Abstract
This study uses a novel combination of DNA metabarcoding, light microscopy, decay rating, moisture dynamics, and chemical analysis to investigate wood decay in cultural heritage cable car pylons in Svalbard. Uniform design but varying ages allowed analysis of time-dependent decay. Light microscopy revealed the use of both Picea abies and Pinus sylvestris. Decay progressed more rapidly near ground contact, influencing density, lignin, and holocellulose content, with lignin increasing over time. DNA metabarcoding and microscopy revealed dominant brown and soft rot fungi, with greater fungal diversity near ground level. Several new fungal species were identified for Svalbard and the polar regions. In the context of climate change, this highlights the global importance of monitoring fungal decay in wooden structures. The study emphasises the need for updated species lists and continuous monitoring, as new fungi may affect conservation strategies. The interdisciplinary method offers deeper insight into microbial interactions than single-method approaches.
Similar content being viewed by others
Introduction
The United Nations Sustainable Development Goals emphasise the need to intensify efforts to protect the world’s cultural and natural heritage1. Norwegian wooden cultural heritage in the Arctic Svalbard is situated in vulnerable ecosystems heavily impacted by ongoing climate change, as well as increased human activity and land use changes.
In polar regions, early visitors included whalers, hunters, explorers, and scientists. Their presence led to the construction of wooden hunting cabins and houses. The first permanent settlements in Svalbard were established in the early 20th century with the development of the coal mining industry. There are more than 2000 historic sites spread across the archipelago2,3, many of which contain buildings, almost all of which are made of wood3,4,5. In Svalbard, “structures and sites dating from before 1946” and “movable historical objects dating from before 1946 or earlier that come to light by chance or through investigations, excavation or in any other way“, are automatically protected according to the Svalbard Environmental Protection Act, chapter V6. Protection includes every remnant of human activity, spanning from buildings—intact, in ruins, or mere remnants—to graves and all other constructions and man-made objects. According to Mattsson7 “On Svalbard, all traditional buildings have at least some wooden materials in soil contact”.
Coal mining was, for a long time, the foundation for the settlements in Svalbard. Every time a new coal mine was established, a new line of cable car pylons constructed from untreated timber ensured the shipping of coal to the harbour. Svalbard lacks trees, necessitating that all wood materials must be shipped to the island by boat. Historic shipping lists indicate that the timber used for the cable car pylons originated from Namsos municipality in Trøndelag county, located in the central region of Norway’s west coast. The shipping lists specify the wood merely as roundwood or by dimension, without consistently identifying the wood species, but the Directorate for Cultural Heritage and Svalbard Museum indicate that Norway spruce (Picea abies L.) was primarily used for the cable car pylons. The design of the cable car pylons was mainly the same for all the mines, and with a height of around 15 m, they dominated the landscape. While the cable car pylons were in operation from the early 1900s until they were decommissioned about 60 years later, there has been continuous monitoring, repair, and replacement of the pylons8. However, the methods used to assess their technical condition and to repair the cable car pylons during the operational years are poorly documented8. Of the 212 cable car pylons in Longyearbyen and Hiorthhamn, it was estimated that 36 have collapsed and around 60 need repairs (the need is urgent for 30 of these) due to attack by wood decaying fungi9. The situation is uncertain for 90 cable car pylons, while 12 have been repaired in the last decade9. Because the cable car pylons have a similar design, different ages, and provide different microclimates within each pylon (i.e. aboveground and ground proximity), they serve as excellent examples for studying fungal decay in polar regions.
Even if the climate in polar regions is regarded as harsh for biodeterioration of wood, the in-situ microclimate can be sufficient to facilitate fungal colonisation and deterioration10. Temperature and moisture are the primary factors influencing the fungal decay risk of wood11. Temperature influences the metabolic activities of fungi, with reaction rates increasing as temperature rises12. Most fungi are mesophilic, growing at temperatures between 5-35°C, with optimal growth between 25 and 30°C13. Some fungi are psychrotolerant, able to grow near or below 0°C13. Fungi need moisture to access and transport the nutrients and structural components necessary for their metabolic processes. Wood in service does not have a uniform moisture state, and there is no well-defined threshold moisture content at which fungal decay starts. However, the presence of capillary water is often considered a requirement for fungal degradation. Therefore, keeping moisture levels well below fibre saturation (typically 30-40%) is key to preventing fungal decay14. Hence, a higher mean temperature and longer periods of temperatures above freezing in combination with more accessible water will likely lead to better growth conditions for all wood decay fungi present in Svalbard15,16 as well as a higher risk for the establishment of new wood-decaying fungi15. In general, wood exposed in the ground suffers more severe exposure conditions than aboveground wood. Marais et al.17 provided an updated status on modelling the decay of wood exposed in-ground. The highest decay risk is at the air-soil boundary since it allows access for both fungal spore inoculum and colonisation from soil-inhabiting organisms. This exposure also facilitates bacterial degradation more than the drier aboveground exposure. Further, wood moisture levels are higher at this boundary, and oxygen is seldom a limiting factor17. Svalbard’s extreme Arctic climate significantly limits the presence of insects. There are no known reports of insect damage to wood in Svalbard, and among the more than 250 insects recorded, none of them are wood-decaying18.
The Arctic is undergoing faster warming compared to other areas on Earth. The northern Barents Sea, including the Svalbard Archipelago, is witnessing the most rapid temperature rises in the circumpolar Arctic and the highest rate of sea ice decline19. This phenomenon is termed Arctic amplification20,21,22 and a nearly four-fold warming ratio has been observed over 1979–202123. According to the report ‘Climate in Svalbard 2100’24 the average annual temperature at Svalbard Airport between 1971 and 2000 was −5.9 °C. From 1971 to 2017, the region experienced a warming of approximately 3 to 4 °C. Under the high-emissions IPCC scenario RCP8.5, median projections from both regional climate models and statistical downscaling indicate an increase of nearly 10 °C in average annual temperature between the periods 1971–2000 and 2071–2100. For the intermediate scenario RCP4.5, the projected median increase is 6 to 7 °C, while for the low-emissions scenario RCP2.6, the estimated rise is around 4 °C. In Svalbard, the number of thaw days is increasing25 while annual air temperature and annual precipitation are expected to rise24,26. Higher temperatures and longer periods above freezing in combination with reduced permafrost and more accessible water will likely lead to better growth conditions for all wood decay fungi present in Svalbard, as well as a higher risk for introduction and spread of new wood-decaying fungi15. However, fungal species composition is influenced by several factors, including substrate, local exposure conditions, and stage of decay. Previous studies7 show that moisture and temperature vary significantly at the microclimatic level, both in the soil and within the wood itself. These variations make it challenging to draw precise conclusions about how such changes influence the risk of microbiological wood degradation. Microbial wood decay involves complex interactions between fungi and bacteria, and species dynamics, such as competition and facilitation, may further influence these processes in ways not yet fully understood. As a result, predicting the impact of climate change on wood decay remains challenging. Wood degradation progress and fungal diversity have been poorly monitored in Svalbard and many other polar regions. While quantifying the isolated effect of future climate change is challenging, monitoring decay progress is feasible. Cable car pylons, with their uniform design and varying ages, serve as excellent test objects for studies of time-dependent decay progression.
Fungal nutritional strategies for depolymerisation of wood significantly influence decay rates, chemical properties, mechanical properties, and the aesthetic appearance of affected wood12. Although less frequently acknowledged, anatomical features and surface details hold significant value for cultural heritage research (e.g., wood species identification, dendrochronological dating, climate reconstruction, traces of processing and tooling). However, this information is gradually lost through biodeterioration27,28. Traditionally, wood-decaying fungi have been divided into brown rot, white rot, and soft rot, and they often co-exist in nature29. Brown rot and white rot are caused by basidiomycetes, while soft rot is caused by ascomycetes and fungi imperfecti30. Brown rot fungi use a two-step decay process31, oxidative pretreatment followed by enzymatic hydrolysis, to selectively degrade carbohydrates in wood, mainly conifers32. This leads to rapid loss of mechanical strength even in the initial stages with minimal visible damage, threatening structural integrity. More advanced stages of decay lead to a reddish-brown colour, cubic fissures, and a structure that easily powders12,33, threatening cultural heritage information and aesthetics. Complete lignin degradation is mainly performed by white rot fungi. White rot fungi prefer hardwoods, degrade all cell wall components using enzymes like peroxidases and laccases, erasing wood cell imprints and causing aesthetic and structural loss34,35,36,37. Soft rot fungi, though slower and less aggressive, also degrade cellulose and hemicellulose, preserving lignin and the wood cell imprint longer. They decay wood via cavity formation (Type I) or wall erosion (Type II)38,39. While basidiomycetes (brown and white rot) are more destructive35,40, soft rot fungi can still compromise load-bearing structures over time36. In polar regions, slow but cumulative decay highlights the need for understanding fungal diversity and decay mechanisms to protect wooden heritage.
