Abstract
Background
Self-sampling of biomaterials is an important means for continuous remote occupational surveillance. Recently, we presented an overview of different self-sampling methods for occupational research. Dried blood spots (DBS), urine, saliva and oral buccal cells were matrices of choice for rapid, minimally invasive sample collection for analysis of a wide range of biomarkers.
Objective
We set up pilot studies to optimise a suitable workflow for minimally invasive matrices in different occupational setups.
Methods
A two-phase pilot study was conducted. In Phase 1, DBS samples were collected from 40 healthy participants according to written and video-recorded protocols. Samples were received intact and without visible damage. We surveyed participants on aspects related to ease of self-sampling and clarity of instructions. In Phase 2, a study of 15 participants, we further refined the protocols to characterise global DNA methylation, oxidative DNA damage (8-OHdG), and immunoarrays (IFN-γ, IL-1β, IL-2, IL-4, IL-6, IL-8, IL-10, IL-12p70, IL-13, TNF-α, and CRP) in DBS and dried plasma spots (DPS) and assessed the effect of sample storage duration and shipment (stored immediately, and after one, two, four and six weeks).
Results
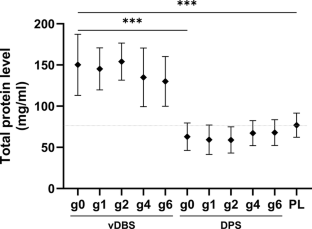
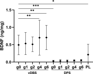
DBS samples were used to optimise the DNA extraction protocol, which yielded good-quality DNA. We showed the stability for most of the markers up to six weeks. A large number of immune markers could be detected in DBS- and DPS-derived samples, and proteomics was feasible.
Significance
With this study, we confirmed that minimally invasive techniques for good-quality biological sample collection are available for use in future occupational studies.
Impact
This study establishes a robust framework for minimally invasive self-sampling in occupational health research, demonstrating the feasibility of dried blood and plasma spots for high-quality analysis of proteomic, immune, and DNA biomarkers. These methods support scalable, remote, and longitudinal biomolecular surveillance across diverse work environments. Evaluating biomarker stability is essential, as room temperature storage can affect data integrity. Our findings confirm robust proteomic profiling, stable DNA methylation markers, and promising immune marker detection, reinforcing the potential of dried blood spots for reliable long-term health monitoring.
This is a preview of subscription content, access via your institution
Access options
Subscribe to this journal
Receive 6 print issues and online access
$259.00 per year
only $43.17 per issue
Buy this article
- Purchase on SpringerLink
- Instant access to the full article PDF.
USD 39.95
Prices may be subject to local taxes which are calculated during checkout






Similar content being viewed by others
Data availability
The datasets generated during and/or analysed during the current study are available from the corresponding author on reasonable request.
References
Pronk A, Loh M, Kuijpers E, Albin M, Selander J, Godderis L, et al. Applying the exposome concept to working life health: the EU EPHOR project. Environ Epidemiol. 2022 Apr 17 [cited 2025 Jan 29];6(2):E185. Available from: https://pubmed.ncbi.nlm.nih.gov/35434456/.
Huijts T, Stornes P, Eikemo TA, Bambra C, Beckfield J, Wendt C, et al. Prevalence of physical and mental non-communicable diseases in Europe: findings from the European Social Survey (2014) special module on the social determinants of health. Eur J Public Health. 2017;27:8–13.
Bakusic J, Lenderink A, Lambreghts C, Vandenbroeck S, Verbeek J, Curti S, et al. Alert and sentinel approaches for the identification of work-related diseases in the EU. (2018).
Verscheure E, Stierum R, Schlünssen V, Lund Würtz AM, Vanneste D, Kogevinas M, et al. Characterization of the internal working-life exposome using minimally and non-invasive sampling methods - a narrative review. Environ Res. 2023 Dec 1 [cited 2024 Apr 16];238. Available from: https://pubmed.ncbi.nlm.nih.gov/37683788/.
Boniol M, Kunjumen T, Nair TS, Siyam A, Campbell J, Diallo K. The global health workforce stock and distribution in 2020 and 2030: a threat to equity and ‘universal’ health coverage? BMJ Glob Health. 2022 Jun 27 [cited 2025 Jan 29];7:9316. Available from: https://gh.bmj.com/content/7/6/e009316.
