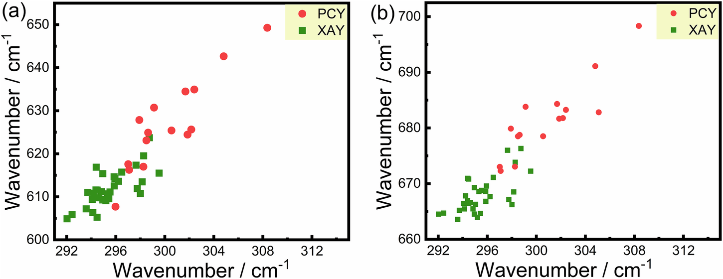
Fig. 7: Statistical diagram of characteristic peaks of hematite.
From: Microstructural study of white and black wares of Pacun and Xin’an kilns (Henan Province, China)

a 300 cm–1 and 620 cm–1 and b 300 cm–1 and 670 cm–1.
From: Microstructural study of white and black wares of Pacun and Xin’an kilns (Henan Province, China)

a 300 cm–1 and 620 cm–1 and b 300 cm–1 and 670 cm–1.