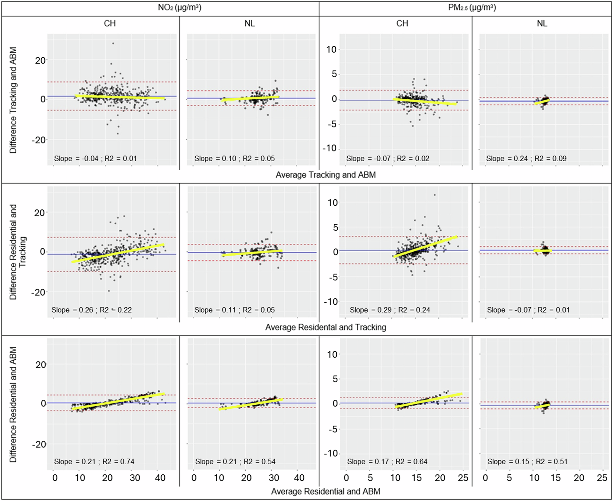
Fig. 2: Agreement between the different air pollution exposure metrics using Bland Altman plots.

Bland Altman plots showing comparisons between exposures for the Swiss and Dutch tracking campaign participants NO2 and PM2.5 (μg/m3) exposures based on the tracking data (GPS); ABM using simulated workplace (ABM) and the residential location only (RES). Blue line shows the mean difference, dotted red line 95% confidence limits for the difference, and yellow line the regression line, accompanied by slope and R2.