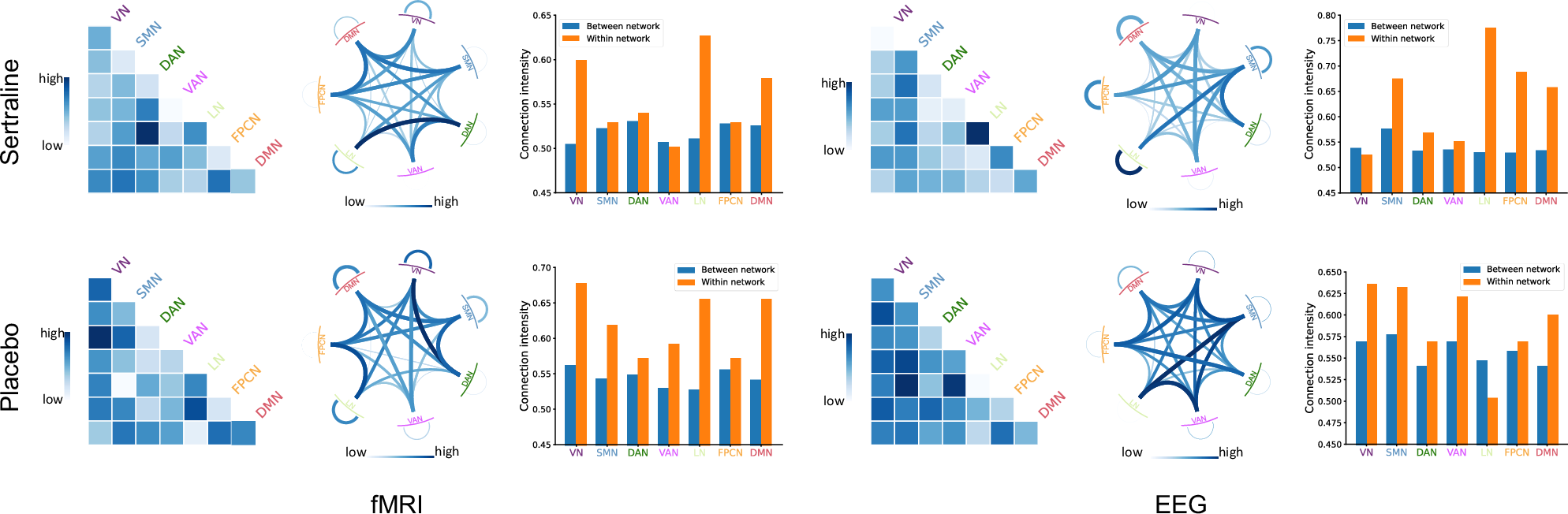
Fig. 7: Network-level connectivity patterns.

For each condition, the connection intensities of each network pair are illustrated through the heatmaps on the left and the chord charts in the middle, while the bar charts on the right represent the average between-network and within-network connection intensities of each network.