Abstract
Optical rotators based on the Faraday effect have been widely used in optical systems, such as optical isolation and circulators. However, due to the limitation of crystals, the application of such optical rotators in high-power lasers has been severely hindered. Here, we propose a novel plasma rotator based on the frequency-variable Faraday rotation (FVFR) in a compact manner, achieved by driving the magnetized underdense plasma with a relativistic linearly polarized laser. In the magnetized plasma, the drive laser undergoes photon deceleration and relativistic Faraday rotation, leading to the generation of relativistic polarization-tunable mid-infrared (mid-IR) pulse with intensity \(\ge {10}^{16}\) W cm−2 and a spectral width of 5–25 μm. With different magnetic fields, the polarization angle of the generated mid-IR pulse can be well controlled. Especially, one can obtain a circularly polarized mid-IR pulse with the spatial average polarization degree of \(\ge 0.94\) at a suitable external magnetic field. The robustness of the rotator has been well demonstrated through comprehensive three-dimensional particle-in-cell simulations across a wide range of laser and plasma parameters. Such a rotator via FVFR is valid from mid to far-infrared and even THz waveband, offering new opportunities for strong-field physics, attosecond science, laboratory astrophysics, etc, and paving the way for relativistic plasma magneto-optics and future relativistic plasma optical devices.
Similar content being viewed by others
Introduction
Faraday rotation (FR) or Faraday effect is a key phenomenon in magneto-optics1. It is prevalent in magnetized media and is the basis of optical isolation and rotator2,3,4,5, magnetic field sensor6,7,8, and current sensor9, etc. However, due to the limitation of the crystal itself, e.g., the heat effect and damage threshold, the magneto-active media is difficult to be miniaturized and integrated, as well as serve as a rotator for high-power lasers10. Plasma, as a kind of new medium without the damage threshold, allows for the fast propagation and modulation of high-power lasers. As a collection of charged particles, magnetized plasmas often give rise to a strong FR11,12,13, offering an important way to modulate the laser polarization. In recent years, the fast modulation and manipulation of polarization of high-power lasers in the near-infrared band in plasmas have made dramatic progress11,14,15,16,17,18. However, these methods mainly operate in non-relativistic cases without nonlinear optical effects, albeit with a very high polarization conversion efficiency. For example, the polarization state of a probe laser with intensity of 1014 W cm−2 can be controlled by the beat wave14. In a plasma photonic crystal created in underdense plasma by counterpropagating laser beams, the laser pulse with intensity of 1016 W cm−2 can be changed from linear to circular polarization, and the total energy transmission is close to 95% of the incident energy16. In an extreme FR case, a circularly polarized (CP) laser pulse with power as high as 5 PW can be generated by splitting a linearly polarized (LP) laser pulse with intensity of 1016 W cm−2 in magnetized plasmas11.
The physical picture alters significantly in relativistic regime, i.e., \(I{\left({\lambda }_{0}/{\rm{\mu }}{\rm{m}}\right)}^{2}\ge 1.37\times {10}^{18}\) W cm−2 (\(I\) is the laser intensity and \({\lambda }_{0}\) is the laser wavelength), where the optical nonlinear effects caused by the strong laser in plasmas become significant, making the manipulation of polarization for high-power lasers challenging. For example, the nonlinear plasma wake (NPW) can be excited in plasmas of the density of 1018 cm−3, and various nonlinear effects occur, e.g., laser self-phase modulation, self-steepening, and relativistic self-focusing19. These nonlinear effects change the evolution characteristics of drive laser significantly20,21,22,23,24,25, leading to some novel phenomena, e.g., photon deceleration/acceleration and asymmetric pulse compression26,27,28,29,30,31,32,33. Especially, the laser photons located at the negative refractive index gradient, i.e., \(\partial \eta /\partial \xi < 0\), undergo frequency down-shifting to the mid-infrared (mid-IR) pulse via the photon deceleration26,27,28,29,30,31. Here, \(\xi =x-{ct}\) is the laser-rest frame, \(c\) is the speed of light in vacuum, and \(x\) is the Cartesian coordinate. The achieved relativistic mid-IR pulse plays a crucial role in ultrafast science, strong-field physics, and laboratory astrophysics, such as investigation of electron dynamics34,35, terahertz (THz) emission36, high-order harmonic generation37, particle acceleration38,39, etc. In the magnetized plasma, the photon deceleration becomes even more significant since the refractive index is changed by the electron cyclotron gyration. Considering the fact that the FR angle is proportional to the square of the instaneous laser wavelength, i.e., \(\Delta \Psi \propto {\lambda }^{2}\), the FR together with the photon deceleration will be affected significantly in the magnetized plasmas. This poses greater challenges for the generation and manipulation of high-power mid-IR pulses, which is a critical question in relativistic plasma magneto-optics yet to be understood and discussed before.
Here, we propose a novel compact rotator for relativistic mid-IR pulses via the interplay of Faraday effect, the relativistic effect, and the photon deceleration in magnetized plasmas, i.e., frequency-variable Faraday rotation (FVFR). The rotator has been achieved by driving the longitudinally magnetized underdense plasma with a relativistic LP laser pulse of several tens TW. A theoretical model has been developed to explore the electron dynamics and underlying physics. The photon deceleration coupling with the relativistic Faraday effect is capable of not only generating long-wavelength laser pulse but also polarizing the generated beams in a compact and efficient manner. It is shown that the predicted FR angle and the laser wavelength agree well with the three-dimensional (3D) particle-in-cell (PIC) simulations. For the first time, we realized the generation and precise polarization manipulation of the relativistic mid-IR pulses in magnetized plasmas. Such a rotator via FVFR is valid from mid to far-infrared and even THz waveband, which is distinct from the conventional methods40,41, opening a new avenue in relativistic plasma magneto-optics and making a major step towards the development of future relativistic plasma optical devices. Especially, the FVFR may contribute to the explanation of frequency-dependent polarization evolution in the mid and far-infrared wave42,43 and the fast radio bursts (FRBs)44,45 in the universe.
Results
Concept and physical scheme
Figure 1 shows the schematic diagram of the magnetized plasma rotator, which consists of three modules, the guider, converter, and output. In the guider corresponding to the density up-ramp, the drive laser propagates in the magnetized plasmas, exciting the NPW with a curving refractive index. Especially, the gradually increasing density can guide the drive laser propagation while suppressing the boundary electron injection. In the converter corresponding to the density plateau, the drive laser is split into a left-handed (LH) and a right-handed (RH) CP subpulse, serving as a core component of the magnetized plasma rotator. The drive laser is transformed into relativistic mid-IR pulses with precisely controlled polarization states via the FVFR. The output corresponding to the density down-ramp, transports the mid-IR pulse out of the plasma efficiently while preserving its beam quality. In the following, we first develop an analytical model to explore the interplay between the Faraday effect, the relativistic effect, and the photon deceleration in the magnetized plasma.
