Abstract
Background
Although COVID-19 is no longer classified as a pandemic, its serious impact on human health, particularly among children in China, remains profound due to the country’s lengthy and highly restrictive zero-tolerance policy. This study aims to explore the potential influence of COVID-19 on the growth of preschool children.
Methods
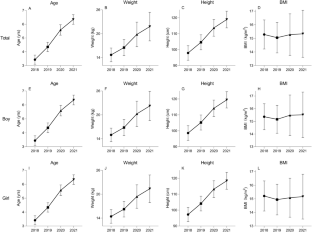
The participants of the study were preschool children identified in 2018, forming the baseline cohort. We systematically monitored their routine physical examination data over the following three years—2019, 2020, and 2021. Data on dependent variables such as median differences, growth levels, and nutritional status assessments were collected. Specifically, we selected 3-year-old children from the 2018 cohort and followed them for four years, analyzing paired data from 2018 to 2021 to assess the impact of COVID-19 lockdown measures on their growth. Tracking the same cohort over time with paired data reduces intergroup biases caused by variations in participants.
Results
The results of the study indicate that the major lockdown during the COVID-19 pandemic did not hinder height growth; in fact, it slightly promoted it among preschool children. However, the lockdown also accelerated weight gain, and the changes in both height and weight led to variations in BMI.
Conclusion
We conclude that the prevalence of children with overweight and obesity during the lockdown period was significantly higher compared to pre-pandemic levels, suggesting that lockdown measures exacerbated these conditions. Moreover, these negative effects are likely to persist in the long term.
This is a preview of subscription content, access via your institution
Access options
Subscribe to this journal
Receive 12 print issues and online access
$259.00 per year
only $21.58 per issue
Buy this article
- Purchase on SpringerLink
- Instant access to the full article PDF.
USD 39.95
Prices may be subject to local taxes which are calculated during checkout






Similar content being viewed by others
Data availability
The data will be available upon reasonable request from the corresponding authors.
References
WHO. Novel coronavirus—China. In. 12 Jan 2020 ed, 2020.
Fan J, Liu X, Pan W, Douglas MW, Bao S. Epidemiology of coronavirus disease in gansu province, China, 2020. Emerg Infect Diseases. 2020;26:1257–65.
Wang Z, Bao S. The impact of social distancing measures (quarantine) policy on tertiary education and medical consultations in China during the COVID-19 pandemic. Front Public Health. 2024;12:1365805.
Bayham J, Fenichel EP. Impact of school closures for COVID-19 on the US health-care workforce and net mortality: a modelling study. Lancet Public Health. 2020;5:e271–e278.
Cai P, Shi Y, Cui J, Wang J, Ren J, Hambly BD, et al. The impact of COVID-19 lockdown on nursing higher education at Chengdu University. PLoS ONE. 2023;18:e0286290.
Cai P, Ye P, Zhang Y, Dai R, Fan J, Hambly BD, et al. The outcomes of lockdown in the higher education sector during the COVID-19 pandemic. PLoS One. 2023;18:e0282907.
China NHCOTPsRo. Growth standards for children under 7 years old. In: China HISotPsRo, (ed). Beijing: National Health Commission Of The People’s Republic of China, 2022.
Priftis N, Panagiotakos D. Screen Time and Its Health Consequences in Children and Adolescents. Children. 2023;10:1665.
Richter SA, Ferraz-Rodrigues C, Schilling LB, Camargo NF, Nunes ML. Effects of the COVID-19 pandemic on sleep quality in children and adolescents: A systematic review and meta-analysis. J Sleep Res. 2023;32:e13720.
Kuzik N, Cameron C, Carson V, Chaput JP, Colley R, Doiron J, et al. The 2022 ParticipACTION Report Card on Physical Activity for Children and Youth: Focus on the COVID-19 pandemic impact and equity-deserving groups. Front Public Health. 2023;11:1172168.
Li B, Ng K, Tong X, Zhou X, Ye J, Yu JJ. Physical activity and mental health in children and youth during COVID-19: a systematic review and meta-analysis. Child Adolesc Psychiatry Ment Health. 2023;17:92.
Eichner-Seitz N, Pate RR, Paul IM. Physical activity in infancy and early childhood: a narrative review of interventions for prevention of obesity and associated health outcomes. Front Endocrinol. 2023;14:1155925.
Nour TY, Altintas KH. Effect of the COVID-19 pandemic on obesity and it is risk factors: a systematic review. BMC Public Health. 2023;23:1018.
China NHCotPsRo. The Growth Standards for Children Under 7 Years Old (replaces WS/T 423—2013). In. Beijing: National Health Commission of the Peole’s Repulic of China 2022.