Wood decay type can be targeted by microscopy and partly by chemical characterisation41. However, these techniques will not distinguish the fungal species responsible for the wood degradation. For a long time, the identification and quantification of microorganisms were challenging due to limitations in culturing techniques. Fortunately, by employing non-culture-based DNA metabarcoding, researchers have overcome these constraints, allowing them to extensively analyse microbial communities across various ecosystems42,43,44,45. However, there is no simple genetic marker to distinguish fungi by rot types41. Even if the fungal species is identified, it can be challenging to find the respective nutrition strategy, e.g., whether it is a wood-decaying fungus or not. One tool is FUNGuild46, an open annotation tool for parsing fungal community datasets by ecological guild. However, both FUNGuild and manual annotation are based on literature, and details about nutrition strategies for many fungi remain unknown, especially for soft rot fungi.
In the early 2000s, significant wood biodeterioration was identified in Arctic environments7,47,48,49. Flyen and Thuestad18 reviewed fungal decay in historic wooden structures across the High Arctic and Antarctica, highlighting key gaps: 1) more comprehensive data on decay fungi exist for Antarctica than for the High Arctic, 2) the selection of methods can impact findings. The methods employed for identifying fungal species vary between Antarctica (mainly DNA monoculture sequencing) and the High Arctic (mainly microscopy), 3) limited data exist on decay rates and their impact on cultural heritage, and 4) few mitigation strategies are documented. Their review found soft rot fungi, especially Cadophora species, to be dominant in both regions. In Svalbard, internal brown rot, particularly in soil-embedded wooden poles like cable car pylons, is common, with Amylocorticiellum molle (syn. Leucogyrophana mollis) as a key agent. The intact outer wood layer often conceals internal decay. To preserve wooden cultural heritage in a changing climate, it is essential to assess the causes, location, and severity of deterioration. We hypothesise that integrating interdisciplinary analytical methods with study objects that allow for time-dependent decay quantification will provide a novel approach to characterising fungal decay processes and patterns. The methodology will be globally applicable to wooden cultural heritage, but also to the assessment and monitoring of wooden constructions in general.
Methods
Field data
Around Longyearbyen 176 cable car pylons (Fig. 1) are still standing9 and 22 of these were selected for the study. The selection criteria were age, location, and accessibility. The cable car pylons were at the time of the study owned by the Ministry of Trade, Industry and Fisheries (Nærings- og fiskeridepartementet, NFD) and managed by Store Norske Spitsbergen Kulkompani (SNSK). Since 2023, they have been managed by the Svalbard Museum. They are categorised as technical/industrial cultural heritage. The ID system provided in the Directorate of Cultural Heritage database (Askeladden) was used in this study. Briefly, the Askeladden database50 gives the following information about each cable car pylon: general information (incl. ID, original function, location etc.), description of the object and its foundation, function, owner information, protection status, registered fieldwork, other info (incl. dating), condition report, pictures (rarely included for cable car pylons). However, wood species are not provided. An overview of the selected cable car pylons is given in Supplement 1 Table S1. Two of the selected pylons were restored three years before sampling. The rest had an age span from 51 to 105 years. The cable car pylons in Svalbard are protected cultural heritage and sampling had to be limited both regarding sample size and number of replicates.
To quantify surface decay, we applied a pick test with a thin awl using the rating scale from 0 (no attack) to 4 (failure) based on the European standard EN 25251. The awl had a diameter of 2 mm, ensuring no long-term visual signs after sampling. This was done in eight locations on each cable car pylon: four in ground proximity of each vertical pole, and four above-ground in the wood beam running horizontally between the load-bearing poles (Fig. 1). Details on individual sampling locations at each cable car pylon are given in Alfredsen et al.52.
Relationships between ordinal responses, such as the decay rating, and a continuous X variable can be modelled by ordinal logistic regression. Ordinal logistic regression models estimate the cumulative probability of being at or below each response (Y) variable level by a logistic curve. This curve is shifted horizontally to produce probabilities for the ordered categories. In the present study, an ordinal logistic regression model was fitted to the decay rating (0–4) as the Y variable and the age of the structure at the time of sampling (years) as the X variable. Each regression line in the model followed the function given below (Eq. 1).
Separate models were calculated for samples collected in aboveground conditions and ground proximity based on 87 and 88 observations, respectively. Due to steep and unstable terrain one observation aboveground is missing. Details about model statistics is provided in Supplement 2 Tables S2–S5. The statistical analyses were conducted with JMP Pro 16 (SAS Institute Inc.).
As a complement to the pick test, we performed resistance drilling using an IML-RESI PowerDrill PD400 in the same eight locations as the pick test and before the collection of the wood samples. A thin, needle-like drill bit with a diameter of 3 mm is driven into the wood at a constant rotational speed and feed rate. The energy required to keep up the rotation (drilling resistance) and the energy required for the bit to advance (feed force) are recorded as a function of the position. The PD Tool software (IML Instrumenta Mechanik Labor GmbH) was used to transform resistograph measurements, followed by visual analysis of the resistance profiles. The drilling resistance has been shown to correlate well with wood decay mass loss53, and the resistance profiles obtained give valuable information on decay throughout the wooden pole/beam. However, comparing resistance profiles or comparing resistance profiles with pick test data, is challenging. Therefore, the profiles were transformed into categorical data by rating the drilling profiles from 0 to 4 (Supplement 3).
During fieldwork, characterisation of the local environmental parameters around each cable car pylon was performed visually. This included: (1) vegetation type, (2) ground proximity microclimate (permafrost, thawing zone, open exposure, water trap) and (3) ground foundation structure (bare rock, stones or coarse gravel, fine gravel or sand, soil, coal contaminated soil). However, none of these parameters showed clear statistical trends vs. decay ratings.
Laboratory analyses
We collected four wood samples from each pylon, two in the northwest and two in the southeast corner (Fig. 1), in the same locations in which we performed the pick tests. In total, 88 samples were collected for analysis from the 22 cable car pylons. The size of the wood samples was 2 cm across the fibre direction, 2 cm in depth, and 5 cm in the longitudinal fibre direction. The wood samples were collected using a chisel, hammer and/or rubber mallet or a small electric multi-cutter (Bosch GOP 12V-28). To avoid contamination, we put the samples in sterile RNase-, DNase-, pyrogen- and BPA-free low-density polyethylene bags with safety locks. The wood samples were stored at fridge temperature for up to two weeks during the field campaign and then placed in a freezer at −32 °C until further analyses.
One cylindrical plug with 0.5 mm diameter and 10 mm height was prepared from each sample and kept in the frozen state at −32 °C until the measurements. Approximately 24 h before water vapour sorption measurements, the plugs were soaked in deionized water until reaching room temperature, vacuum-impregnated at 4000 Pa for 20 minutes, and stored in water within separate test tubes. Excess water on the wood surfaces was removed immediately before the plugs were placed on the sample carousel inside the automated sorption balance (Vsorp Enhanced, ProUmid, Germany). One of the 24 sample cups in the carousel was left empty to correct for balance drift, and the remaining 23 cups were used for the simultaneous sorption measurements of the wood plugs. The plugs were conditioned at 25 °C and relative humidity (RH) steps of 90, 80, 70, 60, 50, 40, 30, 20, 10, and 0% in desorption from the never-dried, water-saturated state. This was followed by conditioning in absorption from the dry state by applying the same RH steps in reverse order. Each RH step was held until the sample mass change of all samples in the same sorption run was less than 0.01%. This was calculated based on the slope of a linear regression line within a 60-minute time window that moved forward with each weighing step, with the average sample mass within this moving time window being used as the reference mass. Finally, the samples were conditioned at 40 °C and 0% RH for 48 h. The average sample mass during the final hour of this step was used as the reference mass to calculate the moisture content (MC, in %) of each plug.
The plugs were measured in four separate sorption runs, with different holding times for the RH steps. To ensure that all plugs were equally close to reaching a stable mass at the end of each RH step, the rate of sample MC change was calculated in a 3-h regression window as described by Belt et al.54 (2024). The highest rate measured at the end of the RH steps was |4.9| µg g−1 min−1, and the rate decreased below |3| µg g−1 min−1 for most cases. This indicated that errors in determining the equilibrium MC due to short holding times, reported by Glass et al.55, were not a major factor in interpreting the results.
The samples measured in the automated sorption balance were used for density analyses. Basic density was measured by placing wooden plugs into 5 ml Eppendorf tubes, then adding 4 ml deionised water and a glass ball on top to ensure that the wood samples stayed immersed in the water. The samples were exposed to a 4000 Pa vacuum for 20 min. The water-saturated volume was determined from the buoyancy force when submerging the object in water (Archimedes principle). More specifically, a thin metal needle was inserted into the sample and, holding the needle, submerged in a beaker of water placed on a tared balance56. Then the dry weight was measured after drying at 103 °C for 18 h. Basic density (D) was calculated for each sample expressed as kg m−3 (Eq. 2).
where
\({{\rm{m}}}_{0}\) = dry weigh
\({{\rm{V}}}_{\max }\) = maximum volume of water-saturated sample
We analysed changes in wood polymers using Simultaneous Thermal Analysis (STA). Details about the method are given in Amiandamhen et al.57. In brief, 8 mg aliquots of the material were heated from 40 to 710 °C at a heating range of 10 °C min−1 in the STA (Netzsch STA 449 F1 Jupiter, Selb, Germany). Volatiles entered the infrared gas cell (Bruker Tensor 27, Ettingen, Germany) via a heated line. Mass loss stages were:
40–105 °C: moisture
105–260 °C: mainly extractives
260–330 °C: mainly hemicellulose
330–400 °C: mainly cellulose
400–710 °C: mainly lignin
Residual mass indicated ash content. One replicate was analysed for each sample.