The rotator consists of three modules: guider, converter, and output. The yellow arrows with different lengths indicate the direction and intensity of the external magnetic field. The insets show the process of laser-gas interaction and the evolution of laser pulse in magnetized plasmas
Assuming a constant external magnetic field \({\boldsymbol{B}}=\sigma {B}_{0}{\boldsymbol{x}}\) along the laser axis, where \(\sigma =\pm\! 1\) corresponds to along (against) the laser propagation direction and \({B}_{0}\) is the intensity of the magnetic field. The refractive index and phase velocity of the resulting LHCP and RHCP subpulses can be obtained by the wave equation of relativistic CP pulse in the magnetized plasma as demonstrated in Eqs. (S1)–(S5) (see Supplementary Information). The FR angle can be calculated by \(\Delta \Psi ={\int }_{{s}_{1}}^{{s}_{2}}{\Delta }_{{\rm{p}}}{kds}/2\) (ref. 46), where \(s={s}_{2}-{s}_{1}\) is the interaction length, \(k\) is the laser wave number, and \({\Delta }_{{\rm{p}}}=\left|{v}_{{\rm{pL}}}-{v}_{{\rm{pR}}}\right|/c\) is the difference of phase velocity of LHCP (\({v}_{{\rm{pL}}}\)) and RHCP (\({v}_{{\rm{pR}}}\)) subpulses, which can be written as (see more details in Supplementary Section 1)
where \({\omega }_{{\rm{p}}}=\sqrt{4\pi {n}_{0}{e}^{2}/{m}_{{\rm{e}}}}\) is the plasma frequency, \(\Omega ={\omega }_{{\rm{c}}}/\omega \gamma\), \(\omega =2\pi c/\lambda\) is the instaneous laser angular frequency, and \({\omega }_{{\rm{c}}}=e{B}_{0}/{m}_{{\rm{e}}}c\) is the electron cyclotron frequency. \(e\), \({m}_{{\rm{e}}}\), \(n\), \({n}_{0}\), \(\gamma =\sqrt{1-{v}^{2}/{c}^{2}}\), and \(v\) are the electron charge, the rest mass, the perturbation electron density, the initial electron density, the electron Lorentz factor, and the local electron velocity, respectively. In the Faraday rotation, the linearly polarized laser pulse can be viewed as a combination of two circularly polarized subpulses with opposite chirality. During the relativistic laser splitting in magnetized plasma, the electrons experience superimposed electric field force and the Lorentz force from both resultant LHCP subpulse and RHCP subpulse. Thus, the electron density \(n\) and the electron Lorentz factor \(\gamma\) in Eq. (1) refer to the local electron density and Lorentz factor driven by the compound laser pulse. Note that the Faraday rotation angle is integrated over considerable lengths that are much longer than the laser wavelength, so that the contribution of fast oscillation terms of relativistic factor \(\gamma\) and density \(n\) driven by LP laser can be averaged. Thus, the FR angle in the relativistic regime can be written as
When the magnetic field is small, \({\omega }_{{\rm{c}}}^{2}\ll {\omega }^{2}\), \(\Omega \sim 0\), and Eq. (2) can thus be simplified as \(\Delta \Psi =(\sigma {e}^{3}/2\pi {m}_{{\rm{e}}}^{2}{c}^{4})({\int }_{{s}_{1}}^{{s}_{2}}{\lambda }^{2}n{B}_{0}/{\gamma }^{2}{ds})\). Within the laser electron interaction region, \(\Delta \Psi\) is approximately proportional to \({\lambda }^{2}/{\gamma }_{\max }^{2}\). Obviously, in the non-relativistic regime, i.e., \(\gamma =1\), Eq. (2) degenerates to the classical FR, i.e., \(\Delta \Psi =(\sigma {e}^{3}/2\pi {m}_{{\rm{e}}}^{2}{c}^{4})({\int }_{{s}_{1}}^{{s}_{2}}{\lambda }^{2}n{B}_{0}{ds})\). In the relativistic regime, the Lorentz factor plays an important role, making the FR of a short wavelength (\(\lambda /{\rm{\mu }}{\rm{m}} < {\gamma }_{\max }\)) pulse more difficult. Fortunately, the challenge can be overcome by generating a long-wavelength (\(\lambda /{\rm{\mu }}{\rm{m}} > {\gamma }_{\max }\)) pulse in the magnetized NPW, e.g., mid-IR pulses or THz waves, to mitigate the relativistic effect.
The converter as shown in Fig. 1 serves as such a role, where the laser frequency can be down-shifted from near-infrared to mid and even far-infrared waveband via the photon deceleration26,27,28,29,30,31. Here, the laser wavelength changes in the NPW during a short time \(\Delta \tau\) can be estimated by \(\lambda -{\lambda }_{0}={\lambda }_{0}\Delta \tau \partial {v}_{{\rm{p}}}/\partial \xi\) (ref. 21) with \(\Delta \tau \partial {v}_{{\rm{p}}}/\partial \xi\) the difference of the phase velocity between the two adjacent crests. Thus, the instaneous laser wavelength can be expressed as
Since the plasma in the converter is uniform, we can assume that the drive laser pulse is quasi-static and its envelope varies slowly within the converter due to the fact that the laser envelope characteristic time is much larger than the laser duration47 (see Materials and methods). In quasi-static approximation (QSA)19,47,48, the refractive index gradient also changes slowly, so that the term \(1-{\int }_{{s}_{1}}^{{s}_{2}}{(\eta }^{-2}\partial \eta /\partial \xi ){ds}\) can be approximatively rewritten as \(1-{\eta }^{-2}(\partial \eta /\partial \xi )s\). Due to \({\omega }_{{\rm{c}}}^{2}\ll {\omega }^{2}\), the term \({\Omega }^{2}\) in Eq. (2) can be also ignored. Combining Eq. (2) and Eq. (3), the FR angle can be written as
As compared to the classical case of FR, the FR in the relativistic regime above becomes complicated and different, which is designated as FVFR. In our scheme, the applied external magnetic field is not more than 1000 T, i.e., \({\omega }_{{\rm{c}}}^{2}\le 0.009{\omega }_{0}^{2}\), so the magnetic field has limited effect on the NPW. Therefore, the relativistic fluid equation degenerates to the case without the magnetic field (see Materials and methods), and the equations of electron density and the Lorentz factor are \(n={n}_{0}\{1+[(1+{a}_{{\rm{L}}}^{2}/{\left(1+\phi \right)}^{2})]/2\}\) and \(\gamma =[1+{a}_{{\rm{L}}}^{2}+{\left(1+\phi \right)}^{2}]/[[2(1+\phi )]\) (ref. 47), respectively. Here, \({a}_{{\rm{L}}}\) and \(\phi\) are the laser dimensionless vector potential and scalar potential, respectively. \(\phi\) can be solved analytically via the QSA19,47,48. Finally, Eq. (4) together with Eq. (3) can thus predict the FR angle and the laser wavelength evolution in the relativistic magnetized plasma.
