Fig. 5
From: Metasurface-integrated elliptically polarized laser-pumped SERF magnetometers

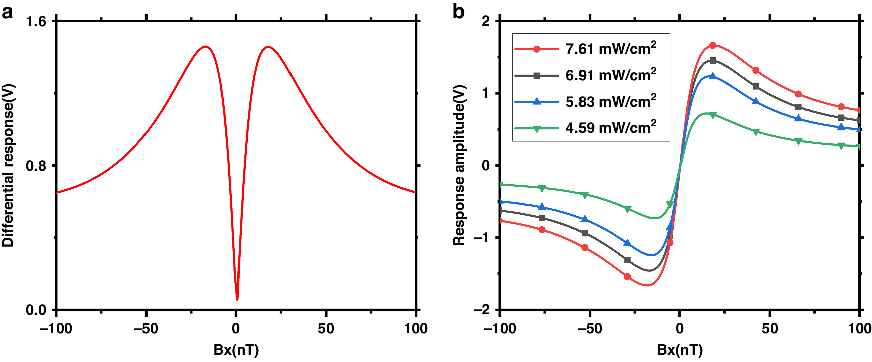
a Zero-field resonance as a function of the transverse magnetic field Bx when the By and effective Bz magnetic fields were zeroed. b Lock-in amplifier dispersion signal under different incident luminous fluxes