Abstract
During the Sui and Tang Dynasties, Deqing Kiln in the Taihu Lake region produced black- and celadon-glazed ceramics widely distributed across East Asia. This study investigates how maritime trade influenced production strategies at the kiln site. Using XRF, SEM, and PCA, we analyzed ceramics from Deqing and the contemporaneous Xuanzhou Kiln. Results reveal refined raw material selection, improved firing control, and increased standardization during the Sui and Tang Dynasty. Rather than a decline in quality, changes in product characteristics reflect a strategic shift toward efficient, scalable production for trade. This study underscores Deqing Kiln’s technological adaptability and managerial sophistication during a key period of early Chinese ceramic globalization.
Similar content being viewed by others
Introduction
During the Sui (581–618AD) and Tang Dynasties (618–907AD), China experienced a golden age of economic prosperity and cultural exchange1,2. Institutional reforms, advancements in transportation3, and growing maritime networks contributed to a thriving trade industry4,5,6,7,8,9. The development of ceramics played a crucial role in this trade10,11, particularly in regions such as the Taihu Lake region, where the Deqing Kiln was one of the most significant ceramic production sites (Fig. 1). The Deqing Kiln reached its peak production capacity during this period, not only catering to domestic markets but also actively participating in international trade.
A Regional map showing the locations of Deqing Kiln, Xuanzhou Kiln, Qinglongzhen Site, and Tai Lake; B Distribution of identified Deqing Kiln sites.
Deqing kiln’s peak production period coincided with the rise of Tang maritime trade. In 600 AD, Japan began dispatching envoys to China to learn from the Tang Dynasty, fostering Sino-Japanese trade12,13. Particularly from the 670 s onward, Japanese envoys switched to entering China via the Yangtze River estuary, establishing a direct East China Sea route, which further facilitated the export of Taihu Lake region ceramics to Japan14. Given Deqing’s developed waterway system and proximity to the Yangtze River estuary, the Deqing Kiln had a geographical advantage for maritime trade. Typological research has shown that Deqing Kiln products had already been exported overseas since the Eastern Jin (317–420AD) and Southern Dynasties (420–589AD), with finds in Baekje sites in Korea15 and large quantities discovered at the Qinglong Town port site in Shanghai China16,17,18.
Amid rapid economic growth and thriving trade during the Sui and Tang dynasties, the Deqing Kiln reached the pinnacle of its development, with a substantial increase in production volume. It emerged as the ceramics manufacturing centre of the Taihu Lake region and became the most significant kiln site in the lower Yangtze River area during this period. The Deqing Kiln first appeared in the late Eastern Han Dynasty (25–220AD), evolved throughout the Three Kingdoms (220–280AD) and Western Jin periods (266–317AD), peaked during the Eastern Jin (317–420AD) and Southern Dynasties (420–589AD), and ceased operation by the late-Tang Dynasty (705–907AD)19,20. Its kilns, known for jointly firing celadon-glazed and black-glazed ceramics, were primarily distributed across Deqing, Yuhang, and southern Huzhou along the middle and lower reaches of the East Tiaoxi River. The earliest written reference to the term “Deqing Kiln” appeared in A Draft History of Chinese Celadon by Japanese scholar Fujio Koyama. Formal archaeological surveys and excavations began in 1956, and over the subsequent seventy years, extensive archaeological findings have established a comprehensive developmental chronology of the kiln from the late Eastern Han Dynasty to the Sui and Tang eras21,22.
Currently, archaeometric studies on Deqing kiln products remain scarce, with particularly limited understanding of ceramic technologies used during the Sui and Tang Dynasties. In 1979, Ling Zhida conducted analytical studies on black-glazed ceramics from seventeen kiln sites in both northern and southern China, comparing the differences in ceramic bodies and glazes among these regions. However, samples from Deqing Kiln were notably absent23. In 2023, Li Gen investigated the presence of ε-Fe2O3 in Tang Dynasty black-glazed ceramics from the Deqing kilns, suggesting that this represents the earliest known artificially synthesized ε-Fe2O324.
Despite the importance of the Deqing Kiln in ancient ceramic production and trade, comprehensive scientific research on its technological attributes remains limited. This study seeks to address this gap by applying modern analytical techniques to examine the composition, structure, and technological characteristics of Deqing ceramics, thereby shedding light on the sophisticated craftsmanship of this influential kiln.