3D PIC simulations
To demonstrate the plasma rotator via the FVFR in the NPW, a series of 3D PIC simulations have been performed by using the OSIRIS code49. The longitudinally magnetized plasma has a 400 μm linear up-ramp (guider), a 900 μm plateau (converter), and a 400 μm linear down-ramp (output) with the maximum density of \({n}_{0}=4.5\times {10}^{18}\) cm−3. The drive laser pulse is characterized by the dimensionless parameter of \({a}_{{\rm{L}}}=3\), a wavelength of 1 μm, a full width of 33 fs, a focal size of 15 μm, and a peak power of about 43 TW, polarized along the \(y\) direction.
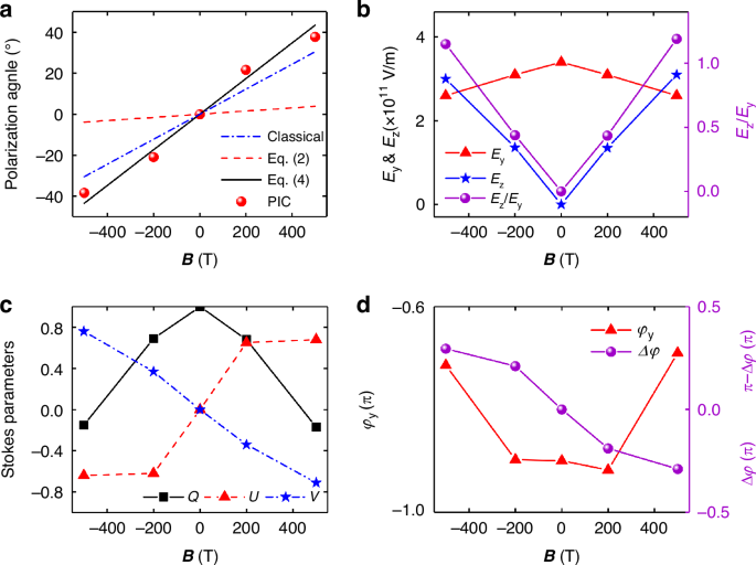
Figure 2 presents the beam characteristics of generated mid-IR pulse at different magnetic field \(B\) at \(x=1300\) μm. It is shown that the numerical center wavelength of 6.2 μm is comparable to the analytically expected wavelength of ~5.5 μm by Eq. (3). In Fig. 2a, the analytical results of Eq. (2), Eq. (4), and the classical FR equation are compared with the 3D PIC simulations. Here, Eq. (2) is the Faraday rotation angle in the relativistic regime but does not yet consider the wavelength change, so the relativistic Faraday rotation angle becomes about \({\gamma }^{2}\) times smaller than the classical Faraday rotation. Equation (4) is the Faraday rotation in the relativistic regime considering the interplay of Faraday effect, the relativistic effect, and the photon deceleration. It is indicated that the analytical model predicts well the PIC simulations, validating the magnetized plasma rotator in the relativistic regime. Figure 2b shows the electric field components \({E}_{y}\) and \({E}_{z}\) of mid-IR pulses as well as the intensity ratio (\({E}_{z}/{E}_{y}\)) under different external magnetic fields. It can be seen that, as the magnetic field strength increase, \({E}_{z}\) increases while \({E}_{y}\) decreases. At \(B=500\) T, the intensity ratio \({E}_{z}/{E}_{y}\) exceeds 1.0, indicating a polarization rotation angle greater than 45°. In order to precisely describe the mid-IR polarization, Fig. 2c presents the Stokes parameters \(Q\), \(U\), and \(V\) (see Materials and methods) at the peak position of the mid-IR pulse envelope under different magnetic fields, providing a clear visualization of the polarization state of the mid-IR pulse. The results show distinct nonreciprocal behavior in the FVFR, with opposite polarization and chirality observed at \(B > 0\) and \(B < 0\). Specifically, the mid-IR pulse shows LHCP state when \(B > 0\), with its polarization plane rotating towards +45°, i.e., \(Q\) goes from 1 to about 0, with \(U > 0\) and \(V < 0\). Conversely, the polarization plane rotates towards -45° with a RHCP state when \(B < 0\), i.e., \(U < 0\) and \(V > 0\). In addition, the carrier envelope phase (CEP) of the mid-IR pulse is also an important parameter, especially for few-cycle pulses. Figure 2d presents the phase change of \({E}_{y}\) (\({\phi }_{y}\)) and the phase difference of \({E}_{y}\) and \({E}_{z}\) (\(\Delta \phi\)) as a function of the magnetic field \(B\). Previous studies have demonstrated that in the photon deceleration without an external magnetic field, the CEP of the generated mid-IR pulse remains phase-locked to that of the drive laser26,28. However, under an external longitudinal magnetic field, \({\varphi }_{y}\) shows significant \(B\)-field intensity dependence due to Faraday rotation, which approaches \(-0.7\)π at \(B > 400\) T. This is because the group velocity despersion (GVD) makes the LHCP subpulse of drive laser, which is mainly responsible for generating the mid-IR pulses, slightly divorce from plasmas, resulting in a smaller phase shift. Similarly, the phase difference \(\Delta \varphi\) also depends on the magnetic field, and the mid-IR pulse becomes circularly polarized when \(\Delta \varphi =0.5\)π or \({\rm{\pi }}-\Delta \varphi =0.5\)π.