World Health Organisation (WHO). Global strategy on human resources for health: Workforce 2030. 2016.
Health workforce [Internet]. [cited 2025 Mar 14]. Available from: https://www.who.int/health-topics/health-workforce#tab=tab_1.
Health-EU newsletter 250 - Focus - European Commission [Internet]. [cited 2025 Mar 14]. Available from: https://health.ec.europa.eu/other-pages/basic-page/health-eu-newsletter-250-focus_en.
Urlacher SS, Kim EY, Luan T, Young LJ, Adjetey B Minimally invasive biomarkers in human and non-human primate evolutionary biology: tools for understanding variation and adaptation. Am J Hum Biol. 2022 Nov 1 [cited 2025 Jan 29];34(11). Available from: https://pubmed.ncbi.nlm.nih.gov/36205445/.
Crimmins EM, Zhang YS, Kim JK, Frochen S, Kang H, Shim H, et al. Dried blood spots: Effects of less than optimal collection, shipping time, heat, and humidity. Am J Hum Biol. 2020 Sep 1 [cited 2025 Oct 1];32(5). Available from: https://pubmed.ncbi.nlm.nih.gov/31922324/.
Veenhof H, Koster RA, Brinkman R, Senturk E, Bakker SJL, Berger SP, et al. Performance of a web-based application measuring spot quality in dried blood spot sampling. Clin Chem Lab Med. 2019;57:1846–53.
QIAGEN. DNeasy Blood & Tissue Handbook (HB-2061-003). 2023.
Lucena-Aguilar G, Sánchez-López AM, Barberán-Aceituno C, Carrillo-Ávila JA, López-Guerrero JA, Aguilar-Quesada R. DNA source selection for downstream applications based on dna quality indicators analysis. Biopreserv Biobank. 2016;14:264.
T042-TECHNICAL BULLETIN NanoDrop Spectrophotometers.
Boffel L, Van Mensel A, Pauwels J, Den Hond E, Bessems J, Van Uytfanghe K, et al. Self-sampling by adolescents at home: assessment of the feasibility to successfully collect blood microsamples by inexperienced individuals. AAPS J. 2024;26:1–13.
Reed RG, Hillmann AR, Nation M, Braksator S, Sigler K. Remote dried blood spot collection for inflammatory markers in older adults is feasible, reliable, and valid. Brain Behav Immun. 2024;120:545–53.
Fokkema MR, Bakker AJ, De Boer F, Kooistra J, De Vries S, Wolthuis A. HbA1c measurements from dried blood spots: validation and patient satisfaction. Clin Chem Lab Med. 2009;47:1259–64.
Elliott TG, Dooley KC, Zhang M, Campbell HSD, Thompson DJS. Comparison of glycated hemoglobin results based on at-home and in-lab dried blood spot sampling to routine venous blood sampling in-lab in adult patients with type 1 or type 2 diabetes. Can J Diabetes. 2018;42:426–32.e1.
Sakhi AK, Bastani NE, Ellingjord-Dale M, Gundersen TE, Blomhoff R, Ursin G. Feasibility of self-sampled dried blood spot and saliva samples sent by mail in a population-based study. BMC Cancer. 2015;15:1–9.
Roberts SC, Seav SM, McDade TW, Dominick SA, Gorman JR, Whitcomb BW, et al. Self-collected dried blood spots as a tool for measuring ovarian reserve in young female cancer survivors. Human Reprod. 2016;31:1570–8. https://doi.org/10.1093/humrep/dew114.
Boons CCLM, Timmers L, Janssen JJWM, Swart EL, Hugtenburg JG, Hendrikse NH. Feasibility of and patients’ perspective on nilotinib dried blood spot self-sampling. Eur J Clin Pharmacol. 2019;75:825–9.
Luo W, Sullivan V, Chavez PR, Wiatrek SE, Zlotorzynska M, Martin A, et al. The feasibility of modified HIV and antiretroviral drug testing using self-collected dried blood spots from men who have sex with men. BMC Infect Dis. 2021;21:1–7.
