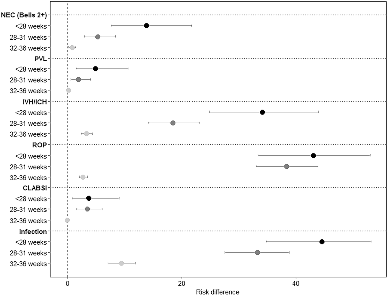
Fig. 3: Risk differences of in-hospital complications for neonates with Down syndrome in the NICU by gestational age group (N = 7037; reference group: 37+ weeks).

Shading of the point estimate represents a given gestational age group (e.g., <28 weeks) with darker shading corresponding to a younger gestational age group. Risk differences and 95% confidence intervals are presented as a percentage. NICU neonatal intensive care unit, NEC necrotizing enterocolitis, PVL periventricular leukomalacia, IVH interventricular hemorrhage, ICH intracranial hemorrhage, ROP retinopathy of prematurity, CLABSI central line-associated bloodstream infection.