Abstract
Objective
To examine differences in neonatal intensive care unit (NICU) outcomes in neonates with Down syndrome (DS) by gestational age (GA) using a large national database
Study design
Retrospective analysis of Pediatric Health Information System database, including neonates with DS admitted to the NICU <30 days old from 1/1/2008-12/31/2022. Neonates were stratified by GA (extremely preterm, very preterm, moderate/late preterm, term). GA-based risk differences were examined for NICU outcomes using term neonates as reference.
Results
Overall mortality rate was 7% with increasing mortality as GA decreased (RD 6.1 [95% CI 4.8, 7.5], RD 25.4 [95% CI 20.5, 30.6], RD 36.8 [95% CI 27.3, 46.8] for moderate/late preterm, very preterm, extremely preterm). The overall rate of pulmonary hypertension was 23% and 14% of the cohort required a gastrostomy tube.
Conclusion
Prematurity significantly increases risk of NICU mortality for neonates with DS. Rates of pulmonary hypertension and gastrostomy were high throughout all groups.
Similar content being viewed by others
Background
Down syndrome (DS) is the most viable and common of all trisomies, occurring in approximately 1 in 700 live births in the US [1]. Patients with DS have an increased risk for multiple congenital as well as physiologic abnormalities that may increase their overall morbidity and mortality compared to those without DS throughout their lifetime [2,3,4,5,6,7,8,9,10,11,12,13]. Risk factors for increased mortality in this population include, but are not limited to: low birth weight, presence of cardiac conditions such as atrioventricular septal defects, development of medical complications like pneumonia, and procedural variables that occurred during their hospitalization, including catheter placements [5,6,7,8, 10, 14,15,16,17].
Neonates with DS present a unique population with approximately 20% being born prematurely and 65–85% requiring neonatal intensive care unit (NICU) hospitalization [18,19,20,21]. Prematurity and DS likely increase the overall jeopardy of adverse outcomes due to their attendant risks. Earlier gestational age (GA) has been noted to be a risk factor for increased mortality in neonates with DS in previous publications [8, 18, 21, 22]. These previous publications may have been limited due to being single-center or regional evaluations or dichotomizing prematurity as yes or no. There is limited to no national data evaluating the effect of prematurity in this at-risk population.
The goal of this study was to examine GA-based differences for in-hospital morbidities and mortality in neonates with DS admitted to the NICU using a large national database.
Methods
Data source
Data were obtained from the Pediatric Health Information System (PHIS) of the Child Health Corporation of America (Shawnee Mission, KS). The PHIS database contains administrative, billing, and record-review data, including patient demographics (ex. sex, birth weight, GA) as recorded in the patient chart, diagnoses, medications, and procedures, from more than 45 freestanding US children’s hospitals, which account for 85% of all national freestanding children’s hospitals. To certify the comparability of charge-level data among institutions, including medications and procedures, Thompson-Reuters Healthcare (Ann Arbor, MI), the PHIS data processing partner, mapped each hospital’s daily charge codes to a common classification system, the Clinical Transaction Classification (CTC) codes. Previous studies have utilized the PHIS database for descriptive analyses of those with DS, but these publications either used NICU data not from the current era or did not specifically evaluate NICU admissions [2, 14, 23,24,25,26,27,28].
Ethics approval and consent to participate
All methods were performed in accordance with the relevant guidelines and regulations. Because PHIS contains de-identified information, Investigational Review Board (IRB) determined that this study did not fit the definition of human subjects’ research under 45 CFR part 46.102(f); therefore, IRB evaluation was waived.
Study population
Neonates admitted to a participating PHIS site from 1/1/2008–12/31/2022 were identified. Analysis was subset to neonates with DS admitted to the hospital at <30 days of age and with an overlapping NICU stay. Those with DS were identified using International Classification of Diseases, Ninth Revision, Clinical Modification or International Statistical Classification of Diseases and Related Health Problems, Tenth Revision diagnosis codes 758.0 and Q90.9, respectively. Neonates were excluded if GA was missing, less than 22 weeks, or greater than 42 weeks. If a given neonate had multiple NICU hospitalizations, data were collapsed.
