at the mid-end location, and the number of nodes on the ring is low. This phenomenon occurs because, first, there is only one main entrance to the dwelling, and it mostly opens at the wall occupied by the patio; second, multiple entrances and exits do not exist in end spaces such as wing rooms.
Comparison of multidimensional data calculations in residential space
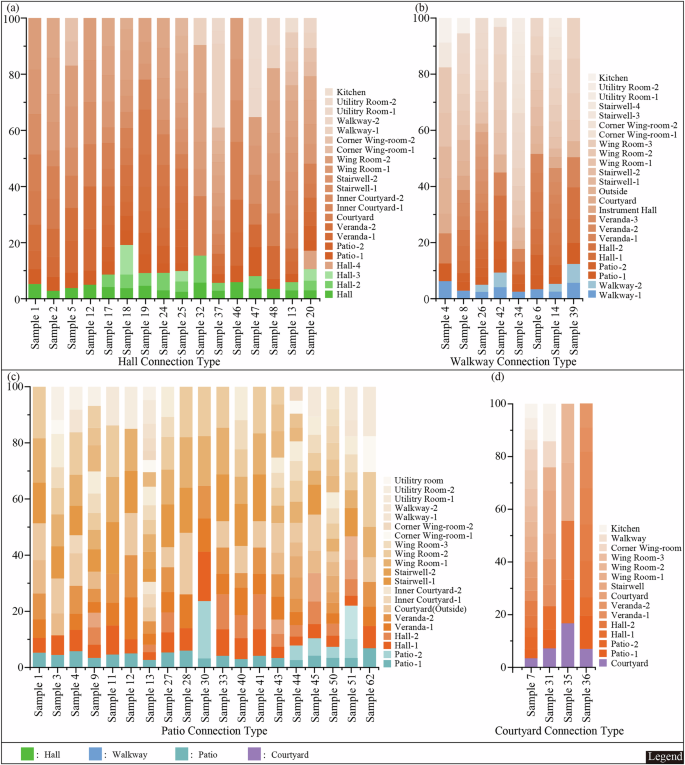
This study uses the relative asymmetry value for classification; the lower the value of ηRA is, the better the corresponding spatial accessibility is in the core of the spatial layout, which is used as a criterion to classify the space type. The lowest value of ηRA was found in the four functional spaces: patios, halls, walkways and courtyards. The Huizhou traditional regional dwellings are classified into four types, namely, the Patio Connection Type, Hall Connection Type, Walkway Connection Type, and Courtyard Connection Type. Figure 11 shows the distribution of spatial nodes ηRA of traditional dwellings in the Huizhou region. Additionally, there are also a few samples where the lowest values are distributed in more than one type of functional space, and the relevant samples are also made into composite connection types, which are categorised into one of the four types.
a Distribution of spatial nodes ηRA of hall connection type. b Distribution of spatial nodes ηRA of walkway connection type. c Distribution of spatial nodes ηRA of patio connection type. d Distribution of spatial nodes ηRA of courtyard connection type.
On the basis of the data pattern of the distribution of the spatial nodes of the ηRA of the traditional dwellings in Huizhou, this study further assesses the overall distribution of the ηRA values. Figure 12 shows box plots of the ηRA values for traditional dwellings in Huizhou. The box plots and the data distribution curves reveal that the four groups of data are distributed in the range of 0.0–0.8, with minimum and maximum values of 0.073–0.8. There are 1–2 outliers, and the distribution of the ηRA values is wider. The dataset of ηRA also has several characteristics and patterns. In addition, the ηRA value ranges widely, with the distributions of the maximum and minimum data being 0.564 and 0.073, 0.628 and 0.07, 0.422 and 0.073, and 0.445 and 0.133, in which the minimum values of the first two types of dwellings float in the 0.07 value band, and the maximum values float up and down by 0.6. The reason for these phenomena is that the number of samples of these two types of dwellings is large, and there are enough sample data to calculate, which can reflect the distribution of the ηRA value of the space more accurately in terms of the law and characteristics. For the Walkway Connection Type, the lowest value is similar to that of the first two types, but the highest value is relatively low. Finally, to ensure that these types of samples are more special, the classification of the samples after the sample is less, resulting in the corresponding value point in the high place being lower.
a Box plot of the four classifications. b Box plot data expression.
The overall distribution of the data for the ηRA is skewed towards the middle region of the chart, with the upper and lower quartiles of the four groups of data being [(0.345, 0.195), (0.4, 0.222), (0.289, 0.19), (0.316, 0.216)], and the variability in the intervals where the upper and lower quartiles are located is more pronounced as well, with a large fluctuation in the difference between the two [0.15, 0.178, 0.099, 0.1]. The difference between the groups is more obvious; it can be clearly seen that the Patio Connection Type, which has the greatest difference as reflected in the chart, is the corresponding ηRA value distribution of a wider range, and the data are more dispersed.