Hirshfield S, Teran RA, Downing MJ, Chiasson MA, Tieu HV, Dize L, et al. Quantification of HIV-1 RNA among men who have sex with men using an at-home self-collected dried blood spot specimen: feasibility study. JMIR Public Health Surveill. 2018;4:e10847.
Hergott DEB, Owalla TJ, Balkus JE, Apio B, Lema J, Cemeri B, et al. Feasibility of community at-home dried blood spot collection combined with pooled reverse transcription PCR as a viable and convenient method for malaria epidemiology studies. Malar J. 2022;21:1–16.
Green JM, Barry F, Burton P, Beauchemin J, Huentelman MJ, Deoni SCL, et al. At-home dried blood spot (DBS) collection to increase population heterogeneity representation in pediatric research: an ECHO study. Front Pediatr. 2023;11:1059107.
Kumar A, Mhatre S, Godbole S, Jha P, Dikshit R, Li K. Optimization of extraction of genomic DNA from archived dried blood spot (DBS): potential application in epidemiological research & bio banking. Gates Open Res. 2019;2:57.
Staunstrup NH, Starnawska A, Nyegaard M, Christiansen L, Nielsen AL, Børglum A, et al. Genome-wide DNA methylation profiling with MeDIP-seq using archived dried blood spots. Clin Epigenetics. 2016;8. Available from: https://pubmed.ncbi.nlm.nih.gov/27462375/.
Ghantous A, Hernandez-Vargas H, Herceg Z. DNA methylation analysis from blood spots: increasing yield and quality for genome-wide and locus-specific methylation analysis. Methods Mol Biol. 2018;1708:605–19.
Walker RM, MacGillivray L, McCafferty S, Wrobel N, Murphy L, Kerr SM, et al. Assessment of dried blood spots for DNA methylation profiling. Wellcome Open Res. 2019;4:44.
Tetsuo U, Yoshikazu N. Ultra-micromethod for the biochemical analysis of cutaneous capillary blood: II. Elimination of bilirubin and hemoglobin interference in the glucose oxidase colorimetric method for measuring blood glucose. Clin Chim Acta. 1975;59:263–6.
Boer K, Isenmann S, Deufel T. Strong interference of hemoglobin concentration on CSF total protein measurement using the trichloroacetic acid precipitation method. Clin Chem Lab Med. 2007;45:112–3.
McDade TW, Miller A, Tran TT, Borders AEB, Miller G. A highly sensitive multiplex immunoassay for inflammatory cytokines in dried blood spots. Am J Hum Biol. 2021;33. Available from: https://pubmed.ncbi.nlm.nih.gov/33382166/.
Jacobson TA, Kler JS, Bae Y, Chen J, Ladror DT, Iyer R, et al. A state-of-the-science review and guide for measuring environmental exposure biomarkers in dried blood spots. J Expo Sci Environ Epidemiol. 2023;33:505–23.
Hall EM, Flores SR, De Jesús VR. Influence of hematocrit and total-spot volume on performance characteristics of dried blood spots for newborn screening. Int J Neonatal Screen. 2015;1:69–78.
de Vries R, Barfield M, van de Merbel N, Schmid B, Siethoff C, Ortiz J, et al. The effect of hematocrit on bioanalysis of DBS: results from the EBF DBS-microsampling consortium. Bioanalysis. 2013;5:2147–60.
Daousani C, Kostić N, Malenović A, Rmandić M, Dotsikas Y. On the use of image analysis for hematocrit evaluation in dried blood spots. Appl Sci. 2024;14:9860.
Chambers AG, Percy AJ, Hardie DB, Borchers CH. Comparison of proteins in whole blood and dried blood spot samples by LC/MS/MS. J Am Soc Mass Spectrom. 2013;24:1338–45.
Sun W, Huang A, Wen S, Yang R, Liu X. Temporal assessment of protein stability in dried blood spots. J Proteome Res. 2024;23:3585–97.
Malsagova KA, Stepanov AA, Kopylov AT, Enikeev DV, Potoldykova NV, Izotov AA, et al. Stability of plasma protein composition in dried blood spot during storage. Processes. 2020;8:1500.