Characteristic and outcome definitions
Neonates were grouped based on completed weeks of gestation at birth according to the World Health Organization [29]: <28 weeks (extremely preterm), 28–31 (very preterm), 32–36 (moderate/late preterm), and ≥37 weeks (term). A variety of characteristics were derived, including infant sex, race, ethnicity, urbanicity, 2010 zip code-level median household income, and primary payor. Race and ethnicity were collected according to hospital-specific practices. Race was collapsed to be Asian, Black, Multiracial, White, Other, and Missing/Unknown. Other includes American Indian, Other, and Pacific Islander. Ethnicity was categorized as Hispanic or non-Hispanic. Small for gestational age (SGA) was derived from documented birthweight using the Fenton growth chart [30]. Other diagnoses and outcomes were based on diagnosis codes, procedure codes, and facility charges. Diagnoses included: hydrops, atrioventricular septal defect (AVSD), atrial septal defect (ASD), ventricular septal defect (VSD), patent ductus arteriosus (PDA), pulmonary hypertension (PH), duodenal atresia/stenosis, and Hirschsprung’s disease. In-hospital medical utilization outcomes included: any central line, total parental nutrition (TPN), gastrostomy, mechanical ventilator, oscillator, noninvasive positive-pressure ventilation (NIPPV), high-flow nasal cannula (HFNC), and nitric oxide. In-hospital complications included: necrotizing enterocolitis (NEC) Bells 2 + , periventricular leukomalacia (PVL), interventricular hemorrhage or intracranial hemorrhage (IVH/ICH), retinopathy of prematurity (ROP), central-line associated bloodstream infection (CLABSI), and any infection. Disposition included death or discharge to hospice and unplanned readmission <30 days for those who survived to discharge.
Statistical analysis
GA-based risk differences (RD) were examined for each diagnosis and outcome using linear probability models. Specifically, the risk of the given diagnosis or outcome among neonates in the given GA group (e.g., <28 weeks) was compared relative to full-term (i.e., 37+ week). For the outcome of readmission within 30 days, only neonates who did not die/were not discharged to hospice were included. Complete data were used for analysis and variables with counts <5 were excluded from analysis. We plotted RD estimates and corresponding 95% confidence intervals (CI); shading of the point estimate corresponds to GA group, with younger GA groups having a darker shade.
Data were cleaned using SAS version 9.4 and analyzed using R version 4.3.1. All tests were two-sided and alpha was set at 0.05. No adjustment for multiple tests was performed given the exploratory nature of the study.
Results
A total of 8598 neonates were admitted to a participating PHIS hospital NICU < 30 days of age with the diagnosis of DS. Of those, 1503 neonates with DS were excluded due to missing GA. Another 58 neonates with DS had two NICU admissions <30 days of age and data were collapsed, resulting in 7037 neonates with DS admitted to a NICU < 30 days of age.
Demographics of our cohort are presented in Table 1. The extremely preterm group had the highest percentage of Black neonates at 19% (18/95) and Multiracial at 4% (4/95) and a lower percentage of White 51% (48/95) and Hispanic ethnicity at 21% (17/81) compared to the overall cohort. Additionally, area-level income was lower (dollars; median [interquartile range]; 37,356 [29,882,44,987] vs. 41,078 [33,204,52,509]) and government-only payment was higher (60% vs. 54%) in the extremely preterm cohort compared to overall.
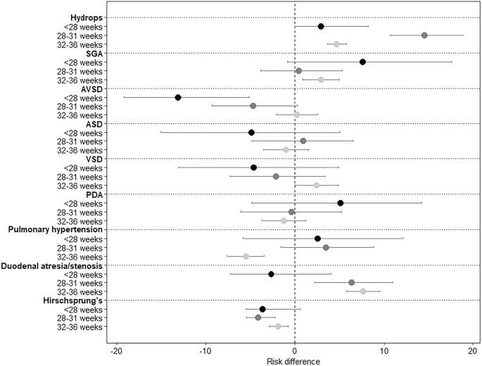
Figure 1 displays a forest plot of RD estimates for selected diagnoses for neonates with DS in the NICU by GA group in reference to term. Supporting data and RD estimates with 95% CI are provided in supplemental Tables 1, 2. Development of hydrops was higher in the very preterm (RD 14.5 [95% CI; 10.7, 18.9]) and moderate/late preterm (RD 4.7 [95% CI 3.7, 5.8]). That is, relative to term neonates, the risk of hydrops diagnosis was 14.5% higher for very preterm neonates and 4.7% higher for moderate/late preterm neonates. Moderate/late preterm neonates had a slightly higher risk of being SGA (RD 2.9, [95% CI; 0.8–5.0]). Atrioventricular septal defects were less prevalent in the extremely preterm cohort (RD –13.1, [95% CI –19.2, –5.2]). The rate of PH overall was 23% and risk was lower in the moderate/late preterm neonates (RD –5.6 [95% CI –7.6, –3.5]) but similar in the two most preterm groups compared to term. The risk for duodenal atresia/stenosis was higher in the very preterm (RD 6.3 [95% CI 2.2, 11.0]) and moderate/late preterm cohort (RD 7.6 [95% CI 5.8, 9.5]) whereas Hirschsprung’s disease was lower in these groups (RD –4.1 [95% CI –5.5, –2.2], RD –1.9 [95% CI –2.9, –0.8], for very preterm and moderate/late preterm groups, respectively).