To verify the wood species used in the cable car pylons in this study, light microscopy was performed. Radial microtome sections with 50 µm thickness were prepared from the field samples. The radial wood sections were coloured using an aqueous 0.1% solution of safranine (Grübler-Farbstoffe, Chem. A. Schmid, Germany) for contrast staining to enhance the visibility of the anatomical features. To reliably identify softwood wood species, the anatomical feature of cross-field pitting in radial sections was examined across all 88 wood samples58,59. Additionally, radial sections enabled the differentiation between uniseriate and multiseriate tracheid pitting in radial walls58 as a check for potential Larix species.
To verify molecular identification of main degraders (i.e., decay mechanisms) 24 wood samples from six different cable car pylons (ID 158986-5, 87889-63, 158619-32, 87889-14, 87889-112, 87889-111) were selected for light microscopy analysis. Smaller subsamples containing both the exposed surface layer and the inner wood structure of the collected samples were cut from the original samples and immersed in 10% (w/w) glycerol in water under vacuum. Thin sections in transversal and radial and tangential longitudinal directions were cut by hand with a razor blade and stained with 0.1% (w/w) safranin O in water. Sections were cut both from the outer surface layer of the wood and the innermost part of the sample and viewed under a transmission light microscope (Leica DM750P) to determine degradation patterns58,60 and extent. Analyses were documented by recording visible features and image capture (Leica ICC50W).
A sterile drill (3-mm bit diameter) was used to obtain sawdust from the interior of the frozen samples (the outer 2 mm was removed). The sawdust samples were chilled with liquid nitrogen and then powdered using a Retsch 300 mill (Retsch GmbH, Haan, Germany) with 100-mg steel beads, at maximum speed for 1.5 min. DNA was extracted from 100 mg of wood powder per sample using a DNeasy® PowerSoil® Pro Kit (Qiagen GmbH, Hilden, Germany) according to the manufacturer’s instructions. Total DNA preparations were stored at −80 °C. The concentration and quality of the DNA were tested with a Nanodrop 2000 Spectrophotometer (Thermo Fisher Scientific, Waltham, MA, USA). Additionally, the integrity and quantity of total DNA was assessed by Agilent 2100 Bioanalyzer with Agilent DNA 7500 Kit (Agilent, Santa Clara, CA, USA # 5067-1506).
Total genomic DNA samples were sequenced at the BGI Genomics (Hong Kong, China) using the DNBSEQ G-400 (BGI Group, China) sequencing platform with 300 base pairs (bp) paired-end reads (i.e., two 300 bp reads per DNA fragment). Fungal communities were analysed using meta rDNA amplicon sequencing targeting the ITS1 region. The ITS1 length in fungi typically ranges from 100 to 450 base pairs, allowing for full coverage through paired-end sequencing. DNA quality control, library preparation, and multiplexing were done by BGI.
High-quality reads were generated from raw data, using iTools Fqtools fqcheck (v0.25), qutadapt (v2.6) and readfq (v1.0), through the following filtering steps: (1) reads were truncated if the average Phred quality score fell below 20 within a 25 bp sliding window. Reads shortened to less than 75% of their original length were discarded, (2) reads containing adapter contamination were removed (default: 15 bases overlapped by reads and adapter, allowing up to 3 mismatches), (3) reads containing ambiguous bases (N base) were excluded, (4) low-complexity reads were removed (default: 10 consecutive identical bases). To ensure barcode sequences were removed from pooled libraries, clean reads were assigned to corresponding samples using in-house scripts that aligned reads to barcode sequences with zero mismatches.
If paired-end reads overlap, a consensus sequence was generated using FLASH (Fast Length Adjustment of Short reads, v1.2.11). The merging criteria were as follows: (1) minimum overlap length: 15 bp, (2) mismatch ratio in the overlapping region: ≤ 0.1.
Operational Taxonomic Units (OTUs) serve as standardised markers for analysing taxonomic groups in studies of phylogeny and population genetics. As bacterial sequences were also included (data not shown), all sequences were clustered into OTUs at a 97% similarity threshold. Tags were grouped into OTUs using USEARCH (v7.0.1090) with the following steps: (1) Tags were grouped into OTUs at a 97% similarity threshold using the UPARSE algorithm, which also generated representative sequences for each OUT, (2) Chimeric sequences were identified and removed using UCHIME (v4.2.40). (3) For ITS sequences, chimeric reads were identified through reference-based detection using the UNITE database (v20140703). All tags were mapped to OTU representative sequences using USEARCH GLOBAL. Representative sequences were then aligned to reference databases for taxonomic annotation using the RDP Classifier61 (v2.2) with a sequence identity threshold of 0.6. Fungal OTUs were further classified into ecological guilds using FUNGuild in R (v4.3.3)62, supplemented by manual annotation.
The OTU-read data matrix was used for further analyses. OTUs with fewer than 10 reads were excluded. This filtering step is intended to reduce the likelihood of incorrect sample attribution due to index hopping and may contribute to more reliable abundance estimates.
Results and discussion
Wood identification
It was previously assumed that Picea abies (L.) Karst was used as construction material for the cable car pylons in Svalbard. In this study, microscopy was used to verify the wood species of samples from the pylons’ poles and beams.
When examining all 88 wood samples with light microscopy, 22 samples were identified as Scots pine (Pinus sylvestris L.); the remaining 66 samples were P. abies. In 13 of 22 sampled cable car pylons, all members, i.e., the two beams above ground and two foundation poles in the ground, were found to be P. abies. In the remaining nine cable car pylons, a combination of P. abies and P. sylvestris was found, and all timbers installed during a renovation three years ago were P. sylvestris. Details are provided in Supplement 1 Table S1.
The distinct cross-field pittings of P. sylvestris and P. abies facilitated a clear differentiation between the two species58,59. Specifically, P. sylvestris exhibits window-like pits, while P. abies is characterised by piceoid cross-field pittings (Fig. 2).
Radial sections of the two occurring softwood species with pits in areas of contact between ray parenchyma cells and axial tracheids (cross-field) used for the identification of the wood material; (a) fenestriform cross-field pitting in P. sylvestris with radial dentate ray tracheids (RT) and window-like ray parenchyma cells (RP), sample 87889-66 (SE, ground proximity), (b) piceoid cross-field pitting in P. abies, sample 93041-2 (SE, ground proximity).
Decay rating
Demonstration of time-dependent decay progression in wooden constructions in this study is novel, not only for polar regions but for cultural heritage objects in general. Typically, assessments capture decay at a single point in time, which then informs potential future monitoring. However, decay rates in polar regions are slow, and tracking decay progression retrospectively is impossible. Recording changes in decay development will thus require patience and extended observation. Here we examined decay ratings in 88 samples (beams and poles) spanning 102 years in age to study time-depended decay progression.
Figure 3 presents ordinal logistic probability plots for the predicted cumulative probability of decay ratings from pick test as a function of the structure’s age, based on samples collected from aboveground (Fig. 3a) and ground proximity exposure (Fig. 3b), illustrating how wood decay progressed over time.
Logistic plots showing the cumulative probability of decay rating (0–4) based on the pick test against age at the time of sampling (years) based on samples collected in (a) aboveground conditions or (b) in ground proximity. Each curve is the predicted cumulative probability up to and including the corresponding level of the decay rating. Note that each data point falls at a random vertical position between the curve for its level and the next lower curve to illustrate the variation in data density.
With the pick test decay ratings, most samples from aboveground exposure were assigned to decay stage 1, while most samples from ground proximity were assigned to decay stages 3 and 4 (Fig. 3). The data confirms the established finding17 that decay rates are slower aboveground compared to ground proximity, due to higher moisture levels and higher fungal inoculation potential in ground proximity17. For wood exposed aboveground, the wood only had initial decay (rating 0-1) for the first 85 years. The only exceptions are decay rating 4 in two 85-year-old cable car pylon beams, NW beam in 158986-17 and SW beam in 158986-13, both located just outside Longyearbyen (line 2b). However, for wood exposed in ground proximity, severe decay (rating 3 and 4) was prevalent after about 50 years. In the 105-year-old cable car pylons from Hiorthhamn decay rating 2 was found in some of the aboveground beams. For wood exposed in ground proximity, severe fungal decay (rating 3 and 4) started to occur after about 50 years. Assuming that the cable car pylon would fall if one of the four load-bearing vertical poles failed, it is of interest to quantify the most severely decayed pole in ground proximity for each of the cable car pylons. Of the 22 pylons in this study, two had recently been restored in ground proximity, and the most severe decay ratings were 0 and 1. For the remaining poles, two had decay stage 1, one decay stage 2, six decay stage 3 and eleven decay stage 4.