This phenomenon is partly because the number of samples of dwellings associated with the Patio Connection Type is larger, generating more data points, and partly because the topology of the Patio Connection Type is more complex in terms of both overall configuration characteristics and local configuration. The inclusion of the variation ring type leads to a wider distribution of the corresponding ηRA value calculation results of the spatial nodes. The highest point above the median is for the Patio Connection Type, whereas the lowest value is for the Walkway Connection Type, forming a ‘patio–hall–courtyard–walkway’ arrangement. For the four-position score distance, the Patio Connection Type has the largest value distance and the widest range of fluctuation. The Walkway Connection Type has the smallest distance and the narrowest fluctuation range. The mean of the data expresses the location of the data centre, and the standard deviation expresses the degree of dispersion of the data. The study introduced a normal distribution curve to investigate the associated value range, which is also known as a Gaussian or bell curve. The application of a normal distribution comes from the evaluation of the standard deviation of the data points. The degree of abnormality of the curve can be determined on the basis of the deviation of 1 data point from the mean deviation. The curve has the following properties: 68% of the data deviate from the mean within ±1 standard deviation [0.121, 0.133, 0.093, 0.082], 95% of the data deviate from the mean within ±2 standard deviations [0.242, 0.266, 0.186, 0.164], and 99.7% of the data deviate from the mean within ±3 standard deviations [0.363, 0.399, 0.279, 0.246]. This result shows that the distribution of ηRA values generated by the study conforms to the distribution characteristics of the normal distribution curve, and the relevant experimental data are more accurate, which satisfies the next qualitative exploratory study on the relevant values.
After an in-depth analysis of the overall data distribution of the ηRA values, this study not only analyses and explores these values at the level of mathematical models but also attempts to establish a connection between these mathematical calculations and the practical application of the interior space of the dwelling. The establishment of the connection is the difficult part of this study, as it involves translating abstract mathematical concepts into concrete architectural practices. Next, the study will examine these four new classifications in detail, which involves analysing the similarities and differences in the layout and the flow of spaces between them.
Exploring the classification of residential space types
The first connection type is the Hall Connection Type (‘Ri’-Type Layout dominated). The plan features of the Hall Connection Type are mostly based on the ‘Ri’-Type Layout. In this spatial type, the hall, as the traffic hub, connects the functional rooms. The overall topological depth of the dwelling is mostly 5–9 levels, and the high value of the topological depth maps out the vertical sequence law of ‘from shallow to deep, from public to private’ in the Huizhou culture. In the distribution of levels, there is a distribution of ‘less at the bottom and more at the top’, with the number of nodes at the deeper levels being the highest, and the wing rooms and courtyards becoming the end spaces owing to the demand for privacy (higher ηRA values), reflecting the principle of prioritising privacy. Figure 13 shows the graphical relationship for the ηRA values for the Hall Connection Type.
a Topological Structure. b ηRA's Map of Dwelling. c Node Sequence Based on Room Usage and ηRA's Value.
The second connection type is the Patio Connection Type (‘Ao’-Type Layout dominant). The characteristic of the Patio Connection Type is that the patio is located mostly at the third level of the topological hierarchy, connecting the functional rooms and the wing rooms open to the east and west verandas, thus weakening the traffic attributes of the halls. In terms of topological logic, the branching pattern is formed because of two types of branches due to the different locations of the entrances. One type is single-entrance branching; from the main entrance through the verandas, it can directly reach the patio, which serves as the first bifurcation node and has the lowest ηRA value. The other type is the multiple entrance ring type distribution, which usually has 2–3 entrances to form a ring type layout at nodes of levels 2–4, and the patio serves as the intersection of the ring type, which has the lowest value of the lowest ηRA value. In terms of hierarchical characteristics, the patio becomes the node with the best accessibility because of its high connectivity. Figure 14 shows the graphical relationship for the ηRA values for the Patio Connection Type.
a Topological Structure. b ηRA's Map of Dwelling. c Node Sequence Based on Room Usage and ηRA's Value.
The third connection type is the Walkway Connection Type (‘Ri’/‘H’-Type Layout dominant). The Walkway Connection Type is usually characterised by an extension along the central dwelling, with new traffic corridors added to replace the connecting functions of patios or halls, and it is commonly found in sample cases of topographically constrained additions. In terms of topological logic, the structure is a bifurcation-ring type, and a topological depth bifurcation (2–4) occurs at the second level, eventually forming a ring type, where the topological node of the walkway connects 7–9 end rooms and becomes the core node (lowest ηRA value). Figure 15 shows the graphical relationship for the ηRA values for the Walkway Connection Type.
a Topological Structure. b ηRA's Map of Dwelling. c Node Sequence Based on Room Usage and ηRA's Value.
The fourth connection type is the Courtyard Connection Type (‘multiple entrance’ dominant). The Courtyard Connection Type features, in which multiple entrances are mostly shown, lead to the disintegration of the traditional vertical spatial sequence, and the courtyard thus becomes the node with the best accessibility (lowest ηRA value). From the perspective of topological logic, its structure presents the characteristics of multiple bifurcation equilibria; the courtyard node has the highest number of bifurcations, and the number of rooms connected by each branch is similar, resulting in the absence of dominant functional nodes. Further analysis reveals that courtyards replace the topological core of halls and patios and that the ηRA values of internal rooms converge. Figure 16 shows the graphical relationship for the ηRA values for the Courtyard Connection Type.
a Topological Structure. b ηRA’s Map of Dwelling. c Node Sequence Based on Room Usage and ηRA’s Value.
This study revealed that the number of samples of the Hall Connection Type and Patio Connection Type is high, and the number of samples of the Walkway Connection Type and Courtyard Connection Type is low. Notably, the samples in this category originate from the classification result of the quantitative calculation, which reflects the uniqueness of the dwelling pattern, and an insufficient sample size after classification does not damage the accuracy of the classification result. The classification results reflect the significant differences in the internal spatial organisation of traditional dwellings from the typical Huizhou locality, resulting in relatively independent clustering results. The main reason for this difference is the complexity of the housing pattern and topographical conditions, which leads to an increase in the number of ancillary functional rooms inside the dwellings, leading to the emergence of many walkways connecting the different functional spaces inside the dwellings and making the overall architectural scale of the dwellings relatively large. In this case, the walkway connecting multiple spaces becomes the space with the best accessibility. This type reflects the characteristics of residential culture and increases the diversity and validity of the classification.