Shading of the point estimate represents a given gestational age group (e.g., <28 weeks) with darker shading corresponding to a younger gestational age group. Risk differences and 95% confidence intervals are presented as a percentage. NICU neonatal intensive care unit, SGA small for gestational age, AVSD atrioventricular septal defect, ASD atrial septal defect, VSD ventricular septal defect, PDA patent ductus arteriosus.
Figure 2 displays a forest plot of RD estimates for in-hospital medical utilization variables for neonates with DS in the NICU by GA group in reference to term. Among all neonates in our cohort, 42% required a central line and 47% required mechanical ventilation. Central line utilization, total parental nutrition administration, ventilator, oscillator, and nitric oxide usage were higher in all the preterm cohorts compared to the term cohort. Overall, 14% underwent gastrostomy tube placement. Gastrostomy tube placement was only slightly higher in the very preterm and moderate/late preterm cohorts (RD 6.1 [95% CI 1.9, 10.8] and RD 5.6 [95% CI 3.8, 7.5], respectively) but similar in the extremely preterm group compared to term. High-flow nasal cannula use was higher in the moderate/late preterm cohort compared to the term cohort (RD 2.8 [95% CI 0.8, 4.8]).
Shading of the point estimate represents a given gestational age group (e.g., <28 weeks) with darker shading corresponding to a younger gestational age group. Risk differences and 95% confidence intervals are presented as a percentage. NICU neonatal intensive care unit, TPN total parental nutrition, NIPPV noninvasive positive-pressure ventilation, HFNC high flow nasal cannula.
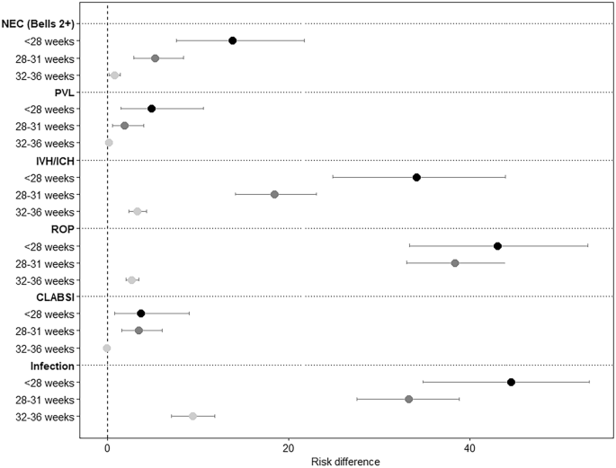
Figure 3 displays a forest plot of RD estimates for in-hospital complications for neonates with DS in the NICU by GA group in reference to term. Complications commonly associated with prematurity, including risk of necrotizing enterocolitis, intraventricular hemorrhage, retinopathy of prematurity were inversely related to GA. Overall infection rate was high at 31%. There was a higher risk for PVL and CLABSI in the extremely preterm (RD 4.9 [95% CI 1.5, 10.6] and RD 3.7 [95% CI 0.8, 9.0]) and very preterm (RD 1.9 [95% CI 0.6, 4.0] and RD 3.5 [95% CI 1.6, 6.0]).
Shading of the point estimate represents a given gestational age group (e.g., <28 weeks) with darker shading corresponding to a younger gestational age group. Risk differences and 95% confidence intervals are presented as a percentage. NICU neonatal intensive care unit, NEC necrotizing enterocolitis, PVL periventricular leukomalacia, IVH interventricular hemorrhage, ICH intracranial hemorrhage, ROP retinopathy of prematurity, CLABSI central line-associated bloodstream infection.
