Abstract
Background
Indoor environments serve as critical exposure pathways for airborne micropollutants, yet traditional sampling methods often face limitations in representing dynamic air quality. Alternative, non-invasive techniques for indoor pollutant monitoring are gaining attention.
Objective
This study evaluates the use of spider webs as innovative biomonitoring tools for assessing airborne micropollutants across various indoor environments, in comparison with conventional indoor dust sampling.
Methods
Spider webs and indoor dust samples were collected from a range of indoor microenvironments, including electronic shops, textile stores, daycare centers, and décor shops. Non-target screening of micropollutants was carried out using Gas Chromatography–Mass Spectrometry (GC-MS). Quantification of targeted phthalates (Di-butyl phthalate (DBP), Di-ethyl phthalate (DEP), Di-methyl phthalate (DMP), Mono-butyl phthalate (MBP), Mono-methyl phthalate (MMP), and Mono-ethyl phthalate (MEP)) and bisphenol A (BPA) was performed using Liquid Chromatography–Tandem Mass Spectrometry (LC-MS/MS). Structural distortions in spider silk due to pollutant exposure were monitored using Attenuated Total Reflectance-Fourier Transform Infrared (ATR-FTIR) spectroscopy, focusing on alterations in the amide regions.
Results
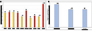
Among the compounds detected, several were exclusive to either web or dust samples, while others were common to both. Esters and carboxylic acids were dominant in web-specific compounds, whereas esters and phenols were prevalent in both matrices. Dust samples recorded higher concentrations of DBP (mean: 10,434 ng/g) and BPA (mean: 2240 ng/g) than web samples (DBP mean: 2352 ng/g; BPA mean: 777 ng/g). ATR-FTIR analysis revealed significant shifts in amide I and II bands in spider silk collected from high-exposure areas, indicating distortion in silk protein structures in response to micropollutant accumulation.

Impact
-
This study highlights the novelty of using spider webs as sensitive, non-invasive bioindicators for indoor air quality. By employing advanced analytical techniques (GC-MS, LC-MS/MS, and ATR-FTIR), we demonstrate that spider webs effectively capture and reflect the presence of airborne micropollutants. Beyond their analytical relevance, spider webs offer a cost-effective, passive, and easily deployable monitoring tool, making them particularly valuable for routine air quality assessments in high-risk microenvironments such as electronics shops and plastics/decor outlets. These findings establish spider web analysis as a promising complement to conventional indoor air monitoring approaches.
This is a preview of subscription content, access via your institution
Access options
Subscribe to this journal
Receive 6 print issues and online access
$259.00 per year
only $43.17 per issue
Buy this article
- Purchase on SpringerLink
- Instant access to the full article PDF.
USD 39.95
Prices may be subject to local taxes which are calculated during checkout





Similar content being viewed by others
Data availability
Data will be made available upon reasonable request.
References
Manisalidis I, Stavropoulou E, Stavropoulos A, Bezirtzoglou E. Environmental and health impacts of air pollution: a review. Front Public Health. 2020;8:14.
Zhou X, Zhou X, Wang C, Zhou H. Environmental and human health impacts of volatile organic compounds: a perspective review. Chemosphere. 2023;313:137489.
Soni V, Singh P, Shree V, Goel V. Effects of VOCs on Human Health. In: Sharma N, Agarwal AK, Eastwood P, Gupta T, Singh AP, editors. Air Pollution and Control. Springer Singapore: Singapore; 2018. p. 119–142. https://doi.org/10.1007/978-981-10-7185-0_8.
Fuentes-Ferragud E, Miralles P, López A, Ibáñez M, Piera JM, López-Labrador FX, et al. Comprehensive air quality assessment including non-targeted approaches in primary schools from Spain. Chemosphere. 2025;372:144022.
