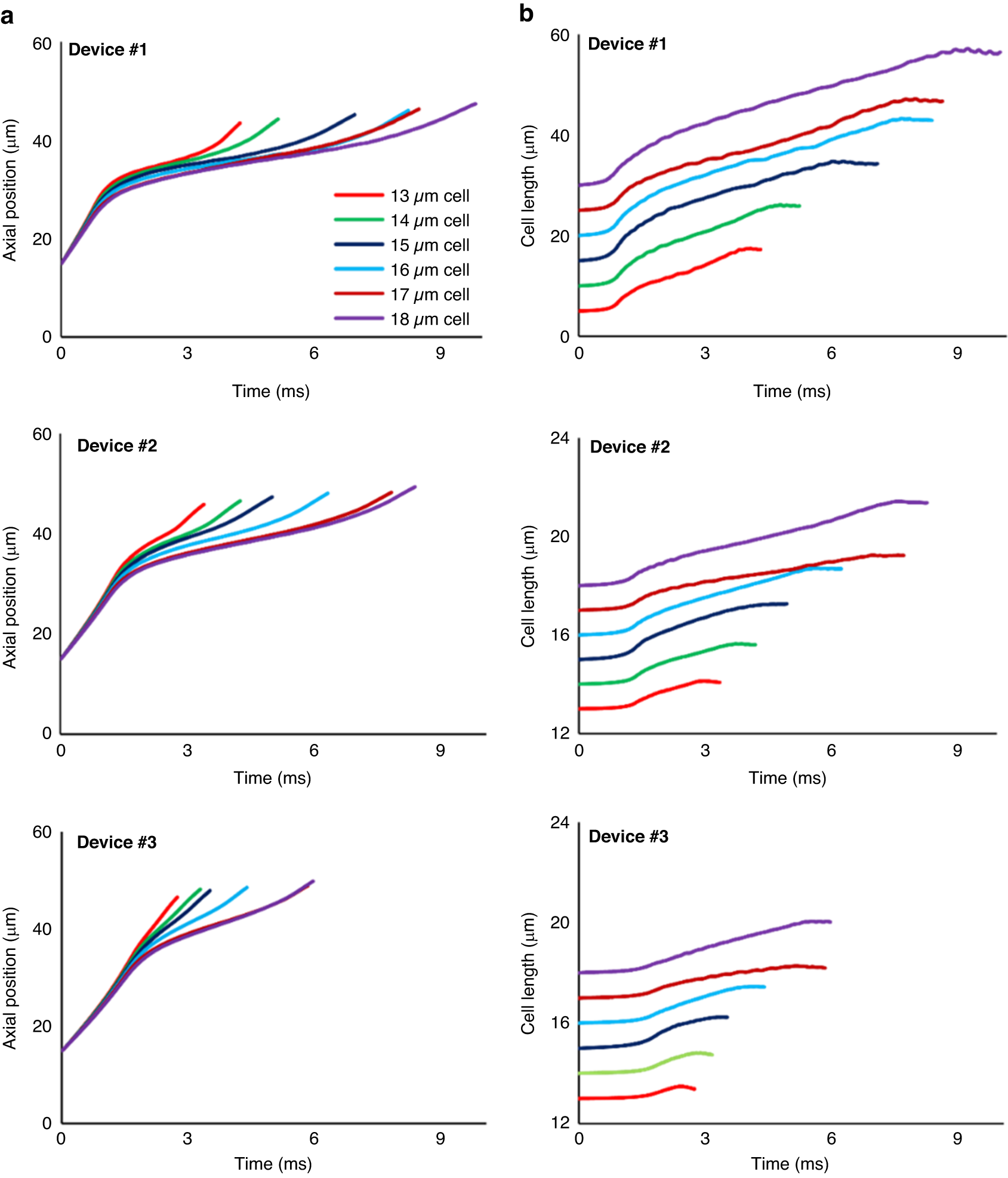
Fig. 7: The motion and deformation behavior of MDA-MB-231 cells using the validated numerical models.

Detailed investigation of motion and deformation behavior of MDA-MB-231 cells was performed by using the developed numerical models of passing the single cells through the constricted channel in the three constricted devices. The numerical model could calculate the shape changes of the cell in terms of a the cell position and b the cell length at each time step of the gradual squeezing of the cell into the constricted channels