Figure 4 displays a forest plot of RD estimates for in-hospital mortality or unplanned readmission for neonates with DS in the NICU by GA group in reference to term. Readmission rates for those who survived to discharge increased as GA decreased (RD 2.1 [95% CI 0.2, 3.9], RD 4.8 [95% CI 0, 10.3], RD 15.4 [95% CI 4.8, 27.9] for moderate/late preterm, very preterm, and extremely preterm in reference to term, respectively). Overall, NICU mortality rate was 7% with progressively increasing mortality as GA decreased (RD 6.1 [95% CI 4.8, 7.5], RD 25.4 [95% CI 20.5, 30.6], RD 36.8 [95% CI 27.3, 46.8] for moderate/late preterm, very preterm and extremely preterm in reference to term, respectively).
Shading of the point estimate represents a given gestational age group (e.g., <28 weeks) with darker shading corresponding to a younger gestational age group. Risk differences and 95% confidence intervals are presented as a percentage. NICU, neonatal intensive care unit.
Discussion
This study examined a large, modern cohort of NICU patients with DS that received care across 47 freestanding US children’s hospitals. This study identified high rates of overall infection, feeding problems, mechanical ventilation, PH, and mortality in neonates with DS requiring intensive care. This study illustrates some demographic and socioeconomic differences in neonates with DS previously not explored. For those identified as Asian, multiracial, or “other” we did not appreciate significant differences in proportions by GA groups as opposed to White and Black. The higher percentage of Black neonates with DS born extremely premature is worth noting but may be confounded by the greater risk of preterm birth in non-Hispanic Black women compared to non-Hispanic White women [31]. Furthermore, Black neonates born very preterm have higher rates of morbidity and mortality compared to White neonates, which is important to consider in the context of this analysis [32]. GA-based differences in race in our cohort of neonates with DS is likely multifactorial, as is true in preterm neonates overall, and deserves further investigation. Extremely preterm neonates with DS were born to mothers residing in areas with lower income compared to older gestations, but again, this is not unique to neonates with DS. Higher socioeconomic status is associated with better perinatal outcomes including lower risk of preterm birth [33].
There were important differences with a decreased incidence of AVSD and Hirschsprung’s disease and an increased risk for duodenal atresia/stenosis in the more premature groups. The RD for PH was –5.6 (95% CI –7.6, –3.5) in the moderate/late preterm group, but not significantly different throughout the other GA groups, opposing the notion that this morbidity was related to prematurity alone. However, the risk of nitric oxide usage was higher with lower GA groups (RD 17.3 [95% CI 12.4, 22.5], RD 21.5 [95% CI 12.7, 31.3], very preterm and extremely preterm), potentially lending to the greater PH treatment needs seen with premature neonates with DS, recognizing they are at risk of bronchopulmonary dysplasia-associated PH in addition to the risk already known to be associated with DS [34, 35]. The etiology of PH in neonates with DS is thought to be multifactorial, including complex hemodynamics, altered lung development, and intrinsic endothelial dysfunction [36]. Despite increased prevalence, the rates of survival for DS-associated PH appear to be similar to non-DS associated PH [37]. However, those with respiratory complications may have decreased resolution [37].
Most medical utilization variables examined were expectedly more common in the most preterm groups. The association of earlier gestation with use of a central line and TPN is not surprising, as most institutions follow recommended guidelines for parental nutrition initiation in those born less than 31 weeks gestation [38]. Similarly, increasing prematurity is associated with higher risk of invasive respiratory support due to incomplete lung development, despite advances in ventilatory strategies [39, 40]. However, the similar risk of gastrostomy tube throughout GA groups may be emphasizing the feeding difficulties neonates with DS experience, irrespective of GA, as otherwise the risk would be highest in the extremely preterm neonates who have the longest delays in feeding initiation and progression [41]. One study by Poskanzer et al. highlighted the risk those with DS face of gastrostomy tube placement in the first year of life and did not find a difference in the rates between those with CHD or those without [42]. Further studies are needed to establish the best means of nutritional support in this population as optimal nutrition is vital for avoiding additional morbidities, such as aspiration pneumonia and poor growth.