Generalisation of spatial organisation patterns
In this study, sample data are selected to produce the relevant chart. Figure 17 shows the distribution of residential type flows to the Sankey diagram, which shows that the sample data of the Patio Connection Type and Hall Connection Type account for the larger number of data samples, followed by the number of internal spaces, which range from (5–25) but are mostly distributed in the (7–14) band. In terms of the range of values, the minimum value of ηRA is concentrated in the interval segment (0.1-0.2), which accounts for approximately 70% of the total number of samples, and the maximum value ≤0.4, with a smaller range of values and fluctuations. The maximum value of ηRA is more uniformly distributed in the three ranges of values (0.3-0.4,0.4-0.5,0.5-0.6), with a larger overall fluctuation range. Each new spatial type will be studied and analysed next.
a Hall connection type of Sankey diagram. b Patio connection type of Sankey diagram. c Walkway connection type of Sankey diagram. d Courtyard connection type of Sankey diagram.
Hall Connection Type: the number of internal spaces are all distributed in the (7–16) interval band, and the minimum ηRA values are mostly between (0.1-0.2). Only (7,11,13,19) are distributed in the (0.0-0.1,0.2-0.3) interval bands. However, when the maximum ηRA values are distributed in the full threshold range, the Hall Connection Type originates from one of the initial four spaces, which suggests that even if the patio location and the combination method have changed, the hall still has the best spatial accessibility after the calculation and classification are based on the relative asymmetry value.
Patio Connection Type: the number of internal spaces is distributed in the (6–19) interval segment with a wide range of values. The distribution of the minimum ηRA value shows that the (0.1-0.2) interval segment occupies the main sample number, and (0.0-0.1,0.2-0.3) occupies a certain amount of the sample number, presenting a more uniform distribution. For the maximum ηRA value, it is obvious that the range of the value is wider, and the data volume is larger in the relevant characteristics. In the corresponding original space types, the Patio Connection Type also has a distribution in all the original four types of space. Among them, the majority of them are distributed in ‘Ao’-Type Layout, and fewer are distributed in the other three types of space types.
Walkway Connection Type: the number of spatial nodes is high, and as the type with the highest number of spatial nodes among the four classifications, the highest value reaches 25 spatial nodes, where the lowest value reaches 11 spatial nodes, which also indicates that the traditional regional dwellings corresponding to the Walkway Connection Type are mostly variant dwellings, most of which are affected by the settlement pattern and topography. The range of ηRA values is the same as that of the two types above. Among the corresponding original space types, the Patio Connection Type is distributed in only three of the four original space types, with more of them distributed in the ‘Ri’-Type Layout.
Courtyard Connection Type: the distribution of the number of internal spaces is (5–15), most of the ηRA minima are distributed in the interval (0.1-0.2), and the rest are distributed in two categories (0.2-0.3,0.3-0.4). Most of the ηRA maxima are distributed in the interval (0.3-0.4,0.5-0.6) and in the primitive space, which similarly occupies the same four types of spatial types.
After the above four new spatial types are classified, the study of the corresponding charts shows that the dwellings after classification come from different original spatial types, proving that the traditional classification method has some research limitations and is not able to classify the spatial types accurately. In the study of the spatial connectivity of traditional regional dwellings, the topological structure is used to calculate the corresponding asymmetric values to carry out the division, and the traditional regional dwellings are newly translated and classified from a digital point of view.
Figure 18 shows the folded flow distribution of residential types, and the relationships between the newly classified samples and the original four classifications are clearly shown. The figure shows that the samples of the Hall Connection Type, Patio Connection Type, Walkway Connection Type, and Courtyard Connection Type are all from the original four classifications, and the traditional classification method may have a series of limitations, such as unclear labelling and inconsistent results, and that using the perspective of spatial connectivity to make a new classification of traditional regional dwellings in Huizhou from another dimension will be more helpful for the protection and use of dwellings. In the following section, the topological configurations under the new classification criteria are used to guide the revitalisation and reconstruction of new regional dwellings in Huizhou. In the topological configuration of traditional regional dwellings, topological features are selected to be integrated with the functional requirements of new regional dwellings so that the construction meets the functional requirements of the dwellings in the new era and shows the characteristics of traditional regional dwellings.
a Four type of line graphs. b New–Old four categories of Sankey diagram. c Diagram of the quantities of new and old types. d All associated space of this type ηRA sample point.
Revitalisation and renewal of traditional regional dwellings
Using the above research results, this chapter starts from the spatial connection relationship to standardise the design and diversify the combination of new regional dwellings in Huizhou, which are mostly two-story dwellings, and the use of the ‘brick and wood’ structural system makes the second-story space a mapping of the main space of the first story, which is essentially a repetition of the architectural space. Therefore, in terms of geographical applicability, this study is applicable not only to one-story traditional regional dwellings but also to two-story and above traditional regional dwellings. Using the new four classification results for traditional regional dwellings, the typical spatial connection relationship can be selected for diverse designs.
In this experiment, the team takes new regional dwellings as the research object and selects the Patio Connection Type as the experimental sample for in-depth investigation. Figure 19 shows the Patio Connection Type new regional dwelling sample plan. The core functional spaces, such as the patio, are extracted for modernisation and expansion, and the patio, as a core expansion element, is connected to the living room, bedroom and other rooms through the added nodes to form a diversified plan layout. The added patio space is located mostly on one side of the dwellings, forming spatial connections with the living room, kitchen, etc., which not only enhances the visual effect but also strengthens the functional relevance.
a The patio is located on the east side of the new regional dwelling. b The patio is located on the middle of the new regional dwelling. c The patio is located on the middle of the new regional dwelling. d The patio is located on the middle of the new regional dwelling.