Nakajima D, Ohara O, Kawashima Y. Toward proteome-wide exploration of proteins in dried blood spots using liquid chromatography-coupled mass spectrometry. Proteomics. 2021 Dec 1 [cited 2025 Sep 23];21. Available from: https://pubmed.ncbi.nlm.nih.gov/34379369/.
Zhuang YJ, Mangwiro Y, Wake M, Saffery R, Greaves RF. Multi-omics analysis from archival neonatal dried blood spots: limitations and opportunities. Clin Chem Lab Med. 2022;60:1318–41.
Blackwell AD, Garcia AR. Ecoimmunology in the field: measuring multiple dimensions of immune function with minimally invasive, field-adapted techniques. Am J Human Biol. 2022;34:e23784.
Björkesten J, Enroth S, Shen Q, Wik L, Hougaard DM, Cohen AS, et al. Stability of proteins in dried blood spot biobanks. Mol Cell Proteomics. 2017;16:1286–96.
Skogstrand K, Ekelund CK, Thorsen P, Vogel I, Jacobsson B, Nørgaard-Pedersen B, et al. Effects of blood sample handling procedures on measurable inflammatory markers in plasma, serum and dried blood spot samples. J Immunol Methods. 2008;336:78–84.
Schakelaar MY, Kemperman H, Schoneveld AH, Hoefer IE, Tiel Groenestege WM. Analysis of C-reactive protein from finger stick dried blood spot to predict high risk of cardiovascular disease. Sci Rep. 2023;13. Available from: https://pubmed.ncbi.nlm.nih.gov/36781868/.
Brindle E, Fujita M, Shofer J, O’Connor KA. Serum, plasma, and dried blood spot high-sensitivity C-reactive protein enzyme immunoassay for population research. J Immunol Methods. 2010;362:112–20.
Massaro AN, Wu YW, Bammler TK, MacDonald JW, Mathur A, Chang T, et al. Dried blood spot compared to plasma measurements of blood-based biomarkers of brain injury in neonatal encephalopathy. Pediatr Res. 2019;85:655–61.
Broberg K, Svensson J, Grahn K, Assarsson E, Åberg M, Selander J, et al. Evaluation of 92 cardiovascular proteins in dried blood spots collected under field-conditions: Off-the-shelf affinity-based multiplexed assays work well, allowing for simplified sample collection. Bioessays [Internet]. 2021;43. Available from: https://pubmed.ncbi.nlm.nih.gov/33586222/.
Kaareddy S, Dhakne P, Pillai M, Rajput N, Jadav T, Tekade RK, et al. Dried blood spot sampling in protein and peptide bioanalysis: optimism, experience, and the path forward. Int J Pept Res Ther. 2023;29:1–19.
Colucci-D’amato L, Speranza L, Volpicelli F. Neurotrophic factor BDNF, physiological functions and therapeutic potential in depression, neurodegeneration and brain cancer. Int J Mol Sci. 2020;21. 7777.
Malekan M, Nezamabadi SS, Samami E, Mohebalizadeh M, Saghazadeh A, Rezaei N. BDNF and its signaling in cancer. J Cancer Res Clin Oncol. 2023;149:2621–36.
Polli A, Ghosh M, Bakusic J, Ickmans K, Monteyne D, Velkeniers B, et al. DNA methylation and brain-derived neurotrophic factor expression account for symptoms and widespread hyperalgesia in patients with chronic fatigue syndrome and comorbid fibromyalgia. Arthritis Rheumatol. 2020;72:1936–44.
Bakusic J, Ghosh M, Polli A, Bekaert B, Schaufeli W, Claes S, et al. Epigenetic perspective on the role of brain-derived neurotrophic factor in burnout. Transl Psychiatry [Internet]. 2020;10. Available from: https://pubmed.ncbi.nlm.nih.gov/33077716/.
Bailey DN, Fitzgerald RL. The Effects of Hemolysis, Icterus, Lipemia, Refrigeration, Diurnal Variation, and Drugs on Laboratory Tests; Pediatric Clinical Chemistry. Clin Chem [Internet]. 2024;15–24. Available from: https://link.springer.com/chapter/10.1007/978-3-031-67380-1_2.