The infection rate in this cohort was high at 31%. Previous studies of children with DS have shown they are highly susceptible to infections, particularly lower respiratory tract infections [43]. Moreover, children with DS and sepsis have a higher risk of mortality compared to those without DS [28]. Potential factors leading to increased risk and severity of infection in this population include: immunodeficiencies (i.e. T and B cell lymphopenia, impaired T cell proliferation, reduced antibody response, and neutrophil chemotaxis defects), metabolic and nutritional factors (i.e. Zinc deficiency), and abnormal anatomical structures that can increase susceptibility such as small ear canals and tracheomalacia [44, 45]. The higher risk of infection coupled with common lung disorders seen in those with DS, such as airway anomalies, interstitial disease, and sleep disordered breathing make neonates with DS more vulnerable to respiratory insufficiency/failure, necessitating greater breathing support [46]. It is feasible that this accounts for the high rates of unplanned readmission and need for respiratory support seen in our cohort, which was most notable in the extremely premature neonates with DS, a group also faced with premature lung disease. It is understandable that those born at earlier gestational age are at higher risk of morbidities related to prematurity and long term sequalae, leading to more complications and necessitating higher healthcare utilization after NICU discharge [47]. A study by Esperanza et al. examined hospital admissions of children with DS in Wales from 1990–2012 and found that of 356 neonates with DS, 80% had at least one hospital admission during the first year of life, with the most common reasons being congenital heart disease and respiratory infections [48]. The PHIS database differentiates between planned and unplanned readmissions, and it is plausible to assume that a high proportion of readmissions for congenital heart disease were planned (i.e., surgical repair) and thus, the unplanned readmissions seen in our cohort could be due to respiratory complications.
Overall NICU mortality rate of this cohort was 7% and mortality rates were highest in the most premature neonates with DS. It has been shown that mortality rates increase proportionally with decreasing GA or birthweight, however, for neonates with DS in the NICU a comprehensive understanding of specific causes of death are lacking, limiting our ability to implement targeted strategies for prevention and care [49]. Shimokaze et al. examined NICU mortality of infants with DS by GA over a 27-year period at a tertiary care center in Japan and found that bronchopulmonary dysplasia and PH were leading causes of death for very preterm and extremely preterm infants [50]. There is a need for more in-depth analysis of temporal trends and specific causes of death among neonates with DS in the United States.
There are multiple limitations to this study. First, this was a retrospective study using administrative data with inherent shortcomings of such a design. Data were limited by what was available via the PHIS database, which included only children’s hospitals. Since these hospitals are usually not birth hospitals, neonates were presumably transferred for specialized care, thus not all neonates with DS are represented. This cohort is not representative of all individuals with DS, as not all neonates with DS require NICU admission, or admission to a children’s hospital NICU where the severity of illness is typically higher, as is reflected in PHIS. Maternal information was not available given the nature of the data collection. In general, the severity of medical conditions could not be ascertained. The “infection” variable for PHIS included a broad range of diagnoses, which limited interpretability. Also, medical conditions are not able to be temporally related to mortality, thus cause and effect cannot be determined. Data were collected from a 14-year period over which advancements in care and modern management strategies may have affected the prevalence of some outcomes, which we were unable to control for during analysis. Since clinical information is primarily from ICD-9 and 10 codes, nonbillable data are likely to not be recorded. The dataset used for this study was unable to distinguish between the presence of a complete additional chromosome and partial translocations, limiting genotype-phenotype correlations. PHIS has a robust quality control procedure; however, we cannot verify that diagnoses were made and coded in a similar way across hospitals.
In conclusion, our study examined outcomes of a modern cohort including over 7000 neonates with DS requiring intensive care at over 45 children’s hospitals throughout the United States. Preterm birth strongly influenced rates of infection, hospital readmission, and mortality. Increasing prematurity predicts an overall higher rate of medical utilization including need for TPN, central line placement, nitric oxide, and respiratory support. Prenatal interventions for DS are needed that target the disproportionately higher rate of preterm birth that could lead to a decrease in their complications and utilization of medical care during the neonatal period.
Data availability
The datasets generated during and/or analyzed during the current study are available from the corresponding author on reasonable request.
References
Canfield MA, Honein MA, Yuskiv N, Xing J, Mai CT, Collins JS, et al. National estimates and race/ethnic-specific variation of selected birth defects in the United States, 1999-2001. Birth Defects Res Part A Clin Mol Teratol. 2006;76:747–56.