The pick test only evaluates the surface, whereas resistance drilling is a tool to diagnose internal decay not visible from the surface of the timber. Resistance drilling data has been shown to correlate with the wood decay mass loss in laboratory tests53. However, natural variations within the wood and the relative and continuous nature of the drilling data complicate quantifying absolute and comparable decay stages. To overcome this, the resistance profile data were manually evaluated for signs of decay and categorised on a scale from 0 (no decay) to 4 (severe decay), see Supplement 3. Details of the comparison of the pick test vs. resistance drilling are also provided in Supplement 3. Briefly summarised, both methods indicate that about 50% of beams/poles were sound or had initial decay. The deviation between the pick test and resistance drilling was greater at early decay stages than at advanced decay stages. The reason is probably that resistance drilling does not detect small surface softening changes. Among beams rated 0 or 1 by the pick test, 32% showed more severe decay (decay stage 2–4) in resistance drilling. The pick test gives indications about surface decay but should not be used as the only alternative for detailed evaluations of wooden poles in the management of heritage wooden construction, but rather in combination with resistance drilling. Further discussions on decay rating in this study are all based on the pick test since sampling for further testing of wood properties and fungal identification are all from samples collected from the surface of the beams/poles to a depth of 20 mm.
Visual wood degradation analyses
Both macroscopic and microscopic examination of the wood samples confirmed the decay rating with pick test and resistance drilling, that samples in ground proximity were more decayed than the samples from aboveground. Samples from aboveground had a grey weathered surface, a light-coloured inner part, and appeared dry. Samples from ground proximity often had a darkened colour throughout the whole sample and typically a wet feel. Transmission light microscopy confirmed the domination of brown rot and soft rot decay and the presence of fungal hyphae in all samples (Fig. 4). None of the samples contained severe degradation, but a variation from initial decay patterns to clear evidence of decay. Until the cable car pylons reached 85 years in service, no, or minimal decay, was detected aboveground. No fungal fruit bodies were detected on any of the cable car pylons examined.
The initial stage of brown rot decay in cross-section (a), example shown with parallel arrow. More severe soft rot attack is seen by the presence of hyphal tunnelling within the cell walls in cross section (b) and longitudinal direction (d), example highlighted with arrow in (d). Examples of hyphae growth in cell lumen (c) and between tracheids (a, c), marked with arrows. The scale bar is 50 μm in all images.
Wood properties
Measuring the moisture content of decayed wood in service is common, yet it only reflects a temporary state affected by recent weather, such as rainfall or sunlight. While still not very common, sorption behaviour of samples from laboratory experiments has been measured in decayed wood from a dry state63,64,65, while only two studies have measured it from an undried state54,66. This study is the first to measure the sorption behaviour of decayed wood from undried field samples for wood in service (i.e., providing data on material properties).
The measured water vapour sorption isotherms showed the typical sigmoidal shape known for wood (Fig. 5), with hysteresis between the desorption and absorption curves of the isotherm67. There were differences in the sorption behaviour that may be related to the location of sampling (aboveground or ground proximity), and/or their decay state (decay rating and decay type). Samples collected in ground proximity tended towards larger equilibrium moisture contents (EMCs) the higher the relative humidity than samples from above ground when measured in desorption from the undried state (Fig. 5a). This effect diminished when the samples were measured in absorption from the dried state (Fig. 5b). Samples from ground proximity also tended toward larger absolute hysteresis than samples from above ground and often showed an exponential increase above ca. 60% RH. This may be related to the higher decay rate of wood in ground proximity. Brown rot decay under sterile laboratory conditions has recently been shown to increase the wood EMC in the undried state, leading to an increased hysteresis54. However, climatic and environmental factors during ageing also influence the wood’s sorption behaviour68. Wood often remains at high moisture levels in ground proximity but typically undergoes cyclic changes in moisture content and temperature in above-ground conditions, which may have influenced the sorption behaviour differently.
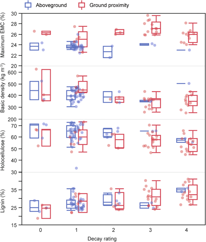
This study employs established methods for material characterisation. However, in studies on wood deterioration, material characterisation and degree of degradation are rarely documented. Figure 6 gives an overview of measured basic density, lignin and holocellulose content, and maximum EMC (measured EMC at RH 90%) of the wood samples in relation to decay rating by pick test. For the most severely decayed samples, it was not possible to measure density (n = 13) and water vapour sorption (n = 12). The general trends were that lignin increased with increasing decay stage while basic density and holocellulose decreased with increasing decay stage. These trends in material properties were supported by the species identification, i.e. domination of brown rot and soft rot which both utilise holocellulose and leave lignin behind during the decay process. The maximum EMC did not show an effect of the decay stage, which supports the assumption that differences in water vapour sorption between samples from aboveground and ground proximity were primarily influenced by the environmental conditions during ageing rather than fungal decay. When comparing aboveground exposure with ground proximity for the different decay stages, higher maximum EMC was found for ground proximity, while no clear difference between the two exposure situations was found for basic density, holocellulose and lignin. However, a comparison of aboveground versus ground proximity samples should be done with caution since samples from aboveground are mainly represented in decay stage 1 while samples from ground proximity are mainly represented in decay stages 3 and 4.
Fungal species identification, frequency and distribution
While DNA metabarcoding is an established method, this study is the first to use it for identifying fungi in decayed wood within an Arctic environment. Another novel aspect is the inclusion of time-dependent decay progression.
A total of 2462 fungal OTUs were identified. The allocation to fungal phyla and classes is detailed in Supplement 4 Table S9. The majority of species were Ascomycota (55%), followed by Basidiomycota (22%), with unidentified species accounting for 20%. The remaining 3% included Chytridiomycota, Monoblepharomycota, Mortierellomycota and Rozellomycota. In a study of historic wooden structures at Whalers Bay (Deception Island, Antarctica)69 three wood samples were collected from three wooden buildings and one wooden boat. They identified 177 fungal amplicon sequence variants (ASVs), with Ascomycota dominating, followed by Basidiomycota, Mortierellomycota, Chytridiomycota, Monoblepharomycota, Rozellomycota, and Zoopagomycota. Similarly, a five-year deadwood study in Minnesota70 found that fungal communities in birch and pine were initially dominated by Basidiomycota, with Ascomycota becoming more prevalent in later decay stages. These findings are consistent with the dominance of Ascomycota observed in the present study.
This study aimed to identify and examine the frequency and distribution of wood-decaying fungi in the cable car pylons in Svalbard. Hence, the first step was to retain only ascomycetes and basidiomycetes. Further, reads below 10 were excluded, and a total of 196 OTUs were identified at the species level. All the following analyses use this reduced dataset. Supplement 5 Table S10 lists the number of ascomycete and basidiomycete fungi (total, aboveground, ground proximity) within different classes and orders. Basidiomycetes accounted for 39% of the species, while ascomycetes made up 61%. Following previous studies17,70,71 species frequency tended to be higher in ground proximity compared to aboveground.
Table 1 presents the growth modes for the 196 ascomycetes and basidiomycetes identified at species level. It is important to note that growth mode is not directly linked to taxonomy; it is a rough categorisation of nutrition strategy and growth form. Yeasts dominate, followed by microfungi. Here, microfungi refer to non-cellulolytic soil- and wood-inhabiting fungi (commonly known as mould or “sugar fungi”), excluding those for which information on their wood decay ability in natural environments is currently lacking. Several microfungi are known endophytes, but their wood decay ability is still unknown. Soft rot, plant pathogen and lichen represented 9.7%, 8.7% and 7.7% of the species, respectively. In the cable car pylons in Svalbard soft rot fungi were more frequent than brown rot (4.1%) and white rot fungi (3.6%). It should be noted that there is considerable uncertainty regarding the wood depolymerisation capacity of many soft rot species, and the current number is likely a conservative estimate. Species abundances of all growth modes were more frequent in ground proximity than aboveground, except for lichens. Initial brown rot decay involves non-selective depolymerisation31, releasing more soluble sugars available to other organisms, including opportunistic species70. This could explain the higher levels of microfungi in the current study than in white rot-dominated decay systems70. Fungal community studies of wood deteriorating fungi tend to focus on diversity rather than ecological guild72,73,74, and few studies deal with fungal communities in wooden cultural heritage or polar areas. However, in the study of historic wooden structures at Whalers Bay69 guild was assigned at genus level and dominated, in rank order, by saprophytes, parasites (plant and animal pathogens), and symbionts. Because the genus level was used, decay mechanisms (i.e. brown, white or soft rot) were not specified. Among the fungi identified to species level, four overlapped with those found in the present study: two brown rot species, one white rot species, and one soft rot species (Supplement 8 Table S13).
In recent years, a better understanding of the ecological plasticity of plant-associated fungi has been achieved75. We now understand that endophytes can act as pathogens, saprotrophs, or even mycorrhiza when interacting with plants. These interactions are not species-specific, but strain-dependent, suggesting that the transition from endophytism to other lifestyles mainly depends on environmental stress factors besides the physiological status of the host plant76. Consequently, the ecological traits of endophytic fungi do not correlate with their taxonomical classification. This situation obscures the understanding of the role that many of the fungal species found in this study play in biodeterioration. Most endophytes possess genes implicated in cell wall degradation, but few have been tested for wood decay abilities. As an example, the endophytes Ascocoryne sarcoides and Trichoderma reesei are capable of degrading cellulose under laboratory conditions77,78 and potentially produce soft rot in nature. Therefore, the number of soft rot species (Table 1) is likely to increase as more knowledge is gained. It has also been pointed out that there is “a continuum rather than a dichotomy between the white-rot and brown-rot modes of wood decay”79 and that a rigid classification for fungi within these categories may be less suitable than previously believed. However, the categories for fungal wood decay are still used in literature when describing decay communities or mechanisms.