Methods
This study collected 43 ceramic samples from four Sui and Tang Dynasty kiln sites in Deqing: Gangdong No.1 Kiln, Gangdong No.2 Kiln, Qianshan Kiln, and Shuyuantou Kiln (Fig. 2, Table S1). The samples represent a variety of ceramic forms, including bowls, plates, and jars, which were classified into two major phases: Sui to early Tang (hereafter referred to as the Sui Dynasty) and mid-to-late Tang (hereafter referred to as the Tang Dynasty). Bowls and plates from the Sui Dynasty were characterized by either partial glazing on both inner and outer surfaces or fully glazed interiors with partially glazed exteriors (Fig. 2A). By the Tang Dynasty, this evolved into fully glazed interiors and exteriors (Fig. 2C). Jars from the Sui Dynasty were characterized by unglazed interiors and partially glazed exteriors (Fig. 2B), evolving later to fully glazed exteriors during the Tang Dynasty (Fig. 2C). The distinguishing typological features of these ceramics were analyzed in conjunction with chemical and micro-structural characteristics19.
Representative photographs of ceramic samples of Sui and Tang Dynasties from Deqing Kiln (Zhejiang Province) and Xuanzhou Kiln (Anhui Province).
For comparative purposes, 26 ceramic samples from the Xuanzhou Kiln in Anhui Province25, a contemporary kiln that also produced black and celadon-glazed ceramics, were analyzed. Given its proximity to Deqing and its similar ceramic production techniques, Xuanzhou Kiln serves as an ideal reference point for understanding regional variations in ceramic technology (Fig. 2M–P).
The study employed a multi-faceted analytical approach to assess the composition and structural attributes of the ceramics. The Bruker Tracer 5 g energy-dispersive X-ray fluorescence spectrometer (XRF) was utilized to determine the major and trace elemental composition of the ceramic bodies and glazes26,27. Elemental micro-distribution was conducted using a Bruker M4 Tornado. Microstructural features were examined using a Thermo Scientific Phenom XL scanning electron microscope (SEM), which provided high-resolution imaging of the ceramic matrix, glaze, and intermediate layers. All data analyses are conducted using R version 4.4.328,29.
Results
Ceramic body
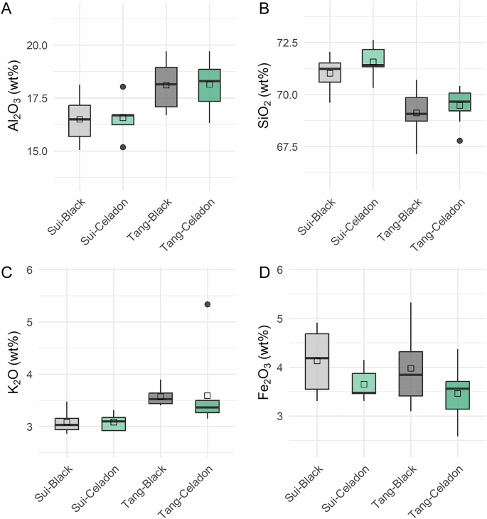
The Deqing Kiln ceramics are characterized as high-silica, low-alumina products. The ceramic body composition analysis reveals that SiO2 and Al2O3 contents are high, while K2O and Fe2O3 range between 1-5%, with other major elements below 1% (Table S2). Over time, Al2O3 content increased, while SiO2 and Fe2O3 decreased, indicating technological advancements (Fig. 3). The higher Al2O3 content improved structural stability, and the lower Fe2O3 content lightened the ceramic body colour. Black and celadon ceramics have similar compositions but differ in Fe2O3 levels, suggesting distinct raw material processing methods.
Boxplot of the major elemental contents in the body of Deqing Kiln ceramics.
The XRF trace element contents of ceramic bodies from Deqing kiln products are shown in Table S3. Overall, the trace element variations between the Sui and Tang Dynasties are minor; although slight differences in Rb, Sr, Zr, and Ba are observable, these variations remain relatively limited. Additionally, differences between black-glazed and celadon-glazed ceramics within and across these periods are also minimal.
From the SEM images (Fig. 4), it is evident that the ceramic bodies of Deqing wares exhibit relatively fine particles and uniformly distributed small pores with no apparent structural defects, reflecting a well-controlled manufacturing process. A comparison between samples from the Sui and Tang Dynasties reveals progressive improvements in raw material processing, the average grain size decreased notably from the Sui period to the Tang period, indicating enhanced grinding and particle sorting. These changes demonstrate the development of more refined ceramic body preparation techniques over time. Furthermore, no significant structural differences are observed between black-glazed and celadon-glazed wares, suggesting a high degree of standardization across different product types.