Yang J, Yao Y, Li X, He A, Chen S, Wang Y, et al. Nontarget identification of novel organophosphorus flame retardants and plasticizers in indoor air and dust from multiple microenvironments in China. Environ Sci Technol. 2024;58:7986–7997.
Hashimoto S, Takazawa Y, Ieda T, Omagari R, Nakajima D, Nakamura S, et al. Application of rapid air sampling and non-targeted analysis using thermal desorption comprehensive two-dimensional gas chromatography/time-of-flight mass spectrometry to accidental fire. Chemosphere. 2022;303:135021.
Suzuki N, Nakaoka H, Hanazato M, Nakayama Y, Tsumura K, Takaya K, et al. Indoor air quality analysis of newly built houses. Int J Environ Res Public Health. 2019;16:4142.
Aradhana KS, Moorchilot VS, Joo T, Aravindakumar CT, Aravind UK. Spider Webs As Passive Monitors Of Microplastics And Its Copollutants In Indoor Environments. ACS Omega 2024 https://doi.org/10.1021/acsomega.4c07373.
Stojanowska A, Zeynalli F, Wróbel M, Rybak J. The use of spider webs in the monitoring of air quality—a review. Integr Environ Assess Manag. 2023;19:32–44.
Iordachescu L, Rullander G, Lykkemark J, Dalahmeh S, Vollertsen J. An integrative analysis of microplastics in spider webs and road dust in an urban environment–webbed routes and asphalt Trails. J Environ Manag. 2024;359:121064.
Rutkowski R, Rybak J, Mach T, Rogula–Kozłowska W. Spider webs in monitoring of air pollution. SHS Web Conf. 2018;57:02011.
Goßmann I, Süßmuth R, Scholz-Böttcher BM. Plastic in the air?!-Spider webs as spatial and temporal mirror for microplastics including tire wear particles in urban air. Sci Total Environ. 2022;832:155008.
Costa MBD, Schuab JM, Sad CMDS, Ocaris ERY, Otegui MBP, Motta DG, et al. Microplastic atmospheric pollution in an urban Southern Brazil region: What can spider webs tell us?. J Hazard Mater. 2024;477:135190.
Tahir M, Aamir H, Nadeem J. Use of spider webs as indicators of air quality assessment of Lahore City: spider web as indicators of air quality. Water Environ J. 2018;32:292–300.
Taher HZ, Azeez NM, Najim SA. Monitoring of the heavy metals by using pholcidae spider webs in Basrah Province. Seybold Rep. 2023;6:1852–1859.
Xie Q, Tan L, Jia F, Jin C, Wei W, Cao Y et al. Spider webs as noninvasive indicators of biomagnification and tissue partitioning of halogenated organic contaminants in mangrove ecosystems. Environ Sci Technol 2025. https://doi.org/10.1021/acs.est.5c00313.
Rutkowski R, Rybak J, Rogula-Kozłowska W, Bełcik M, Piekarska K, Jureczko I. Mutagenicity of indoor air pollutants adsorbed on spider webs. Ecotoxicol Environ Saf. 2019;171:549–557.
Meher AK, Zarouri A. Environmental applications of mass spectrometry for emerging contaminants. Molecules. 2025;30:364.
Manz KE, Feerick A, Braun JM, Feng Y-L, Hall A, Koelmel J, et al. Non-targeted analysis (NTA) and suspect screening analysis (SSA): a review of examining the chemical exposome. J Expo Sci Environ Epidemiol. 2023;33:524–536.
Manz KE, Dodson RE, Liu Y, Scheidl L, Burks S, Dunn F, et al. Effects of Corsi-Rosenthal boxes on indoor air contaminants: non-targeted analysis using high resolution mass spectrometry. J Expo Sci Environ Epidemiol. 2023;33:537–547.
Noever DA, Cronise RJ, Relwani RA. Using spider-web patterns to determine toxicity. NASA Tech Br. 1995;19:82.
