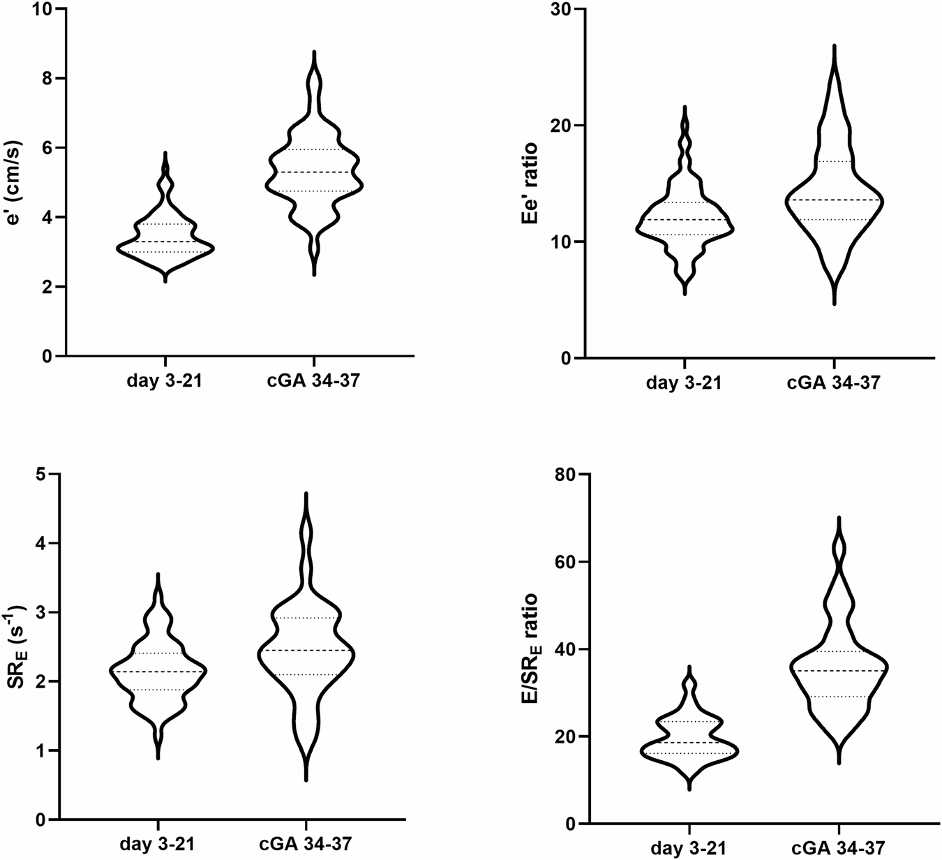
Fig. 3

Tissue Doppler early diastolic velocities (e’), early diastolic strain rate (SRE) and derivates of increased left atrial pressure (Ee ratio and E/SRE ratio) as violin plot. cGA, corrected gestational age in weeks.

Tissue Doppler early diastolic velocities (e’), early diastolic strain rate (SRE) and derivates of increased left atrial pressure (Ee ratio and E/SRE ratio) as violin plot. cGA, corrected gestational age in weeks.