Cua CL, Haque U, Santoro S, Nicholson L, Backes CH. Differences in mortality characteristics in neonates with Down’s syndrome. J Perinatol: J Calif Perinat Assoc. 2017;37:427–31.
Freeman SB, Taft LF, Dooley KJ, Allran K, Sherman SL, Hassold TJ, et al. Population-based study of congenital heart defects in Down syndrome. Am J Med Genet. 1998;80:213–7.
Freeman SB, Torfs CP, Romitti PA, Royle MH, Druschel C, Hobbs CA, et al. Congenital gastrointestinal defects in Down syndrome: a report from the Atlanta and National Down Syndrome Projects. Clin Genet. 2009;75:180–4.
Goldman SE, Urbano RC, Hodapp RM. Determining the amount, timing and causes of mortality among infants with Down syndrome. J Intellect Disabil Res : JIDR. 2011;55:85–94.
Kucik JE, Shin M, Siffel C, Marengo L, Correa A. Trends in survival among children with Down syndrome in 10 regions of the United States. Pediatrics. 2013;131:e27–36.
Shin M, Kucik JE, Correa A. Causes of death and case fatality rates among infants with down syndrome in metropolitan Atlanta. Birth defects Res Part A, Clin Mol Teratol. 2007;79:775–80.
Sparks TN, Griffin E, Page J, Pilliod R, Shaffer BL, Caughey AB. Down syndrome: perinatal mortality risks with each additional week of expectant management. Prenat Diagn. 2016;36:368-74.
Weijerman ME, van Furth AM, van der Mooren MD, van Weissenbruch MM, Rammeloo L, Broers CJ, et al. Prevalence of congenital heart defects and persistent pulmonary hypertension of the neonate with Down syndrome. Eur J Pediatr. 2010;169:1195–9.
Weijerman ME, van Furth AM, Vonk Noordegraaf A, van Wouwe JP, Broers CJ, Gemke RJ. Prevalence, neonatal characteristics, and first-year mortality of Down syndrome: a national study. J Pediatr. 2008;152:15–9.
Dimopoulos K, Constantine A, Clift P, Condliffe R, Moledina S, Jansen K, et al. Cardiovascular Complications of Down Syndrome: Scoping Review and Expert Consensus. Circulation. 2023;147:425–41.
Cua CL, Blankenship A, North AL, Hayes J, Nelin LD. Increased incidence of idiopathic persistent pulmonary hypertension in Down syndrome neonates. Pediatr Cardiol. 2007;28:250–4.
Messick EA, Hart SA, Strominger J, Conroy S, Backes CH, Cua CL. Morbidity and mortality in neonates with down syndrome vs those without Down syndrome by gestational age. Pediatr Open Sci. 2025;1:1–12.
Backes CH, Nicholson L, Rivera BK, Swier N, Marshall W, Cua CL. Extracorporeal membrane oxygenation incidence, characteristics, and outcomes in neonatal down syndrome patients. ASAIO J. 2016;62:477–81.
Boghossian NS, Hansen NI, Bell EF, Stoll BJ, Murray JC, Laptook AR, et al. Survival and morbidity outcomes for very low birth weight infants with Down syndrome. Pediatrics. 2010;126:1132–40.
Cashen K, Thiagarajan RR, Collins JW Jr, Rycus PT, Backer CL, Reynolds M, et al. Extracorporeal membrane oxygenation in pediatric trisomy 21: 30 years of experience from the extracorporeal life support organization registry. J Pediatr. 2015;167:403–8.
Frid C, Drott P, Otterblad Olausson P, Sundelin C, Anneren G. Maternal and neonatal factors and mortality in children with Down syndrome born in 1973-1980 and 1995-1998. Acta Paediatr. 2004;93:106–12.
Rasmussen SA, Wong LY, Correa A, Gambrell D, Friedman JM. Survival in infants with Down syndrome, Metropolitan Atlanta, 1979-1998. J Pediatr. 2006;148:806–12.
Seither K, Tabbah S, Tadesse DG, Suhrie KR. Neonatal complications of Down syndrome and factors necessitating intensive care. Am J Med Genet A. 2021;185:336–43.
Martin T, Smith A, Breatnach CR, Kent E, Shanahan I, Boyle M, et al. Infants born with Down syndrome: burden of disease in the early neonatal period. J Pediatr. 2018;193:21–6.