a The polarization angle from analytical model and PIC simulations varying with the external magnetic fields. Here, the red points are calculated by \(\Delta \Psi =\arctan (U/Q)/2\) with \(Q\) and \(U\) being the Stokes parameters at the peak position of mid-IR envelope. b \({E}_{y}\) and \({E}_{z}\) of mid-IR pulses as well as the intensity ratio (\({E}_{z}/{E}_{y}\)) as a function of the magnetic field \(B\). c The Stokes parameters at the peak position of mid-IR envelope at different magnetic fields. d The phase change of \({E}_{y}\) (\({\varphi }_{y}\)) and the phase difference of \({E}_{y}\) and \({E}_{z}\) (\(\Delta \varphi\)) as a function of the magnetic field \(B\)
Here, we present an extreme case to exemplify the generation of the CP mid-IR pulse at \(B=1000\) T. Under these conditions, the electron cyclotron frequency remains substantially smaller than the drive laser frequency (\({\omega }_{{\rm{c}}}^{2}=0.009{\omega }_{0}^{2}\)), ensuring limited effect of the external magnetic field on the NPW. Such a strong magnetic field can be already generated by laser-matter interaction50,51,52,53,54,55,56,57, e.g., laser solid-target interaction52, a laser-driven capacitor-coil target or a snail target51,56,57, etc. The magnetic fields of more than 1000 T generated via these techniques can exist in excess of 1 ns (ref. 51), significantly exceeding the characteristic interaction durations in our scheme. Figure 3 shows the evolution of the transverse electric field and the electron density at \(x=400\) μm, 1300 μm and 1700 μm with \(B=1000\) T when the simulation box front reaches (details in Supplementary Figs. S1 and S2 in the Supplementary Information). It can be clearly seen that a stable plasma wake (bubble)58,59 can be excited in the magnetized plasma, and the drive laser pulse is located always at the front of the bubble. At \(x=400\) μm (i.e., guilder), the \({E}_{z}\) component of the drive laser has appeared due to the relativistic Faraday rotation, as shown in Fig. 3d. In the converter, the long-wavelength mid-IR pulse is effectively generated via the photon deceleration, which later slips backwards into the plasma bubble relative to the drive laser pulse due to the GVD. Confined by the bubble sheath, the spot size of the mid-IR pulse matches the bubble diameter, as shown in Fig. 3b, e. In the output, the mid-IR pulse leaves the plasma while preserving its beam quality as shown in Fig. 3c, f.
The snapshots of transverse electric field \({E}_{y}\) (a–c), \({E}_{z}\) (d–f) and the background electron density at \(x=400\) μm, 1300 μm, and 1700 μm, respectively
Figure 4 exhibits the beam quality of the generated mid-IR pulse in an extreme case with \(B=1000\) T. It is shown that a relativistic mid-IR pulse filtered by the bandpass filter can be generated with a full width at half maximum (FWHM) duration of about 46.3 fs, a spot size of 20.8 μm, and a peak electric field \({E}_{{\rm{MIR}}}\approx 6.1\times {10}^{11}\) V m−1. The dimensionless laser electric field is \({a}_{{\rm{MIR}}}\approx 1.3\), and the spatial average polarization degree defined by \({P}_{{\rm{s}}}=\sqrt{{\left\langle Q\right\rangle }_{{\rm{s}}}^{2}+{\left\langle U\right\rangle }_{{\rm{s}}}^{2}+{\left\langle V\right\rangle }_{{\rm{s}}}^{2}}/{\left\langle I\right\rangle }_{{\rm{s}}}\) (ref. 60) can reach 0.94 (more polarization information of the output pulse are shown in Supplementary Fig. S3 of the Supplementary Information). In addition, after the pulse leaves the plasma, the divergence angle of mid-IR pulse can be estimated as \(\theta =\arctan ({r}_{{\rm{s}}}/L)\approx\) 6.4°, where \({r}_{{\rm{s}}}\) is the radius of the spot size at \(x=1900\) μm, and \(L=200\) μm is the propagation length. Figure 4b presents the spectral distribution of the on-axis electric field at \(x=0\) μm and \(x=1700\) μm, respectively. One sees that the mid-IR pulse has a spectral width of 5–25 μm and an energy conversion efficiency of 1.8%, centered at \({\lambda }_{{\rm{c}}}=6.7\) μm. As expected in Fig. 4b, \({E}_{y}\) and \({E}_{z}\) of the mid-IR pulse have the same amplitude, justifying the LHCP pulse generation. The refractive index of resulting LHCP and RHCP subpulses, and the Stokes parameter \(V\) of the drive laser are also shown in Fig. 4c. Similar to the classical Faraday effect11,12,13, the different refractive index causes different phase velocity and group velocity, leading to the splitting of the LHCP pulse and the RHCP pulse in the magnetized plasma, according to Supplementary Eqs. (S3) and (S4). However, the excitation of plasma bubble with negligible electrons leads to incomplete relativistic laser splitting. Therefore, under an extreme magnetic field of 1000 T, as shown in Fig. 4c, the slower LHCP subpulse slips backward into a region with a smaller negative refractive index gradient, i.e., \(\partial {\eta }_{{\rm{L}}}/\partial \xi < \partial {\eta }_{{\rm{R}}}/\partial \xi\), where it becomes the dominant source of the LHCP mid-IR pulse. Though this case corresponds to the magnetic field of B = 1000 T, the magnetized plasma rotator is also valid at a much lower magnetic field, e.g., B = 500 T (see Supplementary Fig. S4), which can be already generated by laser-driven coil-targets at GEKKO-XII and LULI2000 laser facilities51,53. In this case, the achieved mid-IR pulse is also CP with intensity of \({E}_{y}\approx {E}_{z}\approx 1.8\times {10}^{11}\) V m−1.