The rest of the legend has been removed, as the specific information for each panel (A-L) is already clearly labeled within the figure itself.
Glaze
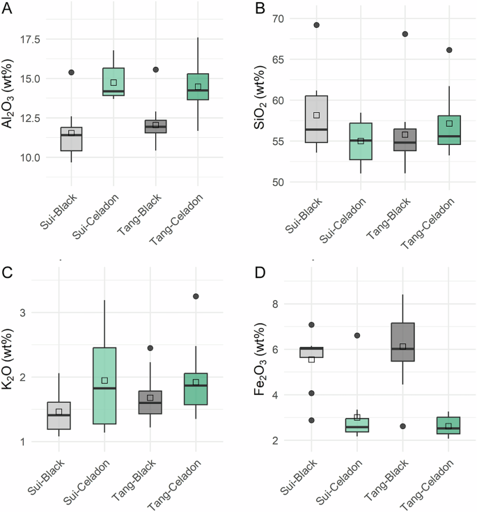
Both black and celadon glazes are calcium-based30. The black glaze has higher Fe2O3 content, while the celadon glaze has higher Al2O3 (Table S4, Fig. 5). These variations suggest deliberate manipulation of raw materials or firing conditions tailored specifically for achieving desired aesthetic outcomes. The SEM data (Fig. 4) show that the glaze layers of both black-glazed and celadon-glazed ceramics became noticeably thinner from the Sui to the Tang Dynasty. This change may be related to improvements in body fabrication techniques, higher-quality ceramic bodies could achieve desirable aesthetic and functional effects without requiring a thick glaze coating. Additionally, thinner glazes are easier to fire and help reduce production costs. This transformation aligns with the increased demand for large-scale ceramic production during the expansion of maritime trade in the Tang Dynasty.
Boxplot of the major elemental contents in the glaze of Deqing Kiln ceramics.
The trace element contents of celadon and black glazes are very similar, indicating similar raw materials for glaze production. However, there are significant differences in trace element contents between the ceramic body and glaze, particularly in Sr content, suggesting different raw material sources (Table S5).
Intermediate layer
In the elemental micro-distribution maps of Deqing kiln ceramics (Fig. 6), an intermediate layer between the glaze and ceramic body can be clearly observed. During firing, the glaze melts earlier than the ceramic body, infiltrating into the ceramic body and forming this intermediate layer. This layer can be considered as a ceramic body containing a small amount of glaze31,32. Its Fe2O3 content is lower than that of the ceramic body, resulting in a visibly lighter color. Overall, the composition of the intermediate layer is relatively close to that of the ceramic body, which reflects immature ceramic-making technology during the Sui and Tang Dynasties. From the elemental micro-distribution maps, the Ca content follows the order: glaze > intermediate layer > ceramic body, while Fe content follows the order: ceramic body > intermediate layer > glaze. This intermediate layer is present in ceramics from both the Sui Dynasty (Fig. 6A, B) and the Tang Dynasty (Fig. 6C, D), as well as in products from the nearby Xuanzhou kiln (Fig. 6E, F). Additionally, there is no significant difference in ceramic body structure between black-glazed and celadon-glazed wares from Deqing kilns, demonstrating consistent structural characteristics (Fig. 4).
A, B ZJQS-7, Sui Dynasty; C, D ZJGD2-8, Tang Dynasty; E, F AHXZ-8, Tang Dynasty.
Discussion
The PCA analysis33,34 of elemental contents of ceramic bodies excavated from four kiln sites of Deqing kilns is presented in Fig. 7A. Results show no significant differences among these kiln sites, indicating a relatively standardized and mature ceramic body manufacturing technology at Deqing kilns. This standardization ensured consistent product quality across different batches and kiln sites. Such standardization likely reflects coordinated kiln management and specialized craftsmanship aimed at meeting increasing market demand during the Tang Dynasty’s commercial expansion. Typological analysis suggests that while Deqing kilns reached their peak product refinement during the Eastern Jin and Southern Dynasties, the Sui and Tang periods witnessed strategic adjustments in production focus. In response to growing maritime trade, kiln administrators prioritized standardization and efficiency over artisanal complexity. This shift did not imply a decline in technological capability, but rather reflects a deliberate balance between production volume and consistent quality to maximize economic benefit and trade compatibility35.
