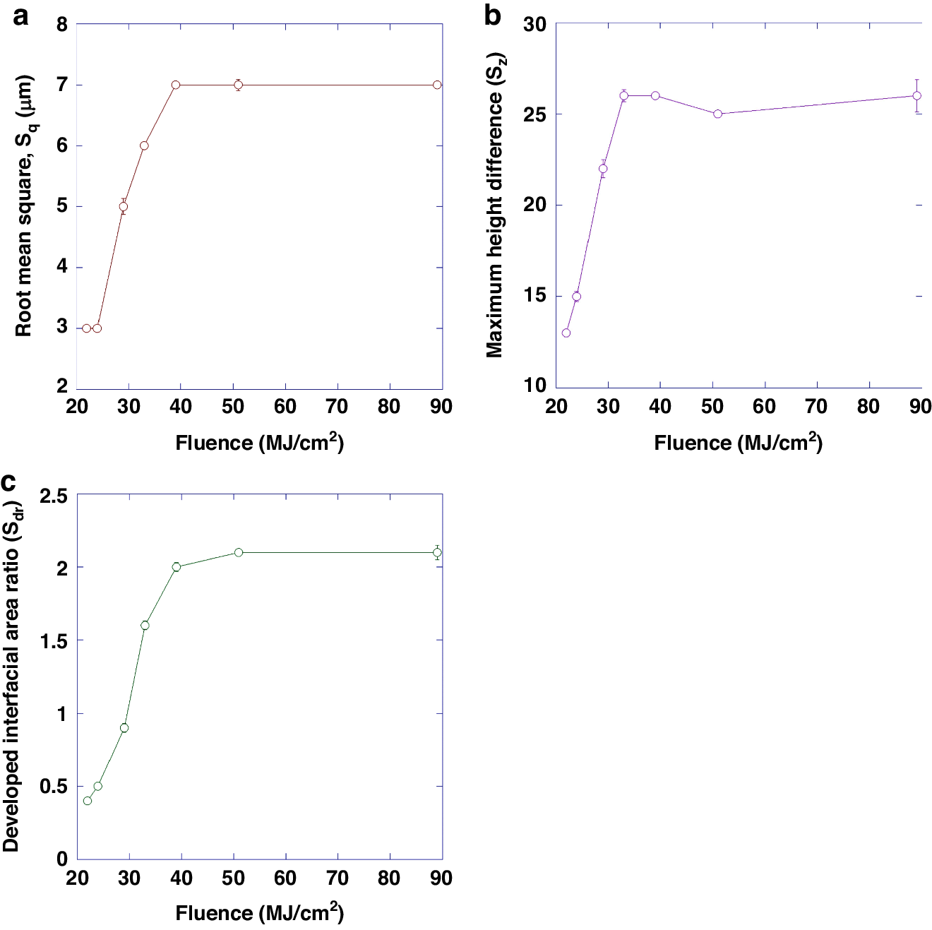
Fig. 5: Surface analysis results.

Plots of a root mean square (Sq), b maximum height difference (Sz), and c developed interfacial area ratio (Sdr) as a function of fluence

Plots of a root mean square (Sq), b maximum height difference (Sz), and c developed interfacial area ratio (Sdr) as a function of fluence