a The temporal profile of the on-axis mid-IR electric field at \(x=1700\) μm. b Spectral distribution of on-axis electric field at \(x=0\) μm (black) and \(x=1700\) μm (red and blue). c The distributions of refractive index of LCHP (black), RHCP subpulses (red), and the Stokes parameter \(V\) of drive laser (blue) at \(x=1000\) μm
In the converter, the generated mid-IR pulse gradually slips backward into the bubble and moves forward together with the drive laser because of the GVD. After \(x=1300\) μm, the drive laser enters into the output. In this stage, the bubble enlarges gradually in the down-ramp, making the center of the bubble retreat relative to the mid-IR pulse at a small velocity. Figure 5 exhibits the Lissajous figures and the Stokes parameters of the mid-IR pulse with different \(B\) at the end of the output. One clearly sees that, regardless of the intensity of the magnetic field, the generated mid-IR pulse is left-handed when the external magnetic field is along the laser propagation direction. The polarization of mid-IR pulse is consistent with the drive laser when there is no external magnetic field, i.e., \(Q=1\), \(U\approx 0\), and \(V\approx 0\), as shown in Fig. 5d. With the increase of the magnetic field, the generated mid-IR pulse becomes elliptically polarized, e.g., \(Q\approx -0.60\), \(U\approx 0.31\), and \(V\approx -0.74\) at \(B=500\) T as shown in Fig. 5e. In an extreme case, the LHCP mid-IR pulse (\(V\approx -0.96\)) can be obtained at \(B=1000\) T in Fig. 5f. As expected, a RHCP mid-IR pulse can also be generated when the magnetic field revers the direction. By use of a long-wavelength drive laser, e.g., CO2 laser with \({\lambda }_{0}=10\) μm, the proposed magnetized plasma rotator, at an appropriate parameter of the external magnetic field, can also be used to modulate the polarization of far-infrared pulse, e.g., THz wave31. Compared with the polarization-tunable THz wave emitting in magnetized gas40,41, the proposed compact magnetized plasma rotator based on FVFR can manipulate the polarization of relativistic THz waves in a different manner of optical spectrum evolution. Such a relativistic mid and far-IR pulse with tunable polarization have demonstrated a crucial role in strong fields and attosecond science, e.g., the above-threshold ionization35,61,62,63 and charge particle acceleration38,64,65,66, etc.
The Lissajous figures and the Stokes parameters of the generated mid-IR pulse at the end of output with different magnetic fields of \(B=0\) T (a, d), 500 T (b, e), and 1000 T (c, f), respectively
Discussion
We now discuss the robustness of the magnetized plasma rotator in terms of the plasma parameters and laser intensity. As shown in Fig. 6a–d, the Stokes parameters \(Q\) and \(U\) change with the electron density \({n}_{0}\), the length of converter \({L}_{{\rm{c}}}\) and output \({L}_{{\rm{o}}}\), and the initial laser dimensionless parameter \({a}_{{\rm{L}}}\), but \(V\) is always ~−1 with \({E}_{z}/{E}_{y}\) larger than 0.84 (except the case of \({a}_{{\rm{L}}}=5\) with \({E}_{z}/{E}_{y}=1.4\)), indicating the stable generation of the LHCP mid-IR pulse. On the other hand, one can see in Fig. 6e that the intensity \({E}_{{\rm{MIR}}}\) and the center wavelength of the mid-IR pulse, together with the laser energy conversion efficiency and the duration of mid-IR pulse, can be improved by increasing the plasma density. This is because a larger \({n}_{0}\) provides a smaller refractive index gradient to expedite the frequency down-shifting. However, at \({n}_{0}=5.5\times {10}^{18}\) cm−3, the photon acceleration occurred at the tail of the plasma bubble, leading to a shortened wavelength. Figure 6f also shows that the field strength \({E}_{{\rm{MIR}}}\), the duration, and the energy conversion efficiency are improved by using a longer \({L}_{{\rm{c}}}\), since a longer \({L}_{{\rm{c}}}\) enables more photons to convert to the mid-IR pulse. Similarly, the photon acceleration shortens the mid-IR pulse wavelength when \({L}_{{\rm{c}}}\) exceeds the optimal conversion length. The longer \({L}_{{\rm{o}}}\) makes the central wavelength short and the efficiency higher because the mid-IR pulse undergoes the photon acceleration when it is located at the tail of the bubble, as shown in Fig. 6g. However, the field strength \({E}_{{\rm{MIR}}}\) decreases slightly because the longer \({L}_{{\rm{o}}}\) leads to a larger bubble, making the duration of the mid-IR pulse longer. This indicates that the proposed magnetic plasma rotator is highly robust and valid for a wide plasma parameter range of \({n}_{0}\), \({L}_{{\rm{c}}}\), and \({L}_{{\rm{o}}}\). In addition, Fig. 6h shows that as the initial laser intensity increases, the center wavelength of the mid-IR pulse lengthens while the intensity \({E}_{{\rm{MIR}}}\), the laser energy conversion efficiency and the duration of mid-IR pulse initially increase before the saturation. It should be noted that, at \({a}_{{\rm{L}}}=1\), the mid-IR pulse generation within the plasma bubble is suppressed (not shown here). However, when \({a}_{{\rm{L}}}=5\), the generated mid-IR pulse wavelength reaches ~13.5 μm. This induces a significant polarization rotation, yielding an elliptically polarized mid-IR pulse.
a–d The Stokes parameters, the eccentricity \({E}_{z}/{E}_{y}\), and e–h the beam parameters and the efficiency of the generated mid-IR pulse with different plasma density \({n}_{0}\), converter length \({L}_{{\rm{c}}}\), output length \({L}_{{\rm{o}}}\), and the initial laser intensity \({a}_{{\rm{L}}}\). In all cases, \(B=1000\) T
To further illustrate the correctness of the simulation results and the operability of the proposed rotator, we discuss additional potential issues, e.g., the spatially non-uniform external magnetic field obtained by the laser driven coil-target, the directed motion of the gas jet, and the plasma temperature. In practice, the external magnetic field, taking the laser driven coil-target for example, conforms to the Biot-Savart Law. In this case, the CP mid-IR pulse can still be generated (see Supplementary Fig. S5 in the Supplementary Information). In our scenario, the plasma is produced by a gas jet, which can operate at subsonic or supersonic speeds, as schematically shown in Fig. 1. Since the movement distance of the plasma ejection during the interaction time is much less than 1 μm, the directed motion of the plasma ejection does not affect the FVFR and the generation of the mid-IR pulse (see Supplementary Fig. S6). Similarly, our additional simulations show that the plasma temperature effects can be ignored, as demonstrated in Supplementary Fig. S7, where we consider two cases of different initial plasma temperature, \(T=10\) eV and 50 eV, respectively. Finally, the output mid-IR pulse can be filtered by a well-designed IR beam splitter coated with indium tin oxide in experiments27, and the filtered mid-IR pulses can be used in exploring electron dynamics, e.g., the strong-field ionization35.
