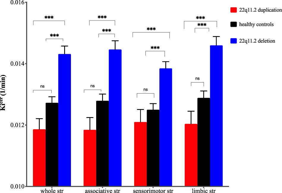
Fig. 2: Mean dopamine synthesis capacity (Kicer, 1/min) by group in whole striatum (str) and functional subdivisions. | Molecular Psychiatry