With respect to the continuation of spatial morphology and regional characteristics, the patio continues the roof feature of ‘rainwater is channeled into the patio’ and the slope drainage system of Huizhou dwelling, forming a distinctive regional symbolic feature. Moreover, the addition of courtyard spaces enhances the overall enclosure of the dwelling and preserves the symmetry of the overall axis of the traditional courtyard layout. Additionally, the new structure continues the traditional facade language of the horsehead wall, whitewashed wall and tiles to maintain the overall coordination of the modelling.
To optimise the dwelling type and configuration of functional areas, an open layout or additional entrance foyer is chosen for the ground floor plan to strengthen the sense of ceremony in the spatial sequence. The corners of the building are reduced, the combination of functional areas is optimised, and the living room area is enlarged to accommodate more complex functions. On the secondary floor, more resting platforms and bedrooms are designed.
In summary, the modern expansion of new regional dwellings with patios as the core has not only achieved innovation and optimisation in spatial layout but also achieved a balance between regional cultural heritage and modern living needs. Through the organic connection between the new nodes and the functional rooms, a rich and varied floor plan is formed, which meets the needs of different family structures and lifestyles. Additionally, the continuation and re-creation of the traditional Huizhou architectural elements resulted in these dwellings not only having distinctive regional characteristics but also meeting the aesthetic and functional requirements of contemporary people, providing valuable practical experience for the modernisation and transformation of traditional architecture and promoting the sustainable development of local architectural culture.
Discussion
In this experiment, the research team’s reflections related to sample representativeness were centered on the scientific rigor of sample selection criteria and the feasibility of large-scale validation and expandability for traditional regional dwellings in Huizhou. This study involved a systematic screening process aimed at ensuring methodological robustness while laying groundwork for future replicability and scalability across broader architectural contexts.
In this study, a multidimensional scientific framework was constructed in the sample selection process, fully integrating the core elements of balanced spatial distribution, integrity of plan layout, typicality of residential style and authenticity of spatial connectivity. Specifically, for balanced spatial distribution, the core area of Huizhou was taken as the study area, and all landform types were covered by stratified sampling. This method not only avoids the interference of a single geographic feature on the conclusion of the study but also improves the coverage of the sample through a stratified design, which is in line with the basic principle of ‘ensuring that the overall characteristics are fully reflected’ in the sampling theory. With respect to the integrity of the plan layout, the threshold of plan integrity of traditional regional dwellings was set at ≥80%, and samples with more than 20% of the area damaged due to various disasters were excluded to ensure the reliability and repeatability of the plan mapping data of traditional regional dwellings. Style characteristic typicality, the screening of samples on the national list of famous historical and cultural villages, and the exclusion of atypical dwellings follow the screening logic of ‘priority of authenticity’ in the field of cultural heritage protection. By excluding the sample of old and new mixed renovated dwellings, the interference of modern design on the spatial connectivity of traditional regional dwellings is circumvented, which helps to reveal the spatial archetypes of traditional regional dwellings that have not been alienated.
Although the current sample system has a scientific basis, there is still room for optimisation. By referencing the rigour of the above sample selection, in future research, the team will systematically expand the sample size and increase the diversity of samples. To this end, under the framework of the established research, field research work in Huizhou will be carried out on a regular basis to proactively collect sample data from different regions and types to ensure that the samples are broad and representative and to provide a solid foundation for subsequent research.
A data-driven spatial categorisation system for dwellings, utilising the relative asymmetry (ηRA) value as a quantitative analytical tool, has been validated for its effectiveness in decoding the spatial structures of diverse traditional regional dwellings. The relative asymmetry value (ηRA value), as a quantitative analysis tool, has been proven to be suitable for analysing the spatial structure of many types of traditional regional dwellings. By quantifying spatial topological relationships, this method can effectively reveal the intrinsic spatial organisation patterns of traditional regional dwellings and provide a scientific basis for further understanding their functional layouts and human behaviour patterns in different environmental contexts. In the field of spatial syntax, the use of quantitative analysis methods has achieved important results in various aspects. Through spatial syntax analyses of dwellings in different regional and cultural contexts, such as Italy67, Spain68, China28, and Japan69, researchers have extensively explored the relationships between spatial configurations and social interactions, spatial reorganisations and flexibility strategies, spatial evolutions and socioeconomic factors, and spatial characteristics and cultural contexts. These studies not only reveal the intrinsic spatial organisation patterns of traditional regional dwellings but also provide a scientific basis for understanding their functions and behaviours in different environments. All the above studies verify that the quantitative analysis of ηRA values is applicable to different regional architectural studies.
Moreover, owing to the calculation method and data characteristics of relatively asymmetric values, the following limitations should be considered in the actual calculation process of this index. As shown in equation (2), when there is only one room in the dwelling, that is, the total number of nodes (NA) is equal to 1, the denominator will be 0, which cannot be calculated. Although this situation is relatively rare, there is still the possibility of index maladaptation in theory, and it is necessary to pay attention to the occurrence of specific situations in the calculation of such data indicators in actual investigations.
This study deepens data analysis by critically examining the topological logic and cultural connotations embedded in residential spatial organization. From the perspective of modern housing, the layout of traditional regional dwellings in Huizhou has many drawbacks. At the level of topological logic, the spatial organisation of traditional regional dwellings is relatively fixed, and under the influence of history, society and culture and the technical conditions of the times, the spatial connection and functional allocation form a relatively stable topological structure. However, this stability is not flexible enough to cope with the diverse demands of modern living. For example, in the Hall Connection Type, the hall serves as a transport hub connecting various functional rooms, but this layout may result in wasted space and a single function in modern dwellings. From the perspective of topological logic, this centralised topology with the hall as the core and all functional rooms around the hall lacks the flexibility and diversity required for modern living70.