In summary, we have proposed a novel compact magnetized plasma rotator based on the interplay of Faraday effect, the relativistic effect, and the photon deceleration, i.e., the FVFR, in magnetized NPW. With the rotator, the laser frequency can be down-shifted to the mid-IR band via photon deceleration, and the polarization of the generated mid-IR pulse can be controlled efficiently by the external magnetic fields. Full 3D PIC simulations indicate that the pulse wavelength and rotation angle agree well with the developed analytical model, providing a basis for designing rotators in experiments. It is the first time to directly modulate and manipulate the polarization of relativistic mid-IR pulses in magnetized plasmas. Such a novel plasma rotator via the FVFR is valid from mid to far-infrared and even THz waveband, offering new opportunities for strong-field physics, attosecond science, and laboratory astrophysics. Especially, this shall open a new avenue in relativistic plasma magneto-optics, e.g., the generation of tens of terawatt polarization-tunable mid-IR pulses on PW laser facilities, making a major step towards the development of future relativistic plasma optical devices. Meanwhile, the observed FVFR may be also highly relevant to some astrophysical phenomena, such as the frequency-dependent polarization evolution in the mid-IR wave and the fast radio bursts (FRBs) in the universe.
Materials and methods
The 1D theory of the nonlinear plasma wave generation with external magnetic field
When a relativistic LP laser pulse interacts with a longitudinally strongly magnetized underdense plasma, a nonlinear wake can be excited19. This can be described by the one-dimensional (1D) relativistic fluid equations of cold plasmas with stationary ions. Assuming the polarization of the initial laser pulse alone the \(y\)-direction, and the laser propagation along the \(x\)-direction, and ignoring the plasma diamagnetism caused by electron rotation, the relativistic fluid equations in the laser-rest frame (\(\xi\), \(\tau\)) can be given by
where \({k}_{{\rm{p}}}\) is the wave number of plasmas, \({\beta }_{x}\) is the longitudinal normalized electron velocity.
Since the plasma in the converter is uniform, we can assume that the drive laser pulse is quasi-static and its envelope varies slowly within the converter due to the fact that the laser envelope characteristic time \({\tau }_{{\rm{e}}} \sim 2{\gamma }_{\max }|{n}_{0}/{n}_{\max }|({\omega }_{0}/{\omega }_{{\rm{p}}})/{\omega }_{{\rm{p}}}\approx 0.4\) ps is much larger than the laser duration \({\tau }_{{\rm{d}}}\)47, where the density perturbation \({n}_{\max }\) and the relativistic factor \({\gamma }_{\max }\) are obtained at the peak position of the drive laser envelope in PIC simulations. In QSA19,47,48, Eqs. (6) and (7) can be integrated to \(n\left(1-{\beta }_{x}\right)={n}_{0}\) and \(\gamma \left(1-{\beta }_{x}\right)-\phi =1\), respectively. Therefore, Eq. (5) can be rewritten as
Considering \(\gamma (1-{\beta }_{x})-\phi =1\) and \(\gamma ={(1+{\gamma }^{2}{\beta }_{x}^{2}+{\gamma }^{2}{\beta }_{y}^{2}+\gamma {\beta }_{z}^{2})}^{1/2}\), \(\gamma\) in the QSA can be solved from
where \({\beta }_{y}\) and \({\beta }_{z}\) are the transverse normalized electron velocity, which can be solved from the electron momentum equation with an external magnetic field. \(\gamma\) and the election density \(n=\gamma {n}_{0}/(1+\phi )\) can be put into Eq. (4) to obtain the FVFR angle.
Particle-in-cell simulations
The initial LP laser electric field with a polarization of \(y\) direction can be expressed as follows
Here, \({a}_{{\rm{L}}}=3\), \({\lambda }_{0}=1\) μm, \({w}_{0}=15\) μm, and \({\tau }_{{\rm{d}}}=33\) fs. These correspond to the laser peak intensity of \({I}_{0}\approx 1.2\times {10}^{19}\) W cm−2, peak power of 43 TW, and pulse energy of about 710 mJ. The initial laser pulse is assumed to arrive at the vacuum-plasma interface at \(x=0\) μm.
The 3D PIC simulations were carried out using the code OSIRIS43 in Cartesian coordinates. A moving window that is employed along the \(x\) direction at the speed of light in vacuum. The simulation box has a size of 50 µm (\(x\)) \(\times\) 70 µm (\(y\)) \(\times\) 70 µm (\(z\)) with grid cells of 1500 \(\times\) 350 \(\times\) 350, which corresponds to 30 grid cells per drive laser wavelength in the \(x\) direction, sufficient to resolve the physical process of photon deceleration. The number of macroparticles per cell is 2, and the initial particle is stationary. The absorbing boundary condition is used for the electric field and the particle. For the verification of simulation results, we performed additional simulations, and the results show that the high-speed particle collision is not particularly significant in our simulations because the particle collision time is typically much greater than the laser pulse length (see Supplementary Fig. S8). Moreover, the transverse spatial resolution and the macroparticles per cell can not severely affect the FVFR and the mid-IR generation (see Supplementary Figs. S9 and S10).
Stokes parameters
To describe the polarization state of electromagnetic wave, the Stokes parameters \(I\), \(Q\), \(U\), and \(V\) are introduced11,60,67. Here, \(I={\left|{E}_{y}\right|}^{2}+{\left|{E}_{z}\right|}^{2}\) denotes the intensity distribution of laser pulse. \(Q={\left|{E}_{y}\right|}^{2}-{\left|{E}_{z}\right|}^{2}\) denotes the linear polarization component along the \(y\) (\(Q > 0\)) or \(z\) (\(Q < 0\)) direction. \(U=2{\rm Re}\{{E}_{y}^{* }{E}_{z}\}\) denotes the linear polarization at +45° (\(U > 0\)) or -45° (\(U < 0\)) from the \(y\) direction. \(V=2{\rm Im}\{{E}_{y}^{* }{E}_{z}\}\) denotes the right-handed (\(V > 0\)) or left-handed (\(V < 0\)) circular polarization. Here, \({E}_{y}\) and \({E}_{z}\) are the complex amplitude of the electric field, which can be obtained in PIC simulations, and \({E}_{y}^{* }\) is the complex conjugate of \({E}_{y}\).
Data availability
The data that support the findings of this study are available from the corresponding author on reasonable request.
References
Faraday, M. On the magnetization of light and the illumination of magnetic lines of force. Philos. Trans. R. Soc. Lond. 136, 1–20 (1846).
Chin, J. Y. et al. Nonreciprocal plasmonics enables giant enhancement of thin-film Faraday rotation. Nat. Commun. 4, 1599 (2013).
Duggan, R., Sounas, D. & Alu, A. Optically driven effective Faraday effect in instantaneous nonlinear media. Optica 6, 1152–1157 (2019).