Berthomieu C, Hienerwadel R. Fourier transform infrared (FTIR) spectroscopy. Photosynth Res. 2009;101:157–170.
Tu M, Zheng X, Liu P, Wang S, Yan Z, Sun Q, et al. Typical organic pollutant-protein interactions studies through spectroscopy, molecular docking and crystallography: a review. Sci Total Environ. 2021;763:142959.
Kuriakose PN, Philip S. City profile: Kochi, city region– planning measures to make Kochi smart and creative. Cities. 2021;118:103307.
Moorchilot VS, Arun P, Aravind UK, Aravindakumar CT. Human exposure to methyl and butyl parabens and their transformation products in settled dust collected from urban, semi-urban, rural, and tribal settlements in a tropical environment. Environ Res. 2024;242:117805.
He C-T, Zheng X-B, Yan X, Zheng J, Wang M-H, Tan X, et al. Organic contaminants and heavy metals in indoor dust from e-waste recycling, rural, and urban areas in South China: spatial characteristics and implications for human exposure. Ecotoxicol Environ Saf. 2017;140:109–115.
Melymuk L, Demirtepe H. Jílková SR indoor dust and associated chemical exposures. Curr Opin Environ Sci Health. 2020;15:1–6.
Champion de Crespigny FE, Herberstein ME, Elgar MA. Food caching in orb-web spiders (Araneae: Araneoidea). Naturwissenschaften. 2001;88:42–45.
Rybak J, Olejniczak T. Accumulation of polycyclic aromatic hydrocarbons (PAHs) on the spider webs in the vicinity of road traffic emissions. Environ Sci Pollut Res. 2014;21:2313–2324.
Shah NH, Noe MR, Agnew-Heard KA, Pithawalla YB, Gardner WP, Chakraborty S, et al. Non-targeted analysis using gas chromatography-mass spectrometry for evaluation of the chemical composition of E-vapor products. Front Chem. 2021;9:2021.
Rybak J, Rogula-Kozłowska W, Jureczko I, Rutkowski R. Monitoring of indoor polycyclic aromatic hydrocarbons using spider webs. Chemosphere. 2019;218:758–766.
Lucattini L, Poma G, Covaci A, de Boer J, Lamoree MH, Leonards PEG. A review of semi-volatile organic compounds (SVOCs) in the indoor environment: occurrence in consumer products, indoor air and dust. Chemosphere. 2018;201:466–482.
You B, Zhou W, Li J, Li Z, Sun Y. A review of indoor gaseous organic compounds and human chemical exposure: insights from real-time measurements. Environ Int. 2022;170:107611.
Weschler CJ, Nazaroff WW. SVOC partitioning between the gas phase and settled dust indoors. Atmos Environ. 2010;44:3609–3620.
Vasiljevic T, Harner T. Bisphenol A and its analogues in outdoor and indoor air: properties, sources and global levels. Sci Total Environ. 2021;789:148013.
Zhu L, Hajeb P, Fauser P, Vorkamp K. Endocrine-disrupting chemicals in indoor dust: a review of temporal and spatial trends, and human exposure. Sci Total Environ. 2023;874:162374.
Rybak J, Spówka I, Zwozdziak A, Fortuna M, Trzepla-Nabaglo K. Evaluation of the usefulness of spider webs as an air quality monitoring tool for heavy metals. Ecol Chem Eng. 2015;22:389.
Metcalfe CD, Bayen S, Desrosiers M, Muñoz G, Sauvé S, Yargeau V. An introduction to the sources, fate, occurrence and effects of endocrine disrupting chemicals released into the environment. Environ Res. 2022;207:112658.
Ma W-L, Subedi B, Kannan K. The occurrence of bisphenol A, phthalates, parabens and other environmental phenolic compounds in house dust: a review. Curr Org Chem. 2014;18:2182–2199.