Supplement 5 Fig. S2a illustrates the number of species per sample versus the number of beams/poles with the given diversity for non-decay fungi and for wood decay fungi. For all species, 19% of samples had 1–10 species, 64% had 11–20 species, 10% had 21–30 species, and 6% had more than 31 species. For wood decay fungi, 2% of samples had none, 11% had 1–2 species, 58% had 3–5 species, and 20% had 6–14 species. Supplement 5 Fig. S2b details the three decay types. For brown rot fungi, 5% of samples had none, 83% had 1–3 species, and 13% had 4–6 species. For white rot fungi, 66% of samples had none, 32% had 1–3 species, and 2% had 4–6 species. For soft rot fungi, 27% of samples had none, 59% had 1–3 species, and 14% had 4–6 species. In summary, brown rot fungi were present in most samples, white rot fungi were less common and soft rot fungi were moderately present.
The following discussion focuses exclusively on fungi that cause wood decay. The distribution of wood-decaying fungi across decay stages (0–4) and exposure (aboveground, ground proximity) is shown in Figs. 7, 8 and Supplement 6 Table S11. It needs to be noted that species identification using metabarcoding is subject to limitations and influenced by bioinformatic choices (see discussion under Methodological considerations).
Seven species of brown rot were found aboveground (Fig. 7), with most samples rated at decay stage 1. Brown rot fungi found in more than one decay stage were A. molle (n = 37, decay stage 0–4), C. luteoalbus (n = 20, decay stage 0–4), D. stillatus (n = 18, decay stage 0–2 and 4) and U. bispora (n = 13, decay stage 1–2 and 4). Only three white rot fungi were found aboveground: Sistotrema brinkmani was only found in decay stage 1 (n = 1), P. gigantea in decay stages 1 and 4 (n = 7), and P. pratermissa in decay stage 1–3 (n = 12). Eleven soft rot species were found aboveground. Species only found in decay stage 1 included Pleurothecium semifecundum (n = 3), Pleurotheciellarivularia (n = 5), Mollisia dextrinospora (n = 1), and Cadophora luteo-olivacea (n = 1).
For samples from ground proximity (Fig. 8) the brown rot fungi found in all decay stages included A. molle (n = 41), C. luteoalbus (n = 30) and D. stillatus (n = 21). F. pinicola (n = 1) was only found in decay stage 0, V. abietina (n = 1) in decay stage 3 and C. lipoferus (n = 3) in decay stage 4. The two Unilacryma species were found in decay stages 1 and 3–4 (U. unispora, n = 3) and decay stages 0 and 3-4 (U. bispora, n = 6). All white rot fungi were found in decay stage 0 except L. edodes (n = 1, decay stage 4) and P. citrinopileatus (n = 3, decay stages 2 and 4). P. gigantea (n = 7) and P. praetermissa (n = 11) were also found in decay stages 2–4 and 1–4, respectively. P. citrinopileatus (n = 1) was found in decay stages 2 and 4. A total of 18 soft rot species were found in the ground proximity. Soft rot species found in all decay stages included H. hymeniophilus (n = 8) and P. melinii (n = 14). Four species were only found in decay stages 0 and 1, A. alternata (n = 2 decay stages 0 and 1), A. albida (n = 8, decay stage 0), M. dextrinospora (n = 2, decay stage 1) and P. alpinus (n = 1, decay stage 1). One species, P. submersa (n = 1), was only found in decay stage 2 and two species were only found in decay stage 3 and 4, P. celtidis (n = 1, decay stage 4) and A. sarcoides (n = 2, decay stage 3). The rest of the soft rot fungi were found in both early and severe decay stages.
Picea abies was identified as the construction material in 40 beams aboveground and 30 poles in ground proximity, while Pinus sylvestris was identified in four beams above ground and 14 poles in ground proximity. The composition of wood-inhabiting fungal communities is the result of environmental and biotic filtering’80. Strong host specificity is reported to be rare among wood decaying fungi, whereas the characteristics of their substrate and surrounding habitat play a critical role81. More specifically, brown rot fungi are typically generalists or gymnosperm specialists, while white rot fungi tend to specialise on angiosperms82. Anatomical and chemical differences between P. abies and P. sylvestris affect their durability and water transport properties. For example, P. abies has bordered pits that limit water movement83, while P. sylvestris is characterised by its distinct heartwood84. According to European standard EN 35085, the heartwood of P. abies is classified as durability class (DC) 4 (slightly durable), whereas P. sylvestris ranges from DC 3 to DC 4 (moderately to slightly durable). Further, sapwood, unless supported by specific test data, is regarded as non-durable85. As the samples in the present study were taken from the outermost 2 cm, any contribution from heartwood is expected to be minimal, if present at all. Wood-decaying species composition, incl. the number of observations, decay stage range, and age range of the poles for the two wood species in ground proximity is given in Supplement 7 Table S12. Conclusions cannot be drawn for species with few observations, but the three most frequent brown rot fungi, A. molle, C. luteoalbus, D. stillatus, were found in all decay stages and all age classes for both P. sylvestris and P. abies. A similar trend was found for the two most frequent white rot fungi, P. praetermissa and P. gigantea. Two of the three most frequent soft rot fungi, H. hymeniophilus and A. pullulans, were found in both early and late decay stages, while one of the three most frequently soft rot fungi P. melinii was found in decay stages 0–2 for P. sylvestris samples and decay stages 3–4 for P. abies. Interestingly, the four collected samples from newly exposed 3-year-old renovated timber of P. sylvestris (decay stage 0) hosted a higher diversity of wood decay fungi than the later decay stages and age classes. However, the sample size was too low in this study to examine if this is due to wood species, exposure time, or microclimate.
As previously mentioned, originally, no biocidal treatment was used in the cable car pylons. However, cable car pylon 158619-32 had previously been restored. During restoration, the original untreated wood had been replaced with treated wood. More specifically: P. sylvestris treated with creosote in NW and NE poles, and CCA in SW and SE poles. Hence, two samples in this study are from treated wood (NW and SE ground proximity). The brown rot fungus C. luteoalbus was found in both samples, and the brown rot fungus A. molle was found in the SE pole. In more recent restoration projects, untreated P. sylvestris has been used (Supplement 1 Table S1).
Species ecology
A fungal species’ inclusion in the Norwegian Red List, along with its category, indicates its occurrence in mainland Norway. Species mentioned in previous papers on fungal decay in polar regions reflect their global distribution. Both are detailed in Supplement 8 Table S13, allowing the identified wood decay fungi to be classified into four categories, as shown in Supplement Table S14.
Since this, to the best of our knowledge, is the first time DNA metabarcoding has been used on wood samples from Svalbard or the polar regions, it was expected to find undocumented species for this habitat. Supplement 9 Table S14 lists newly identified species for Svalbard: five brown rot, five white rot, and 18 soft rot species. For polar regions, new species include four brown rot, five white rot, and 16 soft rot species. Unsurprisingly, the list is dominated by soft rot fungi and would be longer if all identified fungal species were included.
None of the identified wood decay fungi in this study are defined as threatened in Norway86. Among the species evaluated for the Red List, all are listed as LC (least concern) except the soft rot species H. hymeniophilus listed as NE (not evaluated). However, 50% of the brown rot fungi, 29% of white rot fungi and 89% of the soft rot species are not mentioned, even as not evaluated (NE) in the Norwegian Red List.
Further, brown rot fungi were found in more samples than white and soft rot fungi, but the number of identified soft rot fungi species was higher than for brown and white rot fungi (Supplement 6 Table S11). To focus more on the individual species, Supplement 8 Table S13 provides a summary of the known ecology (if any) of the decay fungi. Generally, most of the brown and white rot species are commonly found in conifer forests, and this is verified by Dix and Webster13 who state that few fungi are exclusive to polar regions. Ecological information on soft rot species is more fragmented. Two surprising finds are the food mushrooms P. citrinopileatus (golden oyster) and L. edodes (shiitake). However, home mushroom cultivation kits are gaining popularity. In Longyearbyen, where fresh produce is limited, their use is practical. Several manufacturers recommend disposing of spent substrate outdoors, which may facilitate the introduction of non-native fungal species into the local environment87. Movement of fungal spores in air currents is frequently reported and could happen within Svalbard (or even over longer distances)88. This could explain the presence of the two edible wood decaying fungi found in this study.
The difference in species diversity in wooden cultural heritage between polar regions can have several reasons in addition to geographical differences: the type of substrate studied, the method used for identification, and the sources for the introduction of new species. Living trees are absent at Svalbard, but three dwarf willows are present: Salix herbacea, S. polaris and S. reticulata89. Hence, some inoculation potential could theoretically be provided by fungal degradation of lignocellulolytic plant material, e.g. the mentioned Salix species. Other sources that could provide fungal colonisation of wood material in Svalbard are potentially introduced via driftwood90 and via human activity e.g. import of wood. Further, Dix and Webster13 note that most fungi in polar regions are psychrotolerant strains of mesophiles adapted to temperatures as low as −5°C, often introduced by human activity.