Rankin J, Tennant PW, Bythell M, Pearce MS. Predictors of survival in children born with Down syndrome: a registry-based study. Pediatrics. 2012;129:e1373–81.
Messick EA, Backes CH, Jackson K, Conroy S, Hart SA, Cua CL. Morbidity and mortality in neonates with Down Syndrome based on gestational age. J Perinatol. 2022.
Gupta P, Rettiganti M. Association between Down syndrome and mortality in young children with critical illness: a propensity-matched analysis. Acta Paediatr. 2015;104:e506–11.
Hart SA, Nandi D, Backes CH, Cua CL. Impact of prenatal screening on congenital heart defects in neonates with Down syndrome in the US. Pediatr Res. 2021;90:1081–5.
Cua CL, Haque U, Miao Y, Backes CH. Necrotizing Enterocolitis Incidence, Characteristics, and Outcomes in Neonatal Down Syndrome Patients. Am J Perinatol. 2017;34:1368–74.
O'Connor M, Stauber CE, Venardos NM, Fraser CD, Mery CM, Well A. The Fate of the Left Atrioventricular Valve After Atrioventricular Septal Defect Repair: Long-Term Outcomes. Pediatr Cardiol. 2025.
Salazar EG, Li Y, Fisher BT, Rheingold SR, Fitzgerald J, Seif AE, et al. Supportive care utilization and treatment toxicity in children with Down syndrome and acute lymphoid leukaemia at free-standing paediatric hospitals in the United States. Br J Haematol. 2016;174:591–9.
Garrison MM, Jeffries H, Christakis DA. Risk of death for children with down syndrome and sepsis. J Pediatr. 2005;147:748–52.
Quin J, Chan KT, Devlin JR, Cameron DP, Diesch J, Cullinane C, et al. Inhibition of RNA polymerase I transcription initiation by CX-5461 activates non-canonical ATM/ATR signaling. Oncotarget. 2016;7:49800–18.
Fenton TR, Kim JH. A systematic review and meta-analysis to revise the Fenton growth chart for preterm infants. BMC Pediatr. 2013;13:59.
Manuck TA. Racial and ethnic differences in preterm birth: a complex, multifactorial problem. Semin Perinatol. 2017;41:511–8.
Howell EA, Janevic T, Hebert PL, Egorova NN, Balbierz A, Zeitlin J. Differences in morbidity and mortality rates in black, white, and hispanic very preterm infants among New York City Hospitals. JAMA Pediatr. 2018;172:269–77.
Nicholls-Dempsey L, Badeghiesh A, Baghlaf H, Dahan MH. How does high socioeconomic status affect maternal and neonatal pregnancy outcomes? A population-based study among American women. Eur J Obstet Gynecol Reprod Biol X. 2023;20:100248.
Hansmann G, Sallmon H, Roehr CC, Kourembanas S, Austin ED, Koestenberger M. Pulmonary hypertension in bronchopulmonary dysplasia. Pediatr Res. 2021;89:446–55.
Lagatta JM, Hysinger EB, Zaniletti I, Wymore EM, Vyas-Read S, Yallapragada S, et al. The impact of pulmonary hypertension in preterm infants with severe bronchopulmonary dysplasia through 1 year. J Pediatr. 2018;203:218–24.e3.
Bush DS, Ivy DD. Pulmonary hypertension in the population with Down syndrome. Cardiol Ther. 2022;11:33–47.
Hopper RK, Abman SH, Elia EG, Avitabile CM, Yung D, Mullen MP, et al. Pulmonary hypertension in children with Down syndrome: results from the pediatric pulmonary hypertension network registry. J Pediatr. 2023;252:131–40.e3.
National Institute for Health and Care Excellence: Guidelines. Neonatal parenteral nutrition. London: National Institute for Health and Care Excellence (NICE). Copyright © NICE 2020.; 2020.
Hatch LD 3rd, Clark RH, Carlo WA, Stark AR, Ely EW, Patrick SW. Changes in use of respiratory support for preterm infants in the US, 2008–2018. JAMA Pediatr. 2021;175:1017–24.
Di Filippo P, Dodi G, Ciarelli F, Di Pillo S, Chiarelli F, Attanasi M. Lifelong Lung Sequelae of Prematurity. Int J Environ Res Public Health. 2022;19.
Jadcherla SR, Wang M, Vijayapal AS, Leuthner SR. Impact of prematurity and co-morbidities on feeding milestones in neonates: a retrospective study. J Perinatol. 2010;30:201–8.