Levasseur JL, Hammel SC, Hoffman K, Phillips AL, Zhang S, Ye X, et al. Young children’s exposure to phenols in the home: associations between house dust, hand wipes, silicone wristbands, and urinary biomarkers. Environ Int. 2021;147:106317.
Chen L-B, Gao C-J, Zhang Y, Shen H-Y, Lu X-Y, Huang C, et al. Phthalate Acid Esters (PAEs) in indoor dust from decoration material stores: occurrence, sources, and health risks. Toxics. 2024;12:505.
Li J, Liu B, Yu Y, Dong W. A systematic review of global distribution, sources and exposure risk of phthalate esters (PAEs) in indoor dust. J Hazard Mater. 2024;471:134423.
Deng M, Han X, Ge J, Liang X, Du B, Li J, et al. Prevalence of phthalate alternatives and monoesters alongside traditional phthalates in indoor dust from a typical e-waste recycling area: source elucidation and co-exposure risk. J Hazard Mater. 2021;413:125322.
Lin Q, Zheng N, An Q, Xiu Z, Li X, Zhu H, et al. Phthalate monoesters accumulation in residential indoor dust and influence factors. Sci Total Environ. 2024;948:174900.
Moorchilot VS, Louis H, Haridas A, Praveena P, Arya SB, Nair AS, et al. Bisphenols in indoor dust: a comprehensive review of global distribution, exposure risks, transformation, and biomonitoring. Chemosphere. 2025;370:143798.
Dueñas-Moreno J, Mora A, Kumar M, Meng X-Z, Mahlknecht J. Worldwide risk assessment of phthalates and bisphenol A in humans: The need for updating guidelines. Environ Int. 2023;181:108294.
Strømmen K, Lyche JL, Moltu SJ, Müller MHB, Blakstad EW, Brække K, et al. Estimated daily intake of phthalates, parabens, and bisphenol A in hospitalised very low birth weight infants. Chemosphere. 2022;309:136687.
Mariana M, Castelo-Branco M, Soares AM, Cairrao E. Phthalates’ exposure leads to an increasing concern on cardiovascular health. J Hazard Mater. 2023;457:131680.
Liu X, Peng C, Shi Y, Tan H, Tang S, Chen D. Beyond phthalate diesters: existence of phthalate monoesters in South China house dust and implications for human exposure. Environ Sci Technol. 2019;53:11675–11683.
Moorchilot VS, Aradhana KS, Varsha M, Cyrus MK, Aravindakumar CT, Aravind UK. ATR-FTIR and LC-Q-ToF-MS analysis of indoor dust from different micro-environments located in a tropical metropolitan area. Sci Total Environ. 2021;783:147066.
Frankowski R, Zgoła-Grześkowiak A, Grześkowiak T, Sójka K. The presence of bisphenol A in thermal paper in the face of changing European regulations—a comparative global research. Environ Pollut. 2020;265:114879.
Li P, Gan Z, Li Z, Wang B, Sun W, Su S, et al. Occurrence and exposure evaluation of bisphenol A and its analogues in indoor and outdoor dust from China. Sci Total Environ. 2024;920:170833.
Lioy PJ, Freeman NCG, Millette JR. Dust: a metric for use in residential and building exposure assessment and source characterization. Environ Health Perspect. 2002;110:969–983.
Hernandez G, Wallis SL, Graves I, Narain S, Birchmore R, Berry T-A. The effect of ventilation on volatile organic compounds produced by new furnishings in residential buildings. Atmos Environ X. 2020;6:100069.
Zhu Y, Tang Z, He Y, Wang F, Lyu Y. Occurrence of methylsiloxanes in indoor store dust in China and potential human exposure. Environ Res. 2023;218:114969.
Waiyarat S, Boontanon SK, Boontanon N, Harrad S, Drage DS, Abdallah MA-E, et al. Concentrations of tetrabromobisphenol-A and hexabromocyclododecane in Thai child daycare centre dust and the exposure risk for young children. Emerg Contam. 2023;9:100229.
