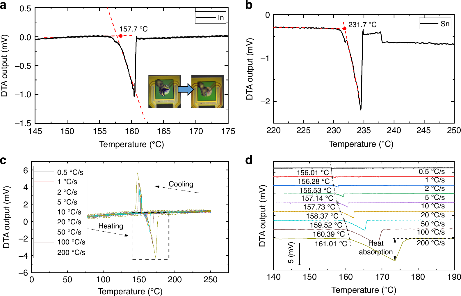
Fig. 7

Differential thermal analysis results of metal standards DTA curves of the In (a) and Sn (b) standards melting under a heating rate of 10 °C/s. The measured melting points of In and Sn are consistent with the reported values. The in situ optical images in insets in a depict the process of indium melting. c DTA curves of indium melting and resolidification at heating/cooling rates from 0.5 °C/s to 200 °C/s. d The melting points of indium are measured using DTA curves at various heating rates