Li, H. N., Yin, S. X. & Alù, A. Nonreciprocity and Faraday rotation at time interfaces. Phys. Rev. Lett. 128, 173901 (2022).
Firby, C. J. et al. Magnetoplasmonic Faraday rotators: enabling gigahertz active polarization control for integrated plasmonics. ACS Photonics 3, 2344–2352 (2016).
Budker, D. & Romalis, M. Optical magnetometry. Nat. Phys. 3, 227–234 (2007).
Mao, S. A. et al. A survey of extragalactic Faraday rotation at high Galactic latitude: the vertical magnetic field of the Milky Way toward the Galactic poles. Astrophys. J. 714, 1170–1186 (2010).
Borghesi, M. et al. Megagauss magnetic field generation and plasma jet formation on solid targets irradiated by an ultraintense picosecond laser pulse. Phys. Rev. Lett. 81, 112–115 (1998).
Rochford, K. B. et al. Faraday effect current sensor with improved sensitivity-bandwidth product. Opt. Lett. 19, 1903–1905 (1994).
Mironov, E. A. et al. A perspective on Faraday isolators for advanced lasers. Appl. Phys. Lett. 122, 100502 (2023).
Weng, S. M. et al. Extreme case of Faraday effect: magnetic splitting of ultrashort laser pulses in plasmas. Optica 4, 1086–1091 (2017).
Chen, F. F. Introduction to Plasma Physics and Controlled Fusion, 3rd edn (Springer, 2016).
Huang, Y. C. & Dai, Z. G. The extreme Faraday effect in fast radio bursts. Astrophys. J. Lett. 983, L24 (2025).
Michel, P. et al. Dynamic control of the polarization of intense laser beams via optical wave mixing in plasmas. Phys. Rev. Lett. 113, 205001 (2014).
Turnbull, D. et al. High power dynamic polarization control using plasma photonics. Phys. Rev. Lett. 116, 205001 (2016).
Lehmann, G. & Spatschek, K. Plasma-based polarizer and waveplate at large laser intensity. Phys. Rev. E 97, 063201 (2018).
Sano, T. et al. Plasma concept for generating circularly polarized electromagnetic waves with relativistic amplitude. Phys. Rev. E 102, 053214 (2020).
Yu, C. X. & Liu, J. Faraday rotation and polarization-modulated intense femtosecond laser pulses in a field-ionizing gaseous medium. Phys. Rev. A 90, 043834 (2014).
Esarey, E., Schroeder, C. B. & Leemans, W. P. Physics of laser-driven plasma-based electron accelerators. Rev. Mod. Phys. 81, 1229–1285 (2009).
Tsung, F. S. et al. Generation of ultra-intense single-cycle laser pulses by using photon deceleration. Proc. Natl. Acad. Sci. USA 99, 29–32 (2002).
Mori, W. B. The physics of the nonlinear optics of plasmas at relativistic intensities for short-pulse lasers. IEEE J. Quantum Electron. 33, 1942–1953 (1997).
Decker, C. D. et al. The evolution of ultra-intense, short-pulse lasers in underdense plasmas. Phys. Plasmas 3, 2047–2056 (1996).
Vieira, J. et al. Onset of self-steepening of intense laser pulses in plasmas. N. J. Phys. 12, 045025 (2010).
Gordon, D. F. et al. Asymmetric self-phase modulation and compression of short laser pulses in plasma channels. Phys. Rev. Lett. 90, 215001 (2003).
Edwards, M. R. et al. Laser amplification in strongly magnetized plasma. Phys. Rev. Lett. 123, 025001 (2019).
Nie, Z. et al. Relativistic single-cycle tunable infrared pulses generated from a tailored plasma density structure. Nat. Photonics 12, 489–494 (2018).
Nie, Z. et al. Photon deceleration in plasma wakes generates single-cycle relativistic tunable infrared pulses. Nat. Commun. 11, 2787 (2020).
Zhu, X. L. et al. Efficient generation of relativistic near-single-cycle mid-infrared pulses in plasmas. Light Sci. Appl. 9, 46 (2020).
Zhu, X. L. et al. Generation of single-cycle relativistic infrared pulses at wavelengths above 20 µm from density-tailored plasmas. Matter Radiat. Extremes 7, 014403 (2022).
Li, D. et al. Laser chirp controlled relativistic few-cycle mid-infrared pulse generation. High. Power Laser Sci. Eng. 11, e57 (2023).
Nie, Z. et al. Ultra-short pulse generation from mid-IR to THz range using plasma wakes and relativistic ionization fronts. Phys. Plasmas 28, 023106 (2021).
Siminos, E., Thiele, I. & Olofsson, C. Laser wakefield driven generation of isolated carrier-envelope-phase tunable intense subcycle pulses. Phys. Rev. Lett. 126, 044801 (2021).
Sandberg, R. T. & Thomas, A. G. R. Photon acceleration from optical to XUV. Phys. Rev. Lett. 130, 085001 (2023).
Wolter, B. et al. Strong-field physics with mid-IR fields. Phys. Rev. X 5, 021034 (2015).
Fritzsche, S. & Böning, B. Lorentz-force shifts in strong-field ionization with mid-infrared laser fields. Phys. Rev. Res. 4, 033031 (2022).
Thiele, I., Siminos, E. & Fülöp, T. Electron beam driven generation of frequency-tunable isolated relativistic subcycle pulses. Phys. Rev. Lett. 122, 104803 (2019).
Popmintchev, T. et al. Bright coherent ultrahigh harmonics in the keV X-ray regime from mid-infrared femtosecond lasers. Science 336, 1287–1291 (2012).
Zgadzaj, R. et al. Plasma electron acceleration driven by a long-wave-infrared laser. Nat. Commun. 15, 4037 (2024).
Chang, Z. H. et al. Intense infrared lasers for strong-field science. Adv. Opt. Photonics 14, 652–782 (2022).
Wang, W. M. et al. Tunable circularly polarized terahertz radiation from magnetized gas plasma. Phys. Rev. Lett. 114, 253901 (2015).
Tailliez, C. et al. Terahertz pulse generation from relativistic laser wakes in axially magnetized plasmas. Phys. Rev. Res. 5, 023143 (2023).
Draine, B. T. On far-infrared and submillimeter circular polarization. Astrophys. J. 926, 90 (2022).
Lopez-Rodriguez, E. et al. The origin of the mid-infrared nuclear polarization of active galactic nuclei. Monthly Not. R. Astronomical Soc. 478, 2350–2358 (2018).