These results contribute to the global understanding of fungal biodiversity and ecological roles in an extreme environment and showcase the resilience and adaptability of fungi in polar regions. This study also highlights the importance of monitoring and updating conservation status lists globally, as new species discoveries can influence ecological, maintenance, and conservation strategies. Identifying indicators of climate change effects will be increasingly important, and the results from the current study could serve as a baseline for further studies.
Impact of fungal decay
In Svalbard, the Arctic amplification effect, combined with the already severely decayed wooden cultural heritage objects, creates an unfortunate situation that demands immediate intervention. Wood decay fungi were present in 86 of the 88 samples collected. The two samples without any decay fungi were collected from aboveground (ID 87889-11, 87889-112—both NW exposure). The structural integrity of cable car pylons is crucial for their longevity, and fungal decay influences the strength properties in different ways depending on the decay mechanism of the species present. Brown rot was present in 84 of the samples. A key aspect of brown rot decay is its ability to degrade wood far ahead of hyphal growth, rapidly breaking down carbohydrates91. This leads to dramatic changes in timber properties, such as tension and bending, even with minimal mass loss and little visible change40,92. In this study, the brown rot fungi A. molle was found in 87% of the samples. Soft rot was found in 64 samples. Even if the decay rate of soft rot fungi is slower than for basidiomycetes the soft rot fungi often cause significant, yet localised, impacts on wood properties because soft rot typically occurs on the exterior of the timber, where the flexural properties are crucial for products like poles91. Hence, the combination of brown and soft rot is unfortunate. White rot was found in 30 of the samples. In both types of white rot, structural losses happen more slowly than in brown rot, and cell wall degradation is more directly linked to enzymatic depolymerisation, leading to declines in properties like tension and bending, which parallel mass losses from decay91. It is important to keep in mind that in natural environments, polymicrobial interactions take place among bacteria, viruses, protozoa, protists, archaea, and fungi. These microorganisms do not exist independently but are frequently part of dynamic “consortia,” comprising various microbial species populations93. This is also illustrated in this study, where several fungal species could be found in one sample, and underscores the global importance of understanding fungal decay to preserve structural wooden heritage.
Supplement 2 Table S4 gives an overview of condition assessments in ground proximity of the cable car pylons used in this study, incl. condition assessment according to the Askeladden database, together with the highest decay rating from all four poles within one pylon found by pick test and resistance drill. If one of the four vertical load-bearing poles of the cable car pylon fails, the pylon will fall to the ground. 82% of the cable car pylons in this study had a decay rating of 3 or 4 by the pick test in at least one of the poles, and 77% had a decay rating of 4 by pick test and/or resistance drilling, highlighting the urgency for restoration for these specific objects.
Methodological considerations
This study is the first to address the progress of decay (i.e. decay rate) in wooden constructions in these extreme environments. It is rare to find cultural heritage study objects that allow this, but the knowledge gained from such a study is significant as they allow for estimation of the constructions’ service life. In this study, severe fungal decay (rating 3 and 4) started to occur after about 50 years in ground proximity. In practice, this means that all cable car pylons with unrenovated foundations have reached a critical stage in terms of renovation needs. The knowledge is transferable to other constructions in this environment where wood is inserted into the soil (e.g. foundation of houses in polar areas).
Decay processes in wooden structures in the Arctic and other polar regions are often slow but can have cumulative impacts on long-term structural integrity. This study identified a significant presence of brown rot fungi, particularly Amylocorticiellum molle, which was found in Svalbard but not in other polar regions. This could suggest geographical differences in fungal communities, potentially influencing strategies for the preservation of wooden cultural heritage in such environments. Fungal community analysis using DNA metabarcoding is anticipated to be frequently used in future studies, replacing culture-based methods and providing deeper insights into this topic. Longer growth seasons and improved conditions for wood decay fungi pose a critical threat to historical wooden structures in polar regions. This study emphasises the significance of ground proximity areas in timber structures as reliable indicators for condition monitoring in a changing climate.
DNA metabarcoding is a powerful tool for characterising fungal communities, though its interpretation is subject to limitations and influenced by bioinformatic choices. Primer bias may skew community profiles by preferentially amplifying certain taxa, while barcode regions may lack the resolution to distinguish closely related species. PCR and sequencing errors can introduce artefacts such as chimeras and singletons, which bioinformatic pipelines aim to minimise, though some may persist undetected. Taxonomic assignment is constrained by the completeness of reference databases, with many fungal species remaining undescribed or unsequenced. We adopted a conservative approach, focusing on species-level identifications with more than 10 reads and targeting fungi known to cause wood decay. Classifications were supported by FUNGuild and manual curation, though this likely underrepresents overall diversity, especially among poorly characterised soft rot fungi. Metabarcoding is not inherently quantitative due to variation in rDNA copy number and amplification efficiency; thus, presence/absence data were used. Environmental contamination was minimised through careful sample handling. While DNA from non-viable fungi may persist, given that some wood samples are over 100 years old, such fungi may have contributed to historical decay processes and are therefore considered ecologically relevant.
Rather than relying on a single method for condition assessment, the combination of methods in this study provides a more robust approach for characterising fungal communities and decay patterns in wood. Decay rating by pick test and resistance drilling are established methods, but the novelty in this study is the transformation of resistance drilling profiles to decay rating and the validation of these field tests by detailed physical and chemical analyses in the laboratory. For analyses of field samples in polar regions chemical characterisation has not previously been used to supplement fungal species identification to quantify the main fungal decay mechanism present. Light microscopy, a long-standing method in mycology, remains valuable for accurately identifying the wood species in the pylons and verifying decay types. Measuring the moisture content of (decayed) wood in service is common, but this describes a momentary state highly influenced by recent weather events (rainfall, sunlight). Our measurements characterised, for the first time, the sorption behaviour of field samples from decayed wood in service, a material property. By comparing wood from aboveground and ground proximity, we revealed a significant effect of environmental conditions on the water sorption capability that has not been reported previously. This methodological advancement is crucial for global heritage conservation efforts, offering a more precise and comprehensive understanding of microbial interactions and decay processes.
Data availability
Field and analytical data are available via https://doi.org/10.18710/AF5OL. The sequencing data are available under NCBI BioProject ID PRJNA1311312.
References
UN. Transforming our world: the 2030 Agenda for Sustainable Development | Department of Economic and Social Affairs. https://sdgs.un.org/2030agenda (2015).
Dahle, K., Bjerck, H. B. & Prestvold, K. Cultural heritage plan for Svalbard 2000-2010 (in Norwegian) (Kulturminneplan for Svalbard 2000-2010). 126 https://www.yumpu.com/no/document/view/33563690/kulturminneplan-for-svalbard-2000-2010-sysselmannen (2000).
Sandodden, I. S., Yri, H. T. & Solli, H. Cultural heritage plan for Svalbard 2013-2023 (in Norwegian) (Kulturminneplan for Svalbard 2013–2023). 57 https://www.sysselmesteren.no/contentassets/bffbcd7fa7ae42ad8c6c22f047b360b3/kulturminneplan-2013---2023.pdf (2013).
Mattsson, J. & Flyen, A.-C. in Historical Polar Bases—preservation and Management (eds. Barr, S. & Chaplin, P.) 23–29 (ICOMOS International Polar Heritage Committee, 2008).
Arlov, T. B. A Short History of Svalbard (Norsk Polarinstitutt, 1989).
Ministry of Climate and Environment. Svalbard Environmental Protection Act. Government.no https://www.regjeringen.no/en/dokumenter/svalbard-environmental-protection-act/id173945/ (2001).
Mattsson, J. The impact of microclimate on biodeterioration of wood in historic buildings. (NTNU, 2017).
Flyen, A.-C. & Mattsson, J. Preservation of technical industrial heritage. Repair of cable car pylons in Longyearbyen (in Norwegian) (Bevaring Av Teknisk Industrielle Kulturminner. Reparasjon Av Taubanebukker i Longyearbyen). https://www.miljovernfondet.no/wp-content/uploads/2020/01/13-47-niku-mycoteam-rapport-manual-for-undersokelse-og-istandsetting-av-taubanebukk.pdf (2018).
Flyen, A.-C., Sinitsyn, A., Westermann, S. & Mattsson, J. The mining history in Longyearbyen is struggling with climate change (in Norwegian) (Gruvehistorien i Longyearbyen sliter med klimaendringene). Kulturminnebloggen, Forskning.no https://blogg.forskning.no/kulturminnebloggen/gruvehistorien-i-longyearbyen-sliter-med-klimaendringene/2108050 (2022).
Gobakken, L. R., Mattsson, J. & Alfredsen, G. The importance of critical in-situ conditions for in-service performance of wood. Agarica 34, 29–36 (2014).
Lebow, S. T. & Highley, T. In Development of Commercial Wood Preservatives. Vol. 982 (eds. Schultz, T.P. Militz, H. Freeman, M.H, Goodell, B. & Nicholas, D.D.) 120–141 (American Chemical Society, 2008).
