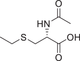
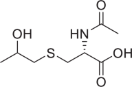
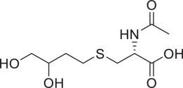
Table 1 Names, abbreviations and structures of the mercapturic acids analyzed and their corresponding precursor chemicals.
Name | Abbr. | Chemical structure | Name of precursor | Structure of precursor | IARC group / REACH classification |
|---|---|---|---|---|---|
N-Acetyl-S-methyl-L-cysteine | MMA |
| methylating agents, e.g., NDMA, methyl chloride |
| REACH: Suspected to be carcinogenic (methyl chloride) |
N-Acetyl-S-ethyl-L-cysteine | EMA |
| ethylating agents, e.g., NDEA, ethyl chloride |
| IARC group 3 (ethyl chloride); REACH: Suspected to be carcinogenic (ethyl chloride) |
N-Acetyl-S-(2-hydroxyethyl)-L-cysteine | 2HEMA |
| ethylene oxide, acrylonitrile |
| REACH: carcinogenic, mutagenic, toxic to reproduction (ethylene oxide); IARC group 1 (acrylonitrile); REACH: carcinogenic, skin sensitizing (acrylonitrile) |
N-Acetyl-S-(2-hydroxypropyl)-L-cysteine | 2HPMA |
| propylene oxide |
| IARC group 2B; REACH: carcinogenic, mutagenic |
N-Acetyl-S-(3-hydroxypropyl)-L-cysteine | 3HPMA |
| acrolein |
| IARC group 2 A |
N-Acetyl-S-(2-cyanoethyl)-L-cysteine | 2CyEMA |
| acrylonitrile |
| IARC group 1; REACH: carcinogenic, skin sensitizing |
N-Acetyl-S-(N-methylcarbamoyl)-L-cysteine | MCaMA |
| N,N-dimethylformamide |
| IARC group 2 A, REACH: toxic to reproduction |
N-Acetyl-S-(2-carbamoylethyl)-L-cysteine | 2CaEMA |
| acrylamide | IARC group 2 A, REACH: carcinogenic, mutagenic, skin sensitizing | |
N-Acetyl-S-(2-carbamoyl-1-hydroxyethyl)-L-cysteine | 2CaHEMA |
| glycidamide (metabolite of acrylamide) | REACH: carcinogenic, mutagenic, skin sensitizing | |
N-Acetyl-S-(3-hydroxy-1-methylpropyl)-L-cysteine | 3HMPMA |
| crotonaldehyde | IARC group 2B, REACH: suspected to be mutagenic | |
N-Acetyl-S-(2-carboxy-1-methylethyl)-L-cysteine | 2CoMEMA |
| crotonaldehyde | IARC group 2B, REACH: suspected to be mutagenic | |
N-Acetyl-S-(3,4-dihydroxybutyl)-L-cysteine | 34HBMA | 1,3-butadiene |
| IARC group 1, REACH: carcinogenic, mutagenic | |
N-Acetyl-S-(1-hydroxymethyl-2-propenyl)-L-cysteine | 1HMPeMA |
| 1,3-butadiene |
| IARC group 1, REACH: carcinogenic, mutagenic |
N-Acetyl-S-(2-hydroxymethyl-3-buten-1-yl)-L-cysteine | 2HBeMA |
| 1,3-butadiene |
| IARC group 1, REACH: carcinogenic, mutagenic |
N-Acetyl-S-(1-phenylethyl-2-hydroxy)-L-cysteine | 2H1PhEMA |
| styrene |
| IARC group 2 A, REACH: suspected to be toxic to reproduction |
N-Acetyl-S-(2-phenylethyl-2-hydroxy)-L-cysteine | 2H2PhEMA |
| styrene |
| IARC group 2 A, REACH: suspected to be toxic to reproduction |
N-Acetyl-S-phenyl-L-cysteine | PhMA |
| benzene |
| IARC group 1, REACH: carcinogenic, mutagenic |
N-Acetyl-S-benzyl-L-cysteine | BzMA |
| toluene |
| IARC group 3, REACH: suspected to be toxic to reproduction |



