Poskanzer SA, Hobensack VL, Ciciora SL, Santoro SL. Feeding difficulty and gastrostomy tube placement in infants with Down syndrome. Eur J Pediatr. 2020;179:909–17.
Hilton JM, Fitzgerald DA, Cooper DM. Respiratory morbidity of hospitalized children with Trisomy 21. J Paediatr Child Health. 1999;35:383–6.
Ram G, Chinen J. Infections and immunodeficiency in Down syndrome. Clin Exp Immunol. 2011;164:9–16.
Ramba M, Bogunovic D. The immune system in Down Syndrome: Autoimmunity and severe infections. Immunol Rev. 2024;322:300–10.
Danopoulos S, Deutsch GH, Dumortier C, Mariani TJ, Al Alam D. Lung disease manifestations in Down syndrome. Am J Physiol Lung Cell Mol Physiol. 2021;321:L892–l9.
Hebballi NB, Avritscher EB, Garcia E, Bain A, Bartz-Kurycki MA, Tsao K, et al. Healthcare utilization among infants discharged from the neonatal intensive care unit: a descriptive cost analysis. Health Serv Insights. 2023;16:11786329231169604.
Esperanza RA, Evans A, Tucker D, Paranjothy S, Hurt L. Hospital admissions in infants with Down syndrome: a record-linked population-based cohort study in Wales. J Intellect Disabil Res. 2022;66:225–39.
Institute of Medicine Committee on Understanding Premature B, Assuring Healthy O. The National Academies Collection: Reports funded by National Institutes of Health. In: Behrman RE, Butler AS, editors. Preterm Birth: Causes, Consequences, and Prevention. Washington (DC): National Academies Press (US). Copyright © 2007, National Academy of Sciences.; (2007).
Shimokaze T, Toyoshima K, Saito T, Katsumata K, Kemmotsu T, Ishikawa H, et al. Death of children with Down syndrome by gestational age and cause. Pediatr Res. 2024;95:1325–30.
Acknowledgements
This research was supported by the Ohio Perinatal Research Network (OPRN) at Nationwide Children’s Hospital. OPRN is supported by the Center for Perinatal Research at Nationwide Children’s Hospital. Funding is provided by the Abigail Wexner Research Institute at Nationwide Children’s Hospital (IRB10-00035).
Author information
Authors and Affiliations
Contributions
EAM, SAH, CLC, and CHB conceptualized the study. EAM, SAH, CLC, CHB, SC, and JS designed the statistical analysis. SAH obtained the data for analysis. JS and SC performed the statistical analysis. EAM and CLC drafted the initial manuscript. EAM, SAH, CLC, CHB, SC, and JS reviewed and revised the manuscript. All authors approved the final manuscript as submitted and agree to be accountable for all aspects of the work.
Corresponding author
Ethics declarations
Competing interests
The authors declare no competing interests.
Additional information
Publisher’s note Springer Nature remains neutral with regard to jurisdictional claims in published maps and institutional affiliations.
Supplementary information
Rights and permissions
Open Access This article is licensed under a Creative Commons Attribution 4.0 International License, which permits use, sharing, adaptation, distribution and reproduction in any medium or format, as long as you give appropriate credit to the original author(s) and the source, provide a link to the Creative Commons licence, and indicate if changes were made. The images or other third party material in this article are included in the article’s Creative Commons licence, unless indicated otherwise in a credit line to the material. If material is not included in the article’s Creative Commons licence and your intended use is not permitted by statutory regulation or exceeds the permitted use, you will need to obtain permission directly from the copyright holder. To view a copy of this licence, visit http://creativecommons.org/licenses/by/4.0/.
About this article
Cite this article
Messick, E.A., Hart, S.A., Strominger, J. et al. Gestational age-based outcomes of neonates with Down syndrome in the neonatal intensive care unit (NICU): review of pediatric health information system (PHIS) database. J Perinatol 45, 1751–1757 (2025). https://doi.org/10.1038/s41372-025-02384-0
Received:
Revised:
Accepted:
Published:
Version of record:
Issue date:
DOI: https://doi.org/10.1038/s41372-025-02384-0
This article is cited by
-
Down syndrome birth rate post Dobbs decision: has it changed?
Journal of Perinatology (2026)






