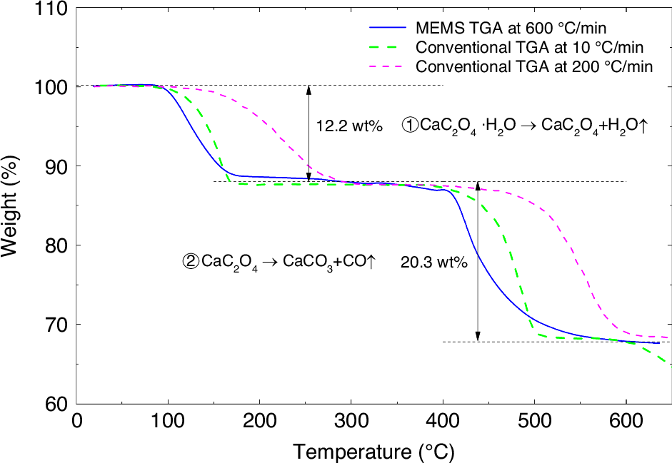
Fig. 8

Comparison of thermogravimetric analysis results of CaC2O4·H2O using the cantilever in this work and the conventional instrument The TGA curves show that the decomposition process of CaC2O4·H2O sample can be divided into two stages. At high heating rates, the thermal hysteresis of our cantilever is negligible compared with the commercial instrument