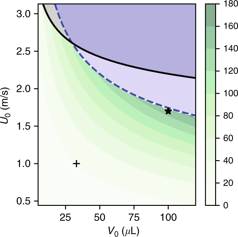
Fig. 2: The available energy and the limiting velocities for splashing and film rupturing.
From: Hydrodynamic constraints on the energy efficiency of droplet electricity generators

Maximum energy \({{\mathcal{E}}}_{\max }\) (in μJ) available from droplets impacting perpendicular surfaces as given by Eq. (5). The splashing (solid line) and film-rupturing (dashed line) limits are given by Eqs. (7) and (12). The markers + and ⋆ represent the experiments of Wu et al.2 (energy available 19 μJ) and Xu et al.1 (energy available 151 μJ), respectively