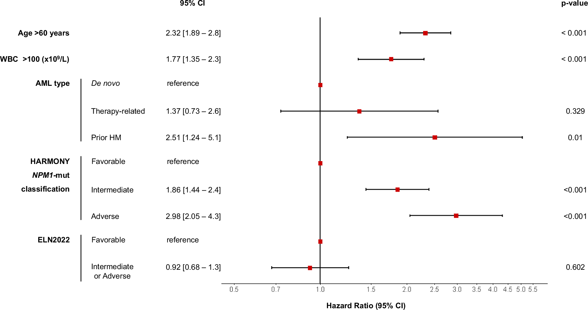
Fig. 3: Multivariable Cox regression model of factors associated with OS.

Patients that underwent allo-HSCT in CR1 were censored at the transplant date. HR hazard ratio, CI confidence interval, WBC white blood count, AML acute myeloid leukemia, HR hematological malignancy, mut mutated.