Liu X, Chen M, Claramunt C, Batty M, Kwan MP, Senousi AM, et al. Geographic information science in the era of geospatial big data: A cyberspace perspective. Innovation. 2022;3:100279.
Wen J, Zhu L, Ji C. Changes in weight and height among Chinese preschool children during COVID-19 school closures. Int J Obes. 2021;45:2269–73.
Long X, Li XY, Jiang H, Shen LD, Zhang LF, Pu Z, et al. Impact of the COVID-19 kindergarten closure on overweight and obesity among 3- to 7-year-old children. World J Pediatr. 2023;19:469–77.
Hu YH, Wang XY, Yao HY, Zhang J, Yin DP, Feng Guo S. Increases in height among chinese children and adolescents by gender: an age-period-cohort analysis. Biomed Environ Sci. 2021;34:348–55.
Jansen E, Thapaliya G, Aghababian A, Sadler J, Smith K, Carnell S. Parental stress, food parenting practices and child snack intake during the COVID-19 pandemic. Appetite. 2021;161:105119.
Vasile CM, Padovani P, Rujinski SD, Nicolosu D, Toma C, Turcu AA. The increase in childhood obesity and its association with hypertension during pandemics. J Clin Med. 2023;12:5909.
Heidari-Beni M, Bemanalizadeh M, Heshmat R, Qorbani M, Kelishadi R. Changes in lifestyle behaviors of children and adolescents during the COVID-19 pandemic and the impact on the development of non-communicable diseases: a narrative review. Med J Islam Repub Iran. 2022;36:165.
Subspecialty Group of Endocrinologic H, Metabolic Diseases tSoPCMA, Subspecialty Group of Child Health Care tSoPCMA, Subspecialty Group of Clinical Nutrition tSoPCMA, Editorial Board CJoP. [Expert consensus on diagnosis, assessment, and management of obesity in Chinese children]. Zhonghua Er Ke Za Zhi. 2022;60:507–15.
Styne DM, Arslanian SA, Connor EL, Farooqi IS, Murad MH, Silverstein JH, et al. Pediatric obesity-assessment, treatment, and prevention: an endocrine society clinical practice guideline. J Clin Endocrinol Metab. 2017;102:709–57.
Pang JCY, Chan ELS, Lau HMC, Reeves KKL, Chung THY, Hui HWL, et al. The impacts of physical activity on psychological and behavioral problems, and changes in physical activity, sleep and quality of life during the COVID-19 pandemic in preschoolers, children, and adolescents: A systematic review and meta-analysis. Front Pediatr. 2023;11:1015943.
Iacopetta D, Catalano A, Ceramella J, Pellegrino M, Marra M, Scali E, et al. The ongoing impact of COVID-19 on pediatric obesity. Pediatr Rep. 2024;16:135–50.
Funding
A project supported by Center for Early Childhood Education Research, Sichuan (CECER-2022-B01); A project supported by the National Natural Science Foundation of China (82073539); A project supported by College Students’ Innovation and Entrepreneurship Training Program of Sichuan Province (S202411079090); A project supported by College Students’ Innovation and Entrepreneurship Training Program of Chengdu University (CDUCX2024173). Gansu Provincial Science and Technology Program (24RCKD001).
Author information
Authors and Affiliations
Contributions
PC designed experiments, analyzed data, wrote and revised manuscript, MW analyzed and checked data, ZY collected data, YLuo verified and screened data, FZ collected data, PY verified data, YLiu verified and screened data, YLi collected data, CH verified data, BDH revised manuscript, JF designed experiments and analyzed data, XY designed experiments, SB designed experiments and revised manuscript.
Corresponding authors
Ethics declarations
Competing interests
The authors declare no competing interests.
Additional information
Publisher’s note Springer Nature remains neutral with regard to jurisdictional claims in published maps and institutional affiliations.
Supplementary information
Rights and permissions
Springer Nature or its licensor (e.g. a society or other partner) holds exclusive rights to this article under a publishing agreement with the author(s) or other rightsholder(s); author self-archiving of the accepted manuscript version of this article is solely governed by the terms of such publishing agreement and applicable law.
About this article
Cite this article
Cai, P., Wang, M., Yang, Z. et al. Unveiling COVID-19 lockdowns shaped the growth of Chinese preschool children. Int J Obes 49, 1125–1133 (2025). https://doi.org/10.1038/s41366-025-01756-y
Received:
Revised:
Accepted:
Published:
Version of record:
Issue date:
DOI: https://doi.org/10.1038/s41366-025-01756-y