Vedantham, H. K. & Ravi, V. Faraday conversion and magneto-ionic variations in fast radio bursts. Monthly Not. R. Astronomical Soc. Lett. 485, L78–L82 (2019).
Nimmo, K. et al. Highly polarized microstructure from the repeating FRB 20180916B. Nat. Astron. 5, 594–603 (2021).
Ferrière, K., West, J. L. & Jaffe, T. R. The correct sense of Faraday rotation. Monthly Not. R. Astronomical Soc. 507, 4968–4982 (2021).
Sprangle, P., Esarey, E. & Ting, A. Nonlinear theory of intense laser-plasma interactions. Phys. Rev. Lett. 64, 2011–2014 (1990).
Sprangle, P., Esarey, E. & Ting, A. Nonlinear interaction of intense laser pulses in plasmas. Phys. Rev. A 41, 4463–4469 (1990).
Fonseca, R. A. et al. OSIRIS: a three-dimensional, fully relativistic particle in cell code for modeling plasma based accelerators. In Proceedings of the International Conference Amsterdam Computational Science, 342–351 (Springer, 2002).
Wagner, U. et al. Laboratory measurements of 0.7 GG magnetic fields generated during high-intensity laser interactions with dense plasmas. Phys. Rev. E 70, 026401 (2004).
Fujioka, S. et al. Kilotesla magnetic field due to a capacitor-coil target driven by high power laser. Sci. Rep. 3, 1170 (2013).
Shi, Y. et al. Efficient generation of axial magnetic field by multiple laser beams with twisted pointing directions. Phys. Rev. Lett. 130, 155101 (2023).
Santos, J. J. et al. Laser-driven strong magnetostatic fields with applications to charged beam transport and magnetized high energy-density physics. Phys. Plasmas 25, 056705 (2018).
Sakata, S. et al. Magnetized fast isochoric laser heating for efficient creation of ultra-high-energy-density states. Nat. Commun. 9, 3937 (2018).
Pisarczyk, T. et al. Strongly magnetized plasma produced by interaction of nanosecond kJ-class laser with snail targets. Plasma Phys. Controlled Fusion 65, 055015 (2023).
Zhang, Z. et al. Generation of strong magnetic fields with a laser-driven coil. High. Power Laser Sci. Eng. 6, e38 (2018).
Morita, H. & Fujioka, S. Generation, measurement, and modeling of strong magnetic fields generated by laser-driven micro coils. Rev. Mod. Plasma Phys. 7, 13 (2023).
Pukhov, A. & Meyer-ter-Vehn, J. Laser wake field acceleration: the highly non-linear broken-wave regime. Appl. Phys. B 74, 355–361 (2002).
Lu, W. et al. Nonlinear theory for relativistic plasma wakefields in the blowout regime. Phys. Rev. Lett. 96, 165002 (2006).
Wang, Y. X. et al. Depolarization of intense laser beams by dynamic plasma density gratings. High. Power Laser Sci. Eng. 11, e37 (2023).
Kübel, M. et al. Streak camera for strong-field ionization. Phys. Rev. Lett. 119, 183201 (2017).
Blaga, C. I. et al. Strong-field photoionization revisited. Nat. Phys. 5, 335–338 (2009).
Maurer, J. et al. Probing the ionization wave packet and recollision dynamics with an elliptically polarized strong laser field in the nondipole regime. Phys. Rev. A 97, 013404 (2018).
Zhao, J. et al. Terahertz-driven positron acceleration assisted by ultra-intense lasers. Opt. Express 31, 23171–23182 (2023).
Dai, Y. N. et al. Photon polarization effects in polarized electron-positron pair production in a strong laser field. Matter Radiat. Extremes 7, 014401 (2022).
Palmer, C. A. J. et al. Monoenergetic proton beams accelerated by a radiation pressure driven shock. Phys. Rev. Lett. 106, 014801 (2011).
Tinbergen, J. Astronomical Polarimetry (Cambridge University, 2005).
Acknowledgements
We thank Dr. Andrea Macchi from University of Pisa for assistance in clarifying laser propagation and Faraday rotation in magnetized plasmas. This work was supported by National Natural Science Foundation of China (Grant Nos. 12375244, 12475252, 12135009, 12205186, U2267204, and 12475249), and the Natural Science Foundation of Hunan Province of China (Grant No. 2025JJ30002).
Author information
Authors and Affiliations
Contributions
D.-A.L., G.-B.Z., and T.-P.Y. conceived the scheme and performed the simulations. D.-A.L., G.-B.Z., F.P., Q.Z., D.-B.Z. and T.-P.Y. developed the analytical mode. D.-A.L., G.-B.Z., W.-J.L., and T.-P.Y. performed the data analysis. D.-A.L., G.-B.Z., and T.-P.Y. wrote the manuscript with input from F.P., X.-L.Z., J.-X.L., A.P., and Z.-M.S. T.-P.Y., J.-X.L., F.P., A.P, and Z.-M.S. clarified the details of the physics and contributed to the data analysis. T.-P.Y. supervised the whole work. All authors discussed the results and reviewed the manuscript.
Corresponding author
Ethics declarations
Conflict of interest
The authors declare no competing interests.
Supplementary information
41377_2025_2047_MOESM1_ESM.pdf (download PDF )
Supplementary Information for Magnetized plasma rotator for relativistic mid-infrared pulses via frequency-variable Faraday rotation
Rights and permissions
Open Access This article is licensed under a Creative Commons Attribution 4.0 International License, which permits use, sharing, adaptation, distribution and reproduction in any medium or format, as long as you give appropriate credit to the original author(s) and the source, provide a link to the Creative Commons licence, and indicate if changes were made. The images or other third party material in this article are included in the article’s Creative Commons licence, unless indicated otherwise in a credit line to the material. If material is not included in the article’s Creative Commons licence and your intended use is not permitted by statutory regulation or exceeds the permitted use, you will need to obtain permission directly from the copyright holder. To view a copy of this licence, visit http://creativecommons.org/licenses/by/4.0/.
About this article
Cite this article
Li, DA., Zhang, GB., Pegoraro, F. et al. Magnetized plasma rotator for relativistic mid-infrared pulses via frequency-variable Faraday rotation. Light Sci Appl 15, 25 (2026). https://doi.org/10.1038/s41377-025-02047-x
Received:
Revised:
Accepted:
Published:
Version of record:
DOI: https://doi.org/10.1038/s41377-025-02047-x