A Grouping by kiln site; B grouping by chronological period.
PCA analysis across different periods (Fig. 7B) reveals two distinct groups representing the Sui and Tang Dynasties, respectively, indicating technological changes in ceramic body manufacturing over time. Therefore, the chronological phases of Deqing kiln products can be identified by period-specific technological characteristics, offering crucial insights for future maritime trade studies.
The PCA analysis of elemental contents in the glaze of Deqing kiln products demonstrates that black glaze and celadon glaze can be clearly distinguished (Fig. 8A), consistent with the results of elemental composition analysis. No significant differences in glaze compositions were observed among different kiln sites, indicating relatively standardized glaze production techniques across the kiln sites (Fig. 8B). Additionally, the developmental changes in celadon glaze (Fig. 8C) and black glaze (Fig. 8D) between the Sui and Tang Dynasties are not apparent, making them challenging to differentiate by period.
A Grouping by glaze color; B grouping by glaze color and kiln site; C celadon-glazed ceramics grouped by kiln site and chronological period; D black-glazed ceramics grouped by kiln site and chronological period.
The microstructural advancements further support the notion of technological improvement from the Sui to Tang Dynasties. The thinning of the glaze layer, likely aimed at conserving glaze materials and improving firing efficiency, reflects greater control over firing parameters. The enhanced particle sorting suggests a shift toward more standardized and purified clay preparation techniques. Such structural refinements demonstrate a nuanced evolution of production techniques, highlighting Deqing kilns’ capacity for technical adaptation during a period of expanding maritime demand.
Overall, ceramic technology at Deqing kilns improved significantly from the Sui to Tang Dynasties. Production scale and output during the Tang Dynasty far exceeded those of the Sui, and product quality became more consistent and standardized. These changes reflect not only improvements in manufacturing processes and materials control but also strategic management decisions tailored to the demands of long-distance trade. The evolution of Deqing’s ceramic production illustrates a sophisticated understanding of balancing craftsmanship, efficiency, and commercial adaptability.
The black-glazed ceramics of the Deqing Kiln are highly characteristic of their time. Most existing research on black-glazed ware has focused on those produced in Fujian during the Song Dynasty36. However, the black-glazed ceramics from Deqing Kiln appeared several centuries earlier. At that time, Deqing was already capable of producing high-quality black-glazed wares on a large scale. Despite this early achievement, the historical significance of Deqing’s black-glazed ceramics has remained largely overlooked.
Based on elemental content (Table S6) and PCA analysis (Fig. 9), the ceramic body and glaze compositions of Deqing and Xuanzhou Kiln products are very similar, indicating similar ceramic production technologies. Although both kiln complexes shared similar ceramic formulations, Deqing Kiln ceramics demonstrate greater uniformity and superior overall quality, highlighting Deqing’s leading role in ceramic production within the Taihu Lake region during the Sui and Tang Dynasties. This technological superiority provided Deqing kilns with a competitive advantage in domestic markets and significantly facilitated its role in international maritime trade, further attested by archaeological discoveries of Deqing ceramics in overseas contexts.
A Grouping by kiln site based on ceramic body composition; B grouping by kiln site basedon glaze composition; C grouping by kiln site based on celadon glaze composition; D grouping by kiln site based on black glaze composition.
Given these findings, Deqing Kiln offers significant potential for future research as a focal point to explore technological exchange and the development of trade networks. Investigating its interactions with contemporaneous kilns, material sourcing strategies, and production management could greatly enhance our understanding of ancient ceramic economies and maritime trade dynamics in East Asia.
This study highlights Deqing Kiln’s prominent role as a ceramic production center during the Sui and Tang Dynasties, marked by technological innovation, consistent quality control, and significant output expansion. The detailed characterization presented here reveals a sophisticated understanding of raw material properties and standardized manufacturing techniques. This technological refinement observed in ceramic bodies and glazes facilitated Deqing Kiln’s active participation in early international maritime trade networks.
Previous maritime trade research has predominantly focused on shipwreck and port-site materials, often neglecting the impact of large-scale trade on kiln-site production. This study uniquely emphasizes the Sui and Tang Dynasties—a pivotal era marking the rise of large-scale ceramic trade in ancient China. By examining Deqing Kiln, this study clearly demonstrates the direct influence of expansive maritime commerce on production practices, technological improvements, and product quality stabilization. The kiln administrators strategically balanced production volume with quality, demonstrating significant managerial capability and operational efficiency achieved during the Sui and Tang Dynasties.