In terms of cultural concepts, the layout of traditional regional dwellings in Huizhou reinforces family hierarchy and gender inequality, which is contrary to modern values of equality and freedom. For example, women’s activities generally take place in marginal spaces such as wing rooms and kitchens, which are extremely inaccessible and secretive, and their freedom is severely restricted, which is unacceptable in modern society. Similarly, the conservative cultural concepts of Huizhou’s traditional regional dwellings, which are centred and inwardly focused, conflict with modern open and inclusive life functions. Furthermore, defensive and closed spaces contradict the open and free lifestyle pursued by modern people. In summary, traditional regional dwellings in Huizhou need to be improved and innovated to meet the demands of modern life.
From a spatial typology perspective, this study explores the research limitations of Huizhou traditional regional dwellings and proposes strategies for the protection and utilization of new regional dwellings. The existing graphical characteristics of Huizhou traditional dwellings, which are based on planar forms, are highly valuable in the study of form induction and historical staging. Compared with previous studies, the traditional classification system has two main limitations. First, single-element-dominated spatial division logic (e.g., patio centrality) has difficulty integrating the synergistic relationship of multiple functional spaces, and it fails to systematically analyse the coupling relationship between living spaces (e.g., halls and wing rooms) and traffic flow lines and to establish the connecting relationship of functional zoning. Second, because of the lack of a calculable spatial connectivity index system, the morphology-oriented classification standard is not able to generate spatial prototypes suitable for the regional cultural lineage, and it is also difficult to realise the diversity of spatial combinations through parametric adjustments in response to the design of new residential dwellings in Huizhou.
In the study of traditional regional dwellings in Huizhou, research has started with the construction of topological databases, conservation principles and measures. Through the construction of a topological database, historical information on residential culture based on a specific period is systematically preserved. This process involves a comprehensive recording and analysis of the traditional regional dwellings of Huizhou, including their spatial layout, architectural form and the way they interact with the natural environment. Advanced technologies such as digital mapping are used to capture and store detailed information about the relevant dwellings accurately, thus providing data support for subsequent conservation and restoration work. In the construction of new regional dwellings, the design should focus not only on the form itself but also on the living habits of the residents to meet the needs for the use of new regional dwellings while reflecting the regional culture behind the buildings and guiding the diversified design of the new regional dwellings. This approach allows dwellings to conform to the architectural style of traditional regional dwellings while meeting the needs of modern economic and social development. This type of adaptive use can not only inject new vitality into traditional regional dwellings but also provide a systematic solution for the construction of new regional dwellings that combines the effectiveness of cultural inheritance and the value of engineering practice.
As an important spatial carrier of the Huizhou culture, the spatial connectivity of Huizhou traditional dwellings has important research value in history, culture and construction technology71. To understand the spatial structure of Huizhou traditional regional dwellings more comprehensively in the face of challenges such as ageing and functional alienation in the process of modernisation72, this study proposed a method of digital topological analysis, which overcomes the limitations of traditional morphological classification, establishes an analysis system of planar space, realises the visual translation of spatial mapping, and constructs a quantitative system of spatial connectivity, aiming at providing scientific theory and relevant bases for the preservation and revitalisation of architectural heritage.
The conclusions of this study are as follows. (1) Database establishment: A high-precision database is established by combining 3D laser scanning (accuracy ±1.5 mm) and manual mapping, covering more than 50 traditional regional dwellings in Huizhou. (2) Spatial mapping construction: Abstracting the physical space into topological nodes, this study extracted the Multi-layer and Multi-ring Type, Multi-layer and Multi-branch Type, and Multi-layer Tree Type as well as three types of holistic configurations, and the study resolved eight local loop characteristics: the Basic Ring Structure, Change Ring Structure, Front Ring Structure, End Ring Structure, Multiple Terminal Branch Structure, Multiple Front Branch Structure, Single-centre Single-branch Structure, and Single-centre Single-ring Branch Structure. (3) Spatial typing analysis: The relative asymmetry value (ηRA) was introduced to calculate spatial accessibility and classify four new types of spatial types, namely, the Hall Connection Type, Patio Connection Type, Walkway Connection Type, and Courtyard Connection Type. (4) Design and promotion of the application: on the basis of the above findings, the Patio Connection Type was selected as an experimental object to guide the new regional dwelling. which realised the ‘genes’ of architectural heritage empowering modern architectural design.
Moreover, this study also constructed the ‘theory–practice’ transformation closed loop of ‘gene decoding—carrier reconstruction—activation and continuation’. The study established a planar database and a topological database of regional dwellings in Huizhou, which provided a data basis for subsequent cross-regional comparative studies. On the one hand, the application of this quantitative technology can provide a more scientific basis for the classification of dwelling types. On the other hand, the use of visualisation techniques such as Sankey diagrams explains the mapping relationship between morphological and topological classifications, and this approach not only reveals the connection relationship between the functional spaces of the dwellings but also expands the perspectives and methods of spatial connectivity research, providing a new way of thinking for the stereotypical classification of traditional regional dwellings.
The research results reveal that a traditional regional dwelling is a complex system, and its spatial layout design requires further exploration of its coupling and correlation mechanisms. Moreover, the research results have important reference value for the progressive renewal and organic revitalisation of traditional regional dwellings in other areas, which contributes to the holistic protection and sustainable development of cultural heritage. This research not only enriches the theory of spatial analysis but also provides practical classification and design references for practitioners. Future research can further explore the dynamic characteristics of the spatial layout of traditional regional dwellings in depth to provide more theoretical support for the revitalisation and inheritance of cultural heritage.
