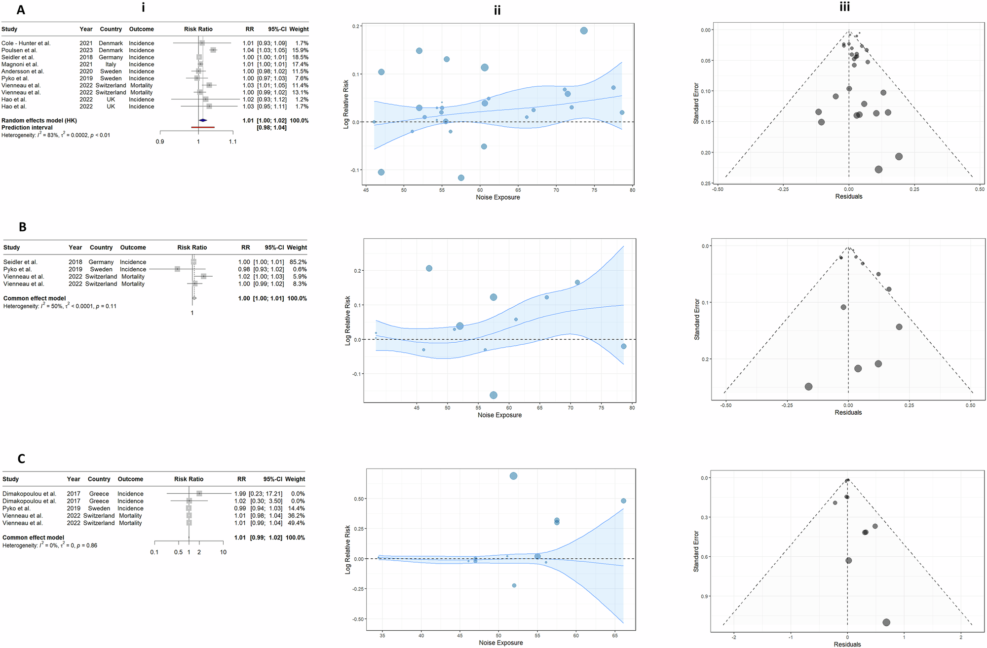
Fig. 4: Association between long-term exposure to transportation noise sources and stroke: traditional meta-analysis framework.

A Road traffic noise, B railway noise, C aircraft noise. (i) Forest plot of underlying relative risk (RR) data, (ii) log(RR) exposure-response function; and (iii) modified funnel plot showing the residuals (relative to 0) on the x axis and the estimated standard error and between-study heterogeneity on the y axis. Note: Meta-regression was performed using relative risk estimates associated with each noise exposure category to construct the exposure-response function (ii). Estimates from the same study were interpolated and pooled into a single estimate (per 10 dB increase), which was then pooled in the meta-analysis.