Trifonova OP, Maslov DL, Balashova EE, Lokhov PG. Evaluation of dried blood spot sampling for clinical metabolomics: effects of different papers and sample storage stability. Metabolites. 2019;9. Available from: https://pubmed.ncbi.nlm.nih.gov/31726782/.
Cordero JF, Calafat AM, Collman GW, et al. Abstracts of the Joint Annual Meeting of the International Society of Exposure Science and the International Society for Environmental Epidemiology 2025. J Expo Sci Environ Epidemiol (2025). https://doi.org/10.1038/s41370-025-00801-2
Buntinx Y. Workflow optimization of DNA analysis in dried blood spots (DBS). [Leuven]: KU Leuven; 2024.
Hoornaert EM. Exploring the effectiveness of dried blood spot sampling in measuring inflammatory markers. [Leuven]: KU Leuven; 2024.
Acknowledgements
This research was supported by the EPHOR (Horizon 2020 research and innovation programme; grant agreement no. 874703) and INTERCAMBIO (Horizon Europe research and innovation actions; grant agreement no. 101137149) projects. MCT is funded by a Ramón y Cajal fellowship (RYC-2017-01892) from the Spanish Ministry of Science, Innovation and Universities and co-funded by the European Social Fund. ISGlobal acknowledges support from the grant CEX2023-0001290-S funded by MCIN/AEI/ 10.13039/501100011033, and support from the Generalitat de Catalunya through the CERCA Programme. We want to thank the collaborators from Proteomics Leuven - Laboratory of Applied Mass Spectrometry (LAMaS) for their valuable contribution to the research presented in this paper. Parts of this article are based on the following master’s theses: ‘Workflow optimisation of DNA analysis in dried blood spots (DBS)’ by Yanthe Buntinx, KU Leuven, Belgium, and ‘Exploring the Effectiveness of Dried Blood Spot Sampling in Measuring Inflammatory Markers’ by Eva-Maria Hoornaert, KU Leuven, Belgium [57, 58]. The authors would like to thank Laura Smales for their professional language editing and proofreading assistance, which helped improve the clarity and readability of this manuscript.
Funding
This research was supported by the EPHOR (Horizon 2020 research and innovation programme; grant agreement no. 874703) and INTERCAMBIO (Horizon Europe research and innovation actions; grant agreement no. 101137149) projects.
Author information
Authors and Affiliations
Contributions
Evi De Ryck: Conceptualisation, methodology, formal analysis, writing—original draft, writing—review and editing, visualisation, supervision, project administration; Eva-Maria Hoornaert: Investigation, writing—review and editing; Yanthe Buntinx: Investigation, writing—review and editing; Eline Verscheure: Investigation, writing—review and editing; Michelle C Turner: Writing—review and editing, funding acquisition; Anjoeka Pronk: Writing—review and editing, funding acquisition; Peter HM Hoet: Supervision, writing—review and editing; Lode Godderis: Supervision, writing—review and editing, funding acquisition; Manosij Ghosh: Conceptualisation, methodology, writing—original draft, writing—review and editing, visualisation, supervision, project administration, funding acquisition.
Corresponding author
Ethics declarations
Competing interests
The authors declare no competing interests.
Ethical approval
The study protocol was approved by the Ethics Committee Research UZ/KU Leuven (S64599).
Additional information
Publisher’s note Springer Nature remains neutral with regard to jurisdictional claims in published maps and institutional affiliations.
Supplementary information
Rights and permissions
Springer Nature or its licensor (e.g. a society or other partner) holds exclusive rights to this article under a publishing agreement with the author(s) or other rightsholder(s); author self-archiving of the accepted manuscript version of this article is solely governed by the terms of such publishing agreement and applicable law.
About this article
Cite this article
De Ryck, E., Hoornaert, EM., Buntinx, Y. et al. Dried blood spot-based monitoring of immune and epigenetic biomarkers in occupational exposure studies. J Expo Sci Environ Epidemiol (2026). https://doi.org/10.1038/s41370-026-00842-1
Received:
Revised:
Accepted:
Published:
Version of record:
DOI: https://doi.org/10.1038/s41370-026-00842-1