Data availability
The authors confirm that all findings in this study are supported by data provided within the manuscript.
References
Hu, L. & Yang, T. Landed and rooted: a comparative study of traditional hakka dwellings (tulous and weilong houses) based on the methodology of space syntax. Buildings 13, 2644 (2023).
Tao, J. et al. Classification and distribution of traditional grass-roofed dwellings in china based on deep learning. Land 13, 1595 (2024).
Song, J., Zhao, S. & Kong, J. Residential space organization of the inner mongolia earth dwellings around the yellow river basin. Sustainability 15, 15027 (2023).
Menconi, M., Painting, N. & Piroozfar, P. Modelling and simulation of low-risk energy retrofit measures for traditional listed dwellings in the UK. Build. Eng. 82, 108346 (2024).
Wang, H., Pu, X. C., Wang, R. R., Zeng, Y. T. & Qi, X. F. A study on closed halls in traditional dwellings in the Jiangnan Area, China. J. Asian Archit. Build. Eng. 15, 139–146 (2016).
Kong, D. et al. Quantitative study on the color of traditional dwellings in Jianxi River Basin, Fujian Province, based on the lab color space model. J. Asian Archit. Build. Eng. 24, 1139–1165 (2025).
Cao, K., Liu, Y., Cao, Y., Wang, J. & Tian, Y. Construction and characteristic analysis of landscape gene maps of traditional villages along ancient Qin-Shu roads, Western China. npj Herit. Sci. 12. https://doi.org/10.1186/s40494-024-01155-y (2024).
Fairsali, M. & Daliaali, R. Assessment of elementary school buildings in Erbil city using space syntax analysis and school teachers′ feedback. Alexandria Eng. J. 58, 1039–1052,2023 (2019).
Zhang, D., Shan, X., Zhang, X., Chen, H. & Zheng, Y. Spatial feature analysis of the beijing forbidden city and the shenyang imperial palace based on space syntax. Buildings 13, 10 (2023).
Meng, D. & Zhang, J. The evolution of space syntax over the past two decades: evidence from China. J. Asian Archit. Build. Eng. 1–19. https://doi.org/10.1080/13467581.2024.2399739 (2024).
Al-Mohannadi, A. S. & Furlan, R. The syntax of the Qatari traditional house: privacy, gender segregation and hospitality constructing Qatar architectural identity. J. Asian Archit. Build. Eng. 21, 263–283 (2022).
Zolfagharkhani, M. & Ostwald, M. J. The spatial structure of yazd courtyard houses: a space syntax analysis of the topological characteristics of the courtyard. Buildings 11, 262 (2021).
Gao, R., Liu, J., Shi, Z., Zhang, G. & Yang, W. Patio design optimization for huizhou traditional dwellings aimed at daylighting performance improvements. Buildings 13, 583 (2023).
Cen, K., Rao, X., Mao, Z., Zheng, X. & Dong, D. A comparative study on the spatial layout of Hui-style and Wu-style traditional dwellings and their culture based on space syntax. Sustainability 15, 12398 (2023).
Huang, Z., Zhao, W., Wang, C., Lu, Y. & Zhang, Y. Inheritance design of residence based on Huizhou traditional dwellings. J. Asian Archit. Build. Eng. 24, 835–850 (2025).
Ma, X., Su, X., Guo, Y. & Zhang, L. Research on rural environments’ effects on well-being: the Huizhou area in China. ISPRS Int. J. Geo-Inf. 13, 189 (2024).
Zhang, Y. The ancestral hall and ancestor veneration narrative of a Huizhou lineage in Ming–Qing China. J. Asian Archit. Build. Eng. 22, 2006–2019 (2023).
Cao, Z. & Mustafa, M. B. A study of ornamental craftsmanship in doors and windows of Hui-style architecture: the Huizhou three carvings (brick, stone, and wood carvings. Buildings 13, 351 (2023).
Del, M. S. T. T. & Tabriz, S. K. A methodological assessment of the importance of physical values in architectural conservation using Shannon entropy method. J. Cult. Herit. 44, 135–151 (2020).
Fang, Q. & Li, Z. Cultural ecology cognition and heritage value of huizhou traditional villages. Heliyon 8, e12627 (2022).
Geng, D. Progressive conditional generative adversarial network optimized with archimedes optimization algorithm fostered inheritance and innovation of huizhou carving culture. J. Int. J. Comput. Intell. Syst 17, 284 (2024).
Coloma, J. F., Valverde, L. R. & García, M. Estimación de los costes de construcción de viviendas rústicas mediante Redes Neuronales Artificiales. Inf. Constr. 71, e293 (2019).
Singla, J. G. & Shirke, K. S. Virtual reality, augmented reality and its potential use case in space engineering. Curr. Sci. 127, 175 (2024).
Zhang, C., Qiu, J., Guan, X., Hou, P. & Huang, W. Driving force of housing industrialization based on brain cognitive neuroscience. Neuro Quantology 16, 561–566 (2018).
Owen, C. & Crane, J. Trauma-informed design of supported housing: a scoping review through the lens of neuroscience. Int. J. Environ. Res. Public. Health 19, 14279 (2022).
Hillier, B. Space is the Machine: A Configurational Theory of Architecture 08–12 (Cambridge University Press, 1996).
Hillier, B., Hanson, J. & Allen, T. The Social Logic of Space 15–22 (Cambridge University Press, 1988).
Lai, Q., Liu, W., Li, X. & Jin, Q. Spatial characteristics and cultural factors of Yi nationality traditional dwellings based on spatial syntax. Front. Earth Sci. 11, 1330142 (2023).