Through comprehensive analysis of Deqing Kiln’s ceramic production technology, this study contributes to a broader understanding of medieval ceramic trade and technological exchanges in East Asia. Moreover, comparative analyses with contemporaneous regional kilns underscore Deqing Kiln’s technological excellence and its strategic commercial orientation. These findings significantly enhance our understanding of ancient Chinese ceramics’ production, distribution, and trade dynamics. Future research can build upon these insights by exploring technological interactions among kiln sites, tracing material sourcing networks, and examining the broader implications of ceramic technologies within East Asian maritime commerce.
Data availability
All data generated or analyzed during this study are included in this published article and its supplementaryinformation files.
Code availability
All data processing and visualization were performed using standard functions in R (version 4.4.3).
References
Lewis, M. E. China’s cosmopolitan empire: the Tang Dynasty. (Belknap Press of Harvard University Press, 2009).
Ditter, A., Choo, J. & Allen, S. Tales from Tang Dynasty China: Selections from the Taiping Guangji. (Hackett Publishing, 2017).
Jun, K. Archaeological evidence of shipping and shipbuilding along the Maritime Silk Road. The Maritime Silk Road. 97, https://doi.org/10.5117/9789463722247_CH04 (2022).
Wei, J. G. Reasons of the emergence of Maritime Silk Road in Tang Dynasty. World. Reg. Stud. 28, 172 (2019).
Qin, D. & Ding, Y. Maritime Silk Road. Rehren T Encyclopedia of Archaeology. 629–644 (Academic Press Oxford, 2024).
Meicun, L. & Zhang, R. The Silk Road: Intercontinental Trade and the Tang Empire. China: Visions through the Ages (eds. Bekken, D., Niziolek, L. & Feinman, G.) 257–276; (University of Chicago Press, 2007).
Schottenhammer, A. Imperial Maritime China; https://doi.org/10.1093/acrefore/9780190277727.013.209 (Oxford Research Encyclopedia of Asian History, 2019).
Dong, X. R. The maritime silk road. Routledge Handbook of the Belt and Road. 68–73 (Routledge, 2019).
Li, B. Communication, Civilization and China: Discovering the Tang Dynasty (618–907) https://doi.org/10.1007/978-981-15-7808-3 (Springer Nature, 2020).
Miksic, J. N. Chinese ceramics on the Maritime Silk Road. Marit. Silk Road. 7, 179 (2022).
Zhang, R. Chinese ceramics as global commodities: a thousand years of production and trade of Chinese ceramics in the Western Indian Ocean. World Archaeol. 55, 411–427 (2023).
Bentley, T. H. Trade in the East and South China Seas, 600 CE to 1800 CE (Oxford Research Encyclopedia of Asian History, 2018).
Wang, X. Q. China and Japan—mutual understandings. The History of China–Japan relations: from ancient world to modern international order. 237-281 (Springer Nature Singapore, 2023).
Sattler, G. Zhedong Sea Merchants and the China-Japan Trade, ca. 800–1000 CE. J. Song-Yuan Stud. 53, 59–92 (2024).
Daegu National Museum. Chinese Ceramics in Korean Culture (Daegu National Museum, 2004) (in Korean).
Wang J. W. From excavated porcelain to the foreign trade of Qinglongzhen Site (Wenhui Daily, 2017) (in Chinese).
Shanghai Museum. Archaeological Excavation Report of Qinglong Town (2010–2015) (Shanghai Classics Publishing House, 2022) (in Chinese).
Wang, E. Y. et al. Provenance study of ceramic sherds excavated from Qinglong Town site during Tang and Song Dynasties by composition and petrography analysis. J. Archaeol. Sci. Rep. 38, 103–112 (2021).
Zheng, J. M. Brief. Discussion Deqing kiln. Cult. Relics 7, 50–60 (2011). (in Chinese).
Zhu, J. M. Preliminary exploration of Deqing Kiln Sites of the Sui and Tang Dynasties, Studies on Ancient Chinese Ceramics, vol. 3. 72 (Forbidden City Press, 1990) (in Chinese).
Wang, Y. Investigation notes on Deqing kiln. Cult. Relics. 10, 60–62 (1957) (in Chinese).