Zabel, R. & Morrell, J. Wood Microbiology. Decay and Its Prevention (Academic Press, 1992).
Dix, N. & Webster, J. Fungal Ecology (Chapman & Hall, 1995).
Brischke, C. & Alfredsen, G. Wood-water relationships and their role for wood susceptibility to fungal decay. Appl. Microbiol. Biotechnol. 104, 3781–3795 (2020).
Mattsson, J. & Flyen, A.-C. Preventive Methods Against Biodeterioration of Protected Building Materials in Svalbard 44–50 (ICOMOS International Polar Heritage Committee, 2011).
Ernakovich, J. G. et al. Predicted responses of arctic and alpine ecosystems to altered seasonality under climate change. Glob. Change Biol. 20, 3256–3269 (2014).
Marais, B. N., Schönauer, M., van Niekerk, P. B., Niklewski, J. & Brischke, C. Modelling in-ground wood decay using time-series retrievals from the 5th European climate reanalysis (ERA5-Land). Eur. J. Remote Sens. 56, 2264473 (2023).
Flyen, A.-C. & Thuestad, A. E. A review of fungal decay in historic wooden structures in polar regions. Conserv. Manag. Archaeol. Sites 24, 3–35 (2022).
Descamps, S. et al. Climate change impacts on wildlife in a High Arctic archipelago—Svalbard, Norway. Glob. Change Biol. 23, 490–502 (2017).
Serreze, M. C., Barrett, A. P., Stroeve, J. C., Kindig, D. N. & Holland, M. M. The emergence of surface-based Arctic amplification. The Cryosphere 3, 11–19 (2009).
Serreze, M. C. & Francis, J. A. The Arctic amplification debate. clim. change 76, 241–264 (2006).
England, M. R., Eisenman, I., Lutsko, N. J. & Wagner, T. J. W. The Recent Emergence of Arctic Amplification. Geophys. Res. Lett. 48, e2021GL094086 (2021).
Rantanen, M. et al. The Arctic has warmed nearly four times faster than the globe since 1979. Commun. Earth Environ. 3, 1–10 (2022).
Adakudlu, M. et al. Climate in Svalbard 2100—a Knowledge Base for Climate Adaptation. https://ngi.brage.unit.no/ngi-xmlui/handle/11250/2591129 (2019).
Grünberg, I., Groenke, B., Westermann, S. & Boike, J. Permafrost and active layer temperature and freeze/thaw timing reflect climatic trends at Bayelva, Svalbard. J. Geophys. Res. Earth Surf. 129, e2024JF007648 (2024).
Norsk Klimaservicesenter. Climate profile Longyearbyen (in Norwegian) (Klimaprofil Longyearbyen, 2024). https://klimaservicesenter.no/kss/klimaprofiler/longyearbyen
Klesse, S. et al. Tree-ring anatomy improves the reliability of temperature reconstructions using relict wood. Geophys. Res. Lett. 52, e2024GL113310 (2025).
Blanchette, R. A. & Simpson, E. Soft Rot and Wood Pseudomorphs in an Ancient Coffin (700 Bc) From Tumulus Mm at Gordion, Turkey. https://doi.org/10.1163/22941932-90001269 (1992).
Blanchette, R. A. Delignification by Wood-Decay Fungi. Annu. Rev. Phytopathol. 29, 381–403 (1991).
Savory, J. G. Breakdown of timber by ascomycetes and fungi imperfecti. Ann. Appl. Biol. 41, 336–347 (1954).
Zhang, J. et al. Localizing gene regulation reveals a staggered wood decay mechanism for the brown rot fungus Postia placenta. Proc. Natl Acad. Sci. 113, 10968–10973 (2016).
Presley Gerald, N. & Schilling Jonathan, S. Distinct Growth and Secretome Strategies for Two Taxonomically Divergent Brown Rot Fungi. Appl. Environ. Microbiol. 83, e02987–16 (2017).
Blanchette, R. A. A review of microbial deterioration found in archaeological wood from different environments. Biodeteriation Cult. Prop. 2 Part 1 46, 189–204 (2000).
Schwarze, F. W. M. R. Wood decay under the microscope. Fungal Biol. Rev. 21, 133–170 (2007).
Ladislav, R. Wood Deterioration, Protection and Maintenance (John Wiley & Sons, 2016).
Schmidt, O. Wood and Tree Fungi: Biology, Damage, Protection, and Use (Springer, 2006).
Manavalan, T., Manavalan, A. & Heese, K. Characterization of Lignocellulolytic Enzymes from White-Rot Fungi. Curr. Microbiol. 70, 485–498 (2015).
Daniel, G. in Deterioration and Protection of Sustainable Biomaterials (eds. Schultz, T.P., Goodell, B., Nicholas, D.D.) Vol. 1158, 23–58 (American Chemical Society, 2014).
Daniel, G. In Wood Deterioration and Preservation: Advances in Our Changing World (eds. Goodell, B., Nicholas, D.D., Schultz, T.P.) Vol. 845, 34–72 (American Chemical Society, 2003).
Curling, S., Clausen, C. A. & Winandy, J. E. The Effect of Hemicellulose Degradation on the Mechanical Properties of Wood during Brown Rot Decay. Document No IRG/WP 01-20219, 10 p (International Research Group on Wood Preservation, 2001).
Schilling, J. S., Kaffenberger, J. T., Held, B. W., Ortiz, R. & Blanchette, R. A. Using wood rot phenotypes to illuminate the “gray” among decomposer fungi. Front. Microbiol. 11 (2020).
Miller, K. E., Hopkins, K., Inward, D. J. G. & Vogler, A. P. Metabarcoding of fungal communities associated with bark beetles. Ecol. Evol. 6, 1590–1600 (2016).
Garbelotto, M. & Johnson, M. G. High-throughput DNA metabarcoding of stem sections from trees with cavities describes fungal communities associated with variable wood decay. Position on Stem and Tree Species. Forests 14, 1070 (2023).
de Souza, L. M. D. et al. Diversity, distribution and ecology of fungal communities present in Antarctic lake sediments uncovered by DNA metabarcoding. Sci. Rep. 12, 8407 (2022).
de Menezes, G. C. A. et al. Fungal diversity present on rocks from a polar desert in continental Antarctica assessed using DNA metabarcoding. Extremophiles 25, 193–202 (2021).
Nguyen, N. H. et al. FUNGuild: An open annotation tool for parsing fungal community datasets by ecological guild. Fungal Ecol 20, 241–248 (2016).
Blanchette, R., Held, B. W. & Jurgens, J. A. In Historical Polar Bases—Preservation and Management (eds Barr, S. &Chaplin, P.) 30–37 (International Polar Heritage Committee, 2008).
Flyen, A.-C. & Mattsson, J. Mine memories in Longyearbyen and Hiorthhamn. Protected Cable Car Pylons: Condition and Preservation (in Norwegian) (Gruveminner i Longyearbyen og Hiorthhamn). Fredete Taubanebukker: Tilstand Og Bevaring. http://hdl.handle.net/11250/2607975 (2013).
Flyen, A.-C. & Mattsson, J. Permafrost and foundation conditions for cultural heritage in Longyearbyen. Climate changes in Svalbard (in Norwegian) (Permafrost og fundamenteringsforhold for kulturminner i Longyearbyen. Klimaendringer på Svalbard). http://hdl.handle.net/11250/2607975 (2017).
Askeladden Database. Askeladden https://askeladden.ra.no/Askeladden (2025).
EN 252. Field test method for determining the relative protective effectiveness of a wood preservative in ground contact. (2015).
Alfredsen, G. et al. Sampling for Wood Decay Analyses of Cable Car Trestles and Houses at Svalbard. Field Report. https://nibio.brage.unit.no/nibio-xmlui/handle/11250/3050173 (2023).
Sharapov, E., Brischke, C., Militz, H. & Smirnova, E. Effects of white rot and brown rot decay on the drilling resistance measurements in wood. Holzforschung 72, 905–913 (2018).
Belt, T., Altgen, M., Awais, M., Nopens, M. & Rautkari, L. Degradation by brown rot fungi increases the hygroscopicity of heat-treated wood. Int. Biodeterior. Biodegrad. 186, 105690 (2024).
Glass, S. V., Boardman, C. R. & Zelinka, S. L. Short hold times in dynamic vapor sorption measurements mischaracterize the equilibrium moisture content of wood. Wood Sci. Technol. 51, 243–260 (2017).
Jensen, P. & Gregory, D. J. Selected physical parameters to characterize the state of preservation of waterlogged archaeological wood: a practical guide for their determination. J. Archaeol. Sci. 33, 551–559 (2006).
Amiandamhen, S. O., Nagy, N. E., Fongen, M. & Alfredsen, G. Simultaneous Thermal Analysis for characterization of fungal depolymerisation of Norway spruce. Int. Biodeterior. Biodegrad. 186, 105687 (2024).
Richter, H. G., Grosser, D. & Gasson, P. E. IAWA list of microscopic features for softwood identification. IAWA J 25, 1–70 (2004).
Gerards, T., Damblon, F., Wauthoz, B. & Gerrienne, P. Comparison of cross-field pitting in fresh, dried and charcoalified softwoods. IAWA J 28, 49–60 (2007).