Khatibi, M., Khaidzir, K. A. M., Syed Mahdzar, S. S. & Sharifi, A. Measuring spatial configurations for spatial neighborhood sustainability assessment. Environ. Dev. Sustain. 26, 19177–19194 (2023).
Sun, M. & Meng, Q. Using spatial syntax and GIS to identify spatial heterogeneity in the main urban area of Harbin, China. Front. Earth Sci. 10, 893414 (2022).
Ayyıldız, S. & Durak, Ş Space Syntax Analysis of the Spatial Configuration of Yalova Traditional Rural Houses. Nexus Netw. J. 26, 27–48 (2024).
Kang, C.-D. Measuring Urban Form and Its Effects on Urban Vitality in Seoul, South Korea: Urban Morphometric Approach. J. Urban Plan. Dev. 150, 05024019 (2024).
Kim, J. & Kwak, D. Extraction of spatial genetic characteristics and analysis of 1930s Korean Urban Hanok based on application of space syntax. J. Asian Archit. Build. Eng. 21, 197–210 (2022).
Zhao, Y., Luo, Z. & Huang, K. Characterization of public space forms in traditional Chinese villages based on spatial syntax: Zhangli village as an example. J. Asian Archit. Build. Eng. 1–22. https://doi.org/10.1080/13467581.2024.2366811 (2024).
Xu, Y. et al. Towards sustainable heritage tourism: a space syntax-based analysis method to improve tourists’ spatial cognition in Chinese Historic Districts. Buildings 10, 29 (2020).
Xu, Y., Rollo, J. & Esteban, Y. Evaluating experiential qualities of historical streets in Nanxun Canal Town through a space syntax approach. Buildings 11, 544 (2021).
Zhou, K., Wu, W., Dai, X. & Li, T. Quantitative estimation of the internal spatio–temporal characteristics of ancient temple heritage space with space syntax models: a case study of daming temple. Buildings 13, 1345 (2023).
Askarizad, R., Lamíquiz Daudén, P. J. & Garau, C. The application of space syntax to enhance sociability in public urban spaces: a systematic review. ISPRS Int. J. Geo-Inf. 13, 227 (2024).
Reiko, S., Kaname, Y. & Shinko, S. Spatial organisation of ‘therapeutic’ spaces for autistic children in special schools: lessons learnt from the United Kingdom experience. J. Asian Archit. Build. Eng. 22, 620–634 (2022).
Jiang, Y., Duan, J. & Zhang, Y. The spontaneous spatial restructuring of traditional village based on an analysis of social relationship: a case in Fuling, Fujian China. Habitat Int. 157, 103309 (2025).
Ding, M. & Li, J. The spatial organization analysis of the ancient dwellings entrances of Huizhou Dwellings. Huazhong Architecture 31, 131–135 (2013).
Le, Q. uangH. oai et al. Sensing perceived urban stress using space syntactical and urban building density data: A machine learning-based approach. Building Environ. 266, 112054 (2024).
Parsaee, M., Parva, M. & Karimi, B. Space and place concepts analysis based on semiology approach in residential architecture. HBRC J. 11, 368–383 (2015).
Pei, Y., Gong, K. & Leng, J. Study on the inter-village space of a traditional village group in Huizhou Region: Hongguan Village group as an example. Front. Archit. Res. 9, 588–605 (2020).
Hu, X., Li, H., Zhang, X., Chen, X. & Yuan, Y. Multi-dimensionality and the totality of rural spatial restructuring from the perspective of the rural space system: A case study of traditional villages in the ancient Huizhou region, China. Habitat Int. 94, 102062 (2019).
Fang, H., Ji, X., Chu, Y., Nie, L. & Wang, J. Study on skywell shape in Huizhou traditional architecture based on outdoor wind environment simulation. Sustainability 15, 8270 (2023).
Shou, T. The elastic enclosed-field: diagrammatizing the tectonic logics of space in Huizhou vernacular architecture. Architectural Journal 2, 35–36 (2023).
Shou, T., Zhang, T. & Trubiano, F. The ‘aggregation’ of the land —the tectonic approach of topographical elements in the field of vernacular architecture. J. Hum. Settl. WEST CHINA, 037–308. https://doi.org/10.1080/13467581.2024.2399739 (2016).
Pei, Q., Zhang, D. Z. & Lee, H. F. Contextualizing human migration in different agro-ecological zones in ancient China. Quat. Int. 426, 65–74 (2016).
Wu, Y., Hua, B., Chen, S. & Yang, J. FDS-based study of the fire performance of Huizhou fire seal walls in traditional residential buildings in Southern China. Fire 6, 388 (2023).
Shan, D. Anhui Folk Houses 135–160 (China Architecture & Building Press, 2009).
Huang, J., Huang, W., Quan, W. & Xing, Y. Hybrid intelligent model for estimating the cost of huizhou replica traditional vernacular dwellings. Buildings 14, 2623 (2024).
Li, Y., Li, J. & Chu, J. Research on the Revitalization of Huizhou Traditional Villages Based on the PAF Model. J. Asian Archit. Build. Eng. 22, 3703–3717 (2023).
Shou, T. The Research of the Tectonic System of Huizhou Vernacular Architecture (Southeast University). https://doi.org/10.27014/d.cnki.gdnau.2020.00017.
Wang, S. & Li, M. Traditional Chinese Villages Memory·Anhui Volume (China Agricultural Science and Technology Press, 2018).
K. Gong, ‘Traditional Villages in Modernization: A Survey of Historical and Cultural Villages in Jiangsu 2023.’ China Architecture & Building Press, 2023.