Sly PD, Trottier BA, Bulka CM, Cormier SA, Fobil J, Fry RC, et al. The interplay between environmental exposures and COVID-19 risks in the health of children. Environ Health. 2021;20:1–10.
Sadrizadeh S, Yao R, Yuan F, Awbi H, Bahnfleth W, Bi Y, et al. Indoor air quality and health in schools: a critical review for developing the roadmap for the future school environment. J Build Eng. 2022;57:104908.
Lee J, Kim H-B, Jung H-J, Chung M, Park SE, Lee K-H, et al. Protecting our future: environmental hazards and children’s health in the face of environmental threats: a comprehensive overview. Clin Exp Pediatr. 2024;67:589.
Haq M, Sampath V, Sheffield P, Jackson RJ, Nadeau KC. Advocating for planetary health is an essential part of advocating for children’s health. Pediatr Res. 2024;96:1494–1502.
Rajkumar DS, Murugan G, Padmanaban R. Unraveling the interaction of bisphenol A with collagen and its effect on conformational and thermal stability. Biophys Chem. 2023;298:107026.
Patnana DP, Kanikaram SP, Kumar P, Cheerala VSK, Sivaramakrishnan V, Tripathi P, et al. Simultaneous determination of polycyclic aromatic hydrocarbons, their derivatives, and phthalic acid esters bound to ambient PM2.5 during pre-summer season in Bengaluru, India, and potential effect on protein aggregation diseases. Environ Sci Pollut Res. 2025. https://doi.org/10.1007/s11356-025-36035-w.
BP4NTA. NTA Study Reporting Tool (PDF). In: figshare, 2024. https://doi.org/10.6084/m9.figshare.19763482.
Acknowledgements
The authors acknowledge the partial financial support from the SPARC project (MHRD), New Delhi, and RUSA 2.0 CUSAT. Inter University Instrumentation Centre (IUIC), and Sophisticated Analytical Instrumentation Facility (SAIF), Mahatma Gandhi University, Kottayam, for instrumental support. VSM is thankful for the UGC-SRF fellowship. The NTA Study Reporting Tool (SRT) was used during peer review to document and improve the reporting and transparency of this study (10.1021/acs.analchem.1c02621; 10.6084/m9.figshare.19763503 [Excel]) [63]. The authors are also thankful to the technical support provided by Shiny Thomas, Pooja S Kumar, and Naveen S. Lal during the target and non-target analysis.
Author information
Authors and Affiliations
Contributions
VSM and KSA both contributed to the conceptualization, methodology, formal analysis, and writing of the original draft. CTA contributed to drafting and reviewing the manuscript, and UKA contributed to the conceptualization, drafting, and reviewing.
Corresponding author
Ethics declarations
Competing interests
The authors declare no competing interests.
Ethics approval and consent to participate
Not applicable. This study did not involve human participants, human data, human biological material, or live vertebrate animals. Only environmental samples (dust/spider webs) were collected and analysed, which do not fall under institutional or national requirements for ethical review.
Additional information
Publisher’s note Springer Nature remains neutral with regard to jurisdictional claims in published maps and institutional affiliations.
Supplementary information
Rights and permissions
Springer Nature or its licensor (e.g. a society or other partner) holds exclusive rights to this article under a publishing agreement with the author(s) or other rightsholder(s); author self-archiving of the accepted manuscript version of this article is solely governed by the terms of such publishing agreement and applicable law.
About this article
Cite this article
Moorchilot, V.S., Aradhana, K.S., Aravindakumar, C.T. et al. Unravelling airborne complexities: the role of spider webs and indoor dust in assessing human exposure to indoor organic micropollutants. J Expo Sci Environ Epidemiol (2026). https://doi.org/10.1038/s41370-026-00839-w
Received:
Revised:
Accepted:
Published:
Version of record:
DOI: https://doi.org/10.1038/s41370-026-00839-w