Wang, S. L. Ceramics of Deqing kiln. Cult. Relics 12, 51–52 (1959).
Hao, X. L. & Zheng, J. M. New archaeological progress on northern black-glazed kiln sites since the 21st Century. Wenwu Tiandi. 10, 88 (2019).
Li, G. et al. The earliest known artificial synthesized ε-Fe2O3 in the Deqing Kiln ceramic ware of Tang Dynasty. Herit. Sci 11, 58 (2023).
Wang, D. D. & Liu, D. Preliminary study on Xuanzhou kiln ceramics. Wenwu Chunqiu. 3, 48–53 (2019).
Baxter, M. J. A review of supervised and unsupervised pattern recognition in archaeometry. Archaeometry 48, 671–694 (2006).
Drennan, R. D. Statistics for archaeologists: a common sense approach (Springer, 2010).
James, G., Witten, D., Hastie, T. & Tibshirani, R. An introduction to statistical learning (Springer, 2013).
R Core Team. R: A language and environment for statistical computing. R Foundation for Statistical Computing, Vienna, Austria https://www.R-project.org/ (2024).
Pradell, T. & Molera, J. Ceramic technology. How to characterise ceramic glazes. Archaeol. Anthropol. Sci. 12, 189 (2020).
Li, G. X. et al. Research on Glaze-Coloring Mechanism of the Light Sky-blue Series of Ancient Jun Guan Porcelains using Modern Analysis Techniques. Recent Advances in the Scientific Research on Ancient Glass and Glaze. 375–384 (2016).
Li, F. et al. A mini-review on Chinese ancient porcelain research: application of EDXRF technology in archaeology and cultural heritage conservation. X-Ray Spectrometry; https://doi.org/10.1002/xrs.3475 (2025).
Greenacre, M. et al. Principal component analysis. Nat. Rev. Methods Prim. 2, 100 (2022).
Jolliffe, I. T. & Cadima, J. Principal component analysis: a review and recent developments. Philosophical transactions of the Royal Society A: mathematical. Phys. Eng. Sci. 374, 2065 (2015).
Fang, L. L. Ceramics of the Sui, Tang and Five Dynasties. The History of Chinese Ceramics. 227–353 (Springer Nature Singapore, 2023).
Tao, S. et al. Morphology and structure characteristics of the rare black-glazed porcelains excavated from the Jian Kiln site of song dynasty. Crystals 13, 632 (2023).
Acknowledgements
This work was supported by Shanghai Philosophy and Social Sciences Planning Project (2020ELS001). We appreciate the help of Deqing Museum. This research used resources of the Institute of Science and Technology Archaeology and Department of Cultural Relics and Museology of Fudan University.
Author information
Authors and Affiliations
Contributions
B.Y. conducted sample processing, experimental design, analysis, testing, and article writing. Z.J.M. contributed to article revision. Z.J.Z. and S.L. provided samples. W.M. performed sample testing. H.X.L., Z.Z.H., Z.X.Y., C.M.Q.N., S.G.W., and W.Q. participated in field investigations and sample collection. All authors have read and approved the manuscript.
Corresponding authors
Ethics declarations
Competing interests
The authors declare no competing interests.
Additional information
Publisher’s note Springer Nature remains neutral with regard to jurisdictional claims in published maps and institutional affiliations.
Supplementary information
Rights and permissions
Open Access This article is licensed under a Creative Commons Attribution 4.0 International License, which permits use, sharing, adaptation, distribution and reproduction in any medium or format, as long as you give appropriate credit to the original author(s) and the source, provide a link to the Creative Commons licence, and indicate if changes were made. The images or other third party material in this article are included in the article’s Creative Commons licence, unless indicated otherwise in a credit line to the material. If material is not included in the article’s Creative Commons licence and your intended use is not permitted by statutory regulation or exceeds the permitted use, you will need to obtain permission directly from the copyright holder. To view a copy of this licence, visit http://creativecommons.org/licenses/by/4.0/.
About this article
Cite this article
Bao, Y., Si, H., Wang, M. et al. Technological characterization and maritime trade implications of Sui Tang dynasty Deqing Kiln ceramics. npj Herit. Sci. 13, 302 (2025). https://doi.org/10.1038/s40494-025-01867-9
Received:
Accepted:
Published:
Version of record:
DOI: https://doi.org/10.1038/s40494-025-01867-9