Anagnost, S. E. Light Microscopic Diagnosis of Wood Decay. https://doi.org/10.1163/22941932-90001517 (1998).
Wang, Q., Garrity, G. M., Tiedje, J. M. & Cole, J. R. Naïve Bayesian classifier for rapid assignment of rRNA sequences into the new bacterial taxonomy. Appl. Environ. Microbiol. 73, 5261–5267 (2007).
R Core Team. R: The R Project for Statistical Computing. https://www.r-project.org/ (2024).
Anagnost, S. E. & Smith, W. B. Hygroscopicty of decayed wood: implications for weight loss determinations. Wood Fiber Sci. 299–305 (1997).
Chauhan, S. S. & Nagaveni, H. C. Moisture adsorption behaviour of decayed rubber wood. J. Inst. Wood Sci. 19, 1–6 (2009).
Brischke, C., Stricker, S., Meyer-Veltrup, L. & Emmerich, L. Changes in sorption and electrical properties of wood caused by fungal decay. Holzforschung 73, 445–455 (2019).
Belt, T. & Altgen, M. Changes in wood-water relations in acetylated wood over the course of Rhodonia placenta brown rot decay. J. Mater. Sci. Mater. Eng. 20, 19 (2025).
Skaar, C. Wood-Water Relations|SpringerLink (Springer, 1988).
Kránitz, K., Sonderegger, W., Bues, C.-T. & Niemz, P. Effects of aging on wood: a literature review. Wood Sci. Technol. 50, 7–22 (2016).
de Souza, L. M. D. et al. Cryptic fungal diversity revealed by DNA metabarcoding in historic wooden structures at Whalers Bay, Deception Island, maritime Antarctic. Braz. J. Microbiol. 54, 213–222 (2023).
Zhang, Y., Peng, Z., Song, Z. & Schilling, J. S. Repeated measures of decaying wood reveal the success and influence of fungal wood endophytes. mSystems 0, e00382–25 (2025).
Marais, B. N., Brischke, C., Militz, H., Peters, J. H. & Reinhardt, L. Studies into Fungal Decay of Wood In Ground Contact—Part 1: The Influence of Water-Holding Capacity, Moisture Content, and Temperature of Soil Substrates on Fungal Decay of Selected Timbers. Forests 11 (2020).
Yamashita, S., Masuya, H., Abe, S., Masaki, T. & Okabe, K. Relationship between the decomposition process of coarse woody debris and fungal community structure as detected by high-throughput sequencing in a deciduous broad-leaved forest in Japan. PLOS ONE 10, e0131510 (2015).
Yang, C. et al. Higher fungal diversity is correlated with lower CO2 emissions from dead wood in a natural forest. Sci. Rep. 6, 31066 (2016).
Saine, S. et al. Natural deadwood hosts more diverse pioneering wood-inhabiting fungal communities than restored deadwood. Restor. Ecol. 32, e14056 (2024).
Tanney, J. B. & Seifert, K. A. Mollisiaceae: An overlooked lineage of diverse endophytes. Stud. Mycol. 95, 293–380 (2020).
Wheeler, D. L., Dung, J. K. S. & Johnson, D. A. From pathogen to endophyte: an endophytic population of Verticillium dahliae evolved from a sympatric pathogenic population. New Phytol 222, 497–510 (2019).
Seiboth, B. et al. in Biofuel Production—Recent Developments and Prospects (IntechOpen, 2011) https://doi.org/10.5772/16848.
Mallette, N. D. Volatile Fuel & Organic Compound Production by Ascocoryne Sarcoides: Exploration of Environmental Variables and Analytical Methods (Montana State University, 2013).
Riley, R. et al. Extensive sampling of basidiomycete genomes demonstrates inadequacy of the white-rot/brown-rot paradigm for wood decay fungi. Proc. Natl. Acad. Sci. 111, 9923–9928 (2014).
Abrego, N. Wood-inhabiting fungal communities: Opportunities for integration of empirical and theoretical community ecology. Fungal Community Struct. Dev. Funct. Decomposing Wood 59, 101112 (2022).
Lodge, D. J. Factors related to diversity of decomposer fungi in tropical forests. Biodivers. Conserv. 6, 681–688 (1997).
Krah, F.-S. et al. Evolutionary dynamics of host specialization in wood-decay fungi. BMC Evol. Biol. 18, 119 (2018).
Flynn, K. A. A review of The Permeability, Fluid Flow, and Anatomy of Spruce (Picea spp.). Wood Fiber Sci. 278–284 (1995).
Wagenführ, R. Holzatlas (Fachbuchverlag Leipzig, 1996).
CEN. EN 350. Durability of Wood and Wood-based Products. Testing and Classification of the Durability to Biological Agents of Wood and Wood-based Materials (European Committee for Standardization, 2016).
Artsdatabanken. Red list 2021—Norwegian biodiversity information centere (in Norwegian) (Rødlista 2021—Artsdatabanken). https://artsdatabanken.no/lister/rodlisteforarter/2021/ (2021).
Veerabahu, A., Banik, M. T., Lindner, D. L., Pringle, A. & Jusino, M. A. Invasive golden oyster mushrooms are disrupting native fungal communities as they spread throughout North America. Curr. Biol. https://doi.org/10.1016/j.cub.2025.06.049.
Segers, F. J. J., Dijksterhuis, J., Giesbers, M. & Debets, A. J. M. Natural folding of airborne fungal spores: a mechanism for dispersal and long-term survival?. Fungal Biol. Rev. 44, 100292 (2023).
Elven, R., Arnesen, G., Alsos, I. G. & Sandbakk, B. Svalbardflora. Svalbardflora https://www.svalbardflora.no/ (2020).
Blanchette, R. A., Held, B. W., Hellmann, L., Millman, L. & Büntgen, U. Arctic driftwood reveals unexpectedly rich fungal diversity. Fungal Ecol 23, 58–65 (2016).
Goodell, B., Winandy, J. E. & Morrell, J. J. Fungal Degradation of Wood: Emerging Data, New Insights and Changing Perceptions. Coatings 10, 1210 (2020).
Wilcox, W. W. Review of Literature on the Effects of Early Stages of Decay on Wood Strength. Wood Fiber Sci. 252–257 (1978).
Neelakanta, G. & Sultana, H. The use of metagenomic approaches to analyze changes in microbial communities. Microbiol. Insights 6, MBI.S10819 (2013).
Acknowledgements
This work was supported by the Research Council of Norway within the project “Deterioration and decay of wooden cultural heritage in Arctic and Alpine environments” (grant no. 320507). The Governor of Svalbard (Sysselmesteren), the Directorate of Cultural Heritage (Riksantikvaren), the Ministry of Trade, Industry and Fisheries (Nærings- og fiskeridepartementet, NFD), and Store Norske Spitsbergen Kulkompani AS (SNSK) are acknowledged for permitting pick testing, resistance drilling, and collection of wood samples from cable car pylons. The authors would also like to thank Sigrun Kolstad for DNA extraction, Monica Fongen for STA analysis, Thor Erik Vatne Alstad for providing wood plugs from the samples, and Nanna Rosenfeld Lauridsen for assistance with microscopy.
Funding
Open access funding provided by Norwegian Institute of Bioeconomy Research.
Author information
Authors and Affiliations
Contributions
G.A., M.S.A., J.M., L.R. and N.B.P. contributed to funding acquisition and conducted the fieldwork. The work related to metabarcoding was performed by G.A., M.N., I.A.Y., S.A.T. and N.B.P. Figs. 7 and 8 were prepared by S.A.T. Vapour sorption measurements, incl. Fig. 5 was performed by M.A. M.A. also prepared Figs. 1, 3, and 6. Microscopy work was conducted by A.T. (Fig. 2) and N.B.P. (Fig. 4). Resistance drilling data analysis was performed by M.S.A. and J.M. The initial draft of the manuscript was written by G.A. and N.B.P., with all authors contributing to the writing and editing of the final version.
Corresponding author
Ethics declarations
Competing interests
The authors declare no competing interests.
Additional information
Publisher’s note Springer Nature remains neutral with regard to jurisdictional claims in published maps and institutional affiliations.
Supplementary information
Rights and permissions
Open Access This article is licensed under a Creative Commons Attribution 4.0 International License, which permits use, sharing, adaptation, distribution and reproduction in any medium or format, as long as you give appropriate credit to the original author(s) and the source, provide a link to the Creative Commons licence, and indicate if changes were made. The images or other third party material in this article are included in the article’s Creative Commons licence, unless indicated otherwise in a credit line to the material. If material is not included in the article’s Creative Commons licence and your intended use is not permitted by statutory regulation or exceeds the permitted use, you will need to obtain permission directly from the copyright holder. To view a copy of this licence, visit http://creativecommons.org/licenses/by/4.0/.
About this article
Cite this article
Alfredsen, G., Altgen, M., Austigard, M.S. et al. Characterisation of wood decay and fungal diversity in cultural heritage cable car pylons in Svalbard. npj Herit. Sci. 13, 463 (2025). https://doi.org/10.1038/s40494-025-02041-x
Received:
Accepted:
Published:
Version of record:
DOI: https://doi.org/10.1038/s40494-025-02041-x