Chen, Y. et al. Space as sociocultural construct: reinterpreting the traditional residences in Jinqu Basin, China from the perspective of space syntax. Sustainability 13, 9004 (2021).
Wang, F. et al. A study on native and constructed localities in the modern adaptation of villages. Habitat Int. 138, 102849 (2023).
Nieto-Reyes, A. & Battey, H. A topologically valid construction of depth for functional data. J. Multivar. Anal. 184, 104738 (2021).
Yaseen, F. R. & Mustafa, F. A. Visibility of nature-connectedness in school buildings: an analytical study using biophilic parameters, space syntax, and space/nature syntax. Ain Shams Eng. J. 14, 101973 (2023).
Wu, W., Kai, Z., Li, T. & Dai, X. Spatial configuration analysis of a traditional garden in Yangzhou City: a comparative case study of three typical gardens. J. Asian Archit. Build. Eng. 24, 593–604 (2024).
Ashabi, A., Mostafa, M., Hryshchenko, A., Bruton, K. & Dominic, T. J. O. Design and utilization of a decision support tool to advance energy efficiency in industries. Energy 308, 132975 (2024).
Biller, H. & Leaman, A. How is design possible? Journal of Architectural Research 3, 4–11 (1974).
H. Biller, H. Space Syntax: A Configurational Theory of Architecture (Cambridge University Press, 2007).
Hanson, J. Decoding Homes and Houses (Cambridge Universiy Press, 1998).
Xie, H., Gan, W., Yu, J., Xiong, P. & Liu, Q. Optimization strategies and research on the spatial characteristics of historical blocks based on spatial syntactic: a case study of hankou original french concession historical block in Wuhan City. Huazhong Architecture 43, 68–73 (2024).
Esposito, D., Santoro, S. & Camarda, D. Agent-based analysis of urban spaces using space syntax and spatial cognition approaches: a case study in Bari, Italy. Sustainability 12, 4625 (2020).
Yoo, C. & Lee, S. when organic urban forms and grid systems collide: application of space syntax for analyzing the spatial configuration of Barcelona, Spain. J. Asian Archit. Build. Eng. 16, 597–604 (2017).
Kishimoto, T. & Taguchi, M. Spatial configuration of japanese elementary schools: analyses by the space syntax and evaluation by school teachers. J. Asian Archit. Build. Eng. 13, 373–380 (2014).
Kawasaki, T. et al. Changes in the higher-level functional capacities for modern daily living in community-dwelling stroke survivors: a preliminary case series. Front. Neurol. 13, 948494 (2022).
ZHUANG, J., ZHANG, G., CHENG, J. & Duan, Y. A comparative study on the morphological characteristics of Hui-style and Gan-style traditional dwellings based on quantitative methods: a case study of Wuyuan County and Jinxi County. Chongqing Archit. 23, 5–11 (2024).
Cheng, H., Jiang, W., Zhang, Z., Li, X. & Liu, J. Performance attribute identification and mechanism of huizhou residential architecture space. World Archit. 10, 100–105 (2024).
Acknowledgements
This work was supported by Natural Science Foundation of China project ‘Research on Ergonomics Assessment and Spatial Optimization Response of Non-Typical Traditional Villages in Southern Anhui from the Perspective of Residents and Tourists Symbiosis’ (Grant No. 52378001) and Anhui Province University Outstanding Scientific Research and Innovation Team (Grant No. 2022AH010021) and Anhui Province University Collaborative Innovation Project (GXXT-2023-047) and Anhui Jianzhu University Introduction of Talents and Doctoral Start-up Fund Project (2023QDZ14).
Author information
Authors and Affiliations
Contributions
Conceptualisation—Q.W., Q.Y., Z.L., and G.C.; Methodology—Q.W. and Q.Y.; Software—Q.W.; Data curation—Q.Y., X.G.; Formal analysis—Q.W.; Investigation—Q.W., and Z.L.; Visualisation—Z.L. and G.C.; Validation—X.G.; Resources—Q.Y. and X.G.; Supervision—Z.L. and G.C.; Funding acquisition—Z.L.; Writing—original draft—Q.W. and Q.Y.; Writing—review & editing—G.C. and Z.L. All authors have read and agreed to the published version of the manuscript.
Corresponding author
Ethics declarations
Competing interests
The authors declare no competing interests.
Additional information
Publisher’s note Springer Nature remains neutral with regard to jurisdictional claims in published maps and institutional affiliations.
Supplementary information
Rights and permissions
Open Access This article is licensed under a Creative Commons Attribution-NonCommercial-NoDerivatives 4.0 International License, which permits any non-commercial use, sharing, distribution and reproduction in any medium or format, as long as you give appropriate credit to the original author(s) and the source, provide a link to the Creative Commons licence, and indicate if you modified the licensed material. You do not have permission under this licence to share adapted material derived from this article or parts of it. The images or other third party material in this article are included in the article’s Creative Commons licence, unless indicated otherwise in a credit line to the material. If material is not included in the article’s Creative Commons licence and your intended use is not permitted by statutory regulation or exceeds the permitted use, you will need to obtain permission directly from the copyright holder. To view a copy of this licence, visit http://creativecommons.org/licenses/by-nc-nd/4.0/.
About this article
Cite this article
Wang, Q., Yuan, Q., Li, Z. et al. Study on the spatial relationships of traditional regional dwellings in Huizhou district. npj Herit. Sci. 13, 238 (2025). https://doi.org/10.1038/s40494-025-01805-9
Received:
Accepted:
Published:
Version of record:
DOI: https://doi.org/10.1038/s40494-025